Download

RESEARCH ARTICLE

Effects of storage methods on the quality of Isatis indigotica radix based on active constituents and NIR spectra

Jia Hou1, Hongru Guo2, Tao Du1*, Mingwei Wang1

1School of Chinese Pharmacy, Key Laboratory of Traditional Chinese Medicine Quality and Standard of Gansu Province, Gansu University of Traditional Chinese Medicine, Lanzhou, People’s Republic of China;

2Lanzhou Industrial Research Institute, Lanzhou, People’s Republic of China

These authors contributed equally to this work.

Abstract

Isatis indigotica radix is a common traditional Chinese medicine and veterinary medicine widely cultivated in China, and inappropriate storage conditions may damage its quality. The objective of this work was to investigate the changes in epigoitrin and nucleosides compounds and Near Infrared Spectra (NIR) of Isatis indigotica radix packaging under vacuum (VP), nitrogen (NP), and sealing (SP), stored at different temperatures—room temperature (SPt), refrigerator (SPr), and frozen (SPf) during 12 months of storage. After 12 months of storage, the epigoitrin concentration of I. indigotica radix samples in VP, NP, and SPt was much higher than in SPr and SPf, while samples in SPf had more contents of nucleosides than the other. Moreover, a significant difference in principal component analysis revealed a superior storage method based on active compounds and NIR spectra. It suggested that NP was considered a better storage method for retaining the chemical and physical properties and quality of I. indigotica radix after 12 months of storage.

Key words: epigoitrin and nucleosides compounds, Isatidis radix, near infrared spectra, principal component analysis, various storage conditions

*Corresponding Author: Tao Du, School of Chinese Pharmacy, Key Laboratory of Traditional Chinese Medicine Quality and Standard of Gansu Province, Gansu University of Traditional Chinese Medicine, Lanzhou 730000, People’s Republic of China. Email: [email protected]

Received: 25 August 2023; Accepted: 16 June 2024; Published: 20 July 2024

DOI: 10.15586/qas.v16i3.1185

16 (3); 10.15586/qas.v16i3.1185, Pages 1-9

Received: 25-08-2023 | Accepted: 16-06-2024 | Published: 20-07-2024

© 2024 Codon Publications
This is an Open Access article distributed under the terms of the Creative Commons Attribution-NonCommercial-ShareAlike 4.0 International (CC BY-NC-SA 4.0). License (http://creativecommons.org/licenses/by-nc-sa/4.0/)

Introduction

The root of Isatis indigotica (Isatidis Radix), named “Ban-Lan-Gen” in China, has a long medical history in China as traditional Chinese medicine and veterinary medicine (Tong et al., 2020). It was one of the drugs recommended by the Chinese government for the prevention and control of severe acute respiratory syndrome (SARS) (Lin et al., 2005). It inhibited the coronavirus disease 2019 (COVID-19) (Yu et al., 2021). Given the high market demand, I. indigotica has grown increasingly in agricultural fields in the last two decades, and its output reached 50,000 tons in 2020 (Chen et al., 2015; Fa et al. et al. 2021; Xu et al., 2023). Due to the imbalance of production and marketing and the difference in demand, I. indigotica radix must be stored for a relatively long time—two or three years, after harvest and before market. However, dried I. indigotica radix is usually transported, stored under ambient temperature, packed in woven bags or cartons, or not packaged. I. indigotica radix undergoes numerous physical, chemical, and microbiological changes due to UV light, moisture vapor, oxygen, and temperature changes (King, 2006), which will damage the quality of I. indigotica radix products.

Proper storage methods avoid possible damages and maximally retain the product quality, hence maintaining the product market value (Nasiri et al., 2017; Wang et al., 2018). In recent years a wide variety of packages and storage methods have been employed to reduce the level of quality deterioration of food and herbal medicine materials, which eventually retains product quality and economic value (Chaliha et al., 2013; Choe et al., 2001; Liu et al., 2014; Sharma et al., 2001; Usai et al., 2011; Di Wang et al., 2021; Wang et al., 2018). However, to our knowledge, studies on storage methods that influence I. indigotica radix quality during storage remain unexplored. The present study attempts to study changes in the main active constituents—epigoitrin, adenosine, guanosine, and uridine (Chen et al., 2021) and Near Infrared Spectra (NIR) of I. indigotica radix by packaging under sealing, vacuum, and nitrogen and using a packaging material (polyethylene/vacuum metalized (aluminum) polyethylene terephthalate [PE/VMPET]), which is known to be effective in blocking air and moisture, to obtain a better storage method for I. indigotica radix, ultimately retaining the quality and economic value of the product.

Materials and Methods

Samples

Cultivar I. indigotica was planted at the medicinal plant garden of the School of Pharmacy, Gansu University of Traditional Chinese Medicine, Hezheng, (Gansu Province, China, 35°16’ N, 103°24’ E) for 1 year. The roots of 100 I. indigotica plants were carefully sampled, washed with tap water, and dried in the shade for 2 months. The dried roots were stored at room temperature away from direct sunlight until treated with packing. These samples are referred to as month = 0 samples throughout the paper.

Conditions for storage trial

The collected roots of I. indigotica were separately wrapped in different PE/VMPET envelopes (23 cm × 30 cm × 0.06 mm). The envelopes containing samples were treated with vacuum packaging (VP), nitrogen packaging (NP), and sealing packaging (SP). The envelopes in sealing packaging were separately stored at room temperature (SPt), refrigerator (SPr), and frozen (SPf) conditions before being instrumentally analyzed. The procedure was performed in triplicate. The properties of these storage methods are described in Table S1. Sampling for analysis occurred at time zero (before packaging, hereafter referred to as month = 0) and once every 2 months for 12 months, labeled months 2, 4, 6, 8, 10, and 12.

Chemicals

Epigoitrin (EP), adenosine (Ad), guanosine (Gu), and uridine (Ur) were used as standards (Shanghai Yuanye Bio-Technology Co., Shanghai, China) in our study, and the purities were above 98% according to HPLC/UV. The methanol (Shandong Yuwang Industrial Co., Shandong, China) used in our study was of HPLC grade. All other reagents and chemicals were analytical (Shandong Yuwang Industrial Co., Shandong, China).

Extraction of epigoitrin and nucleosides compounds

Epigoitrin and nucleosides compounds in radix isatidis were determined by HPLC, using an Agilent 1200 HPLC system (Agilent, California, USA) with a diode array detector (DAD) and the analytical column, Phenomenex Luna C18 reversed-phase column (250 mm × 4.6 mm i.d. 5μm particle diameter). The samples of isatidis radix (1.0 g) were added to 50 mL purified water, extracted by ultrasonic for 60 min, and then filtered (Commission 2020). Each sample was repeated four times. Samples of isatidis radix at 20 mg/mL concentration were separated with a 0.02% phosphoric acid solution mixed with methanol (7:93, v:v) (Commission 2020). The flow rate was 0.9 mL/min, and the column temperature was maintained at 30°C. The detection wavelengths were 245 nm (epigoitrin) and 254 nm (nucleosides). The total run time was 30 min. These compounds were identified by comparing retention times and UV spectra with those of the standards of compounds—epigoitrin, adenosine, guanosine, and uridine. The standard curves were performed using the linear regression method. The equations formulated relating peak areas (y in arbitrary units) and concentrations (x in mg) were y = 2×107x+175.05 for epigoitrin; y = 2 × 106x − 5.4178 for adenosine, y = 272704 x+1.7638 for guanosine, and y = 2×106x+55.551 for uridine. The correlation coefficient (r) was 0.99 or above in all cases.

Spectral acquisition

NIR spectra of the isatidis radix samples were scanned three times in the 12,000–4000 cm−1 range by Bruker Tango-R (Bruker, Karlsruhe, Germany), and the obtained mean spectrum was applied for further analysis.

Statistical analysis

One-way analysis of variance (ANOVA) was used to analyze the effects of storage methods on the samples. A Tukey’s Honestly Significant Difference (Tukey HSD) test was conducted when the samples exhibited a significant difference between samples, with the significance level set at p < 0.05. One-way ANOVA and Tukey HSD were performed with SPSS Statistics 18 (IBM, Armonk, NY, USA). The NIR data pre-processing and principal component analysis (PCA) were performed using Unscrambler X version 10.3 (Camo Software, Oslo, Norway).

Results and Discussion

Analysis of epigoitrin and nucleosides in Isatis indigotica Radix

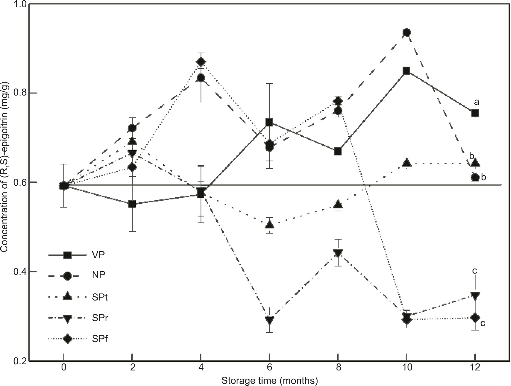
According to Figure 1, the epigoitrin concentration in I. indigotica radix is subject to change during storage. There was a statistically significant interaction between the effects of storage time and storage methods on epigoitrin concentration in I. indigotica radix, F (24, 105) = 68.450, p < 0.0005. According to Table S2, after 12 months of storage, the epigoitrin concentration of I. indigotica radix in SPt was 0.64 ± 0.00 mg/g dry weight, which was not significantly different (p > 0.05) from the epigoitrin concentration of 0.59 ± 0.05 at the beginning of the storage trial (month = 0). The epigoitrin concentration of I. indigotica radix in NP (0.61 ± 0.01) was similar to that of I. indigotica radix in SPt, and the epigoitrin concentration of I. indigotica radix in VP (0.76 ± 0.01) was significantly greater (p < 0.05), which could be mainly caused by water loss during storage. However, the epigoitrin concentration of I. indigotica radix in SPr and SPf (0.35 ± 0.05, 0.30 ± 0.03) was significantly fewer (p < 0.05). This result showed that refrigerating or freezing significantly influenced the medicinal quality of I. indigotica radix, probably due to freezing usually resulting in mechanical damage to the cell wall and increased solute concentration (Sun and Li 2003). Increasing solute concentration means increased solubility of polysaccharide and starch grains of I. indigotica radix in water. Adding more polysaccharides and starch grains would increase the system’s viscosity and decrease mass transfer in the system and the solubility of epigoitrin in water decreased. The sample water extract solution at the SPr and SPf storage trial (month = 12) became more cloudy while epigoitrin concentration decreased, which demonstrated this.

Figure 1. Changes in the concentration of epigoitrin during 12 months of storage for Isatis indigotica radix in storage methods VP, NP, SPt, SPr, and SPf. Results are expressed as mean ± standard deviation (n = 4). Different letters (i.e., a, b, c) denote significant differences between means according to a Tukey HSD.

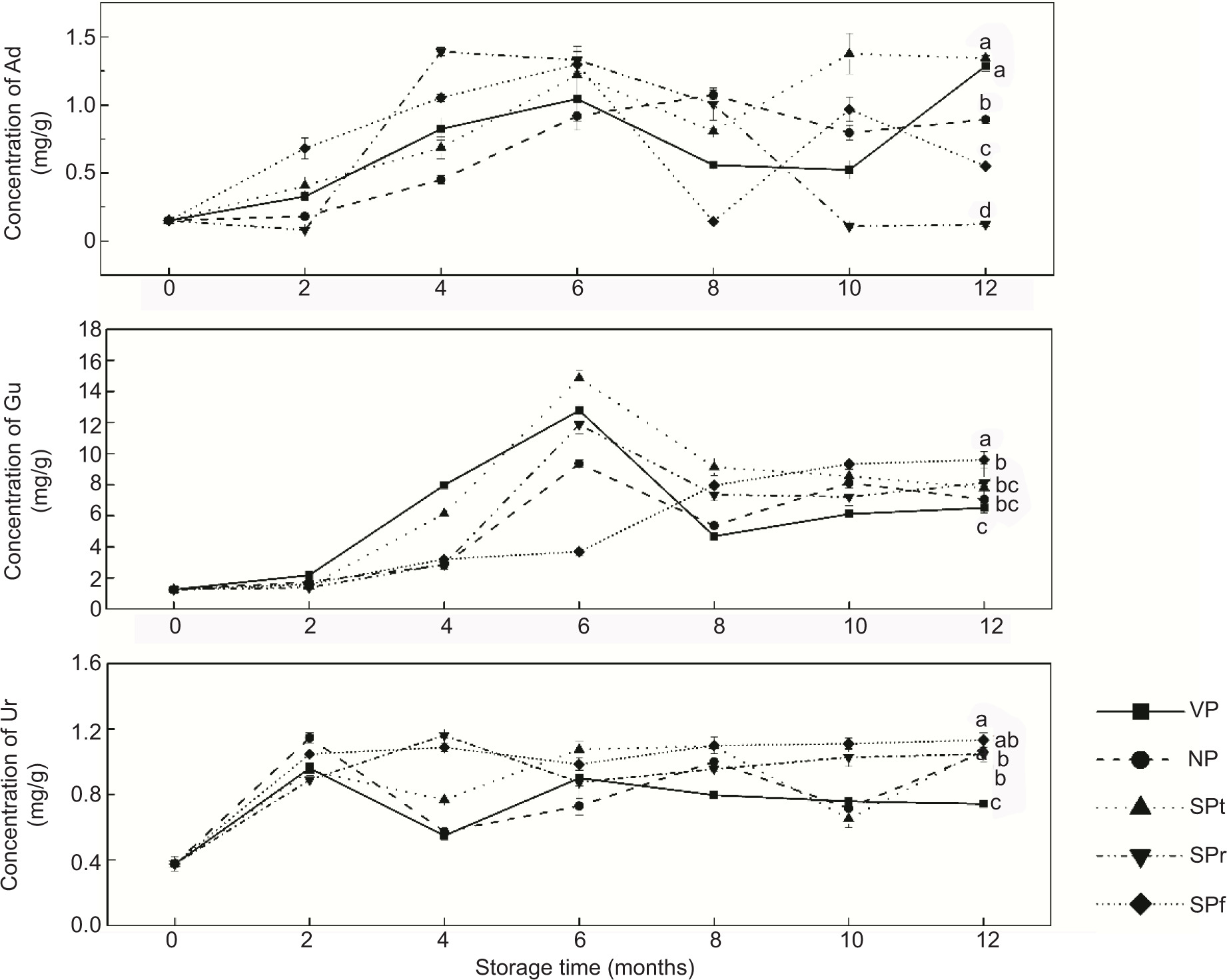
The amounts of nucleosides—adenosine, guanosine, and uridine in I. indigotica radix in storage methods VP, NP, SPt, SPr, and SPf are shown in Table S2. After 12 months of storage, the adenosine concentration of I. indigotica radix in SPt and VP were 1.34 ± 0.02 mg/g dry weight and 1.29 ± 0.04 mg/g dry weight, respectively, which were significantly higher than in the other three storage methods NP, SPr, and SPf (p < 0.05). The guanosine and uridine concentration in SPf was significantly higher than in the other four storage methods: VP, NP, SPt, and SPr (p < 0.05). According to Figure 2, an increase in the amounts of nucleosides—adenosine, guanosine, and uridine was observed after 12 months of storage. The levels of nucleosides of I. indigotica radix changed with the increase in storage time.

Figure 2. Changes in the concentration of adenosine (Ad), guanosine (Gu), and uridine (Ur) during 12 months of storage for Isatis indigotica radix in VP, NP, SPt, SPr, and SPf. Results are expressed as mean ± standard deviation (n = 4). Different letters (i.e., a, b, c) denote significant differences between means according to a Tukey HSD.

The contents of 3 nucleosides, i.e., adenosine, guanosine, and uridine peaked at storage (month = 6), then decreased gradually and came to stability after 12 months of storage in VP, NP, SPt, and SPr (Figure 3). However, the contents of 3 nucleosides of I. indigotica radix in SPf increased correspondingly as that of month 0 (1.77±0.13) to month 12 (11.28±0.50) (Figure 3). It may be that enzyme from frozen I. indigotica radix degraded authentic ATP and formed nucleosides (Pei et al., 2014). Our results indicated the increase of nucleosides appearing in I. indigotica radix, which had been frozen and stored at −20°C for 12 months.

Figure 3. The total contents of 3 nucleosides—adenosine (Ad), guanosine (Gu), and uridine (Ur) during storage (month = 0, 6, 12) for Isatis indigotica radix in VP, NP, SPt, SPr, and SPf. Results are expressed as the means ± standard deviation (n = 4).

Spectral analysis

The average NIR spectra of I. indigotica radix from five different storage methods with maxima at 8323, 6762, 6340, 5675, 5160, 4762, 4374, and 4308 cm−1 are shown in Figure 4A. The broad band at 4764 cm−1 is commonly called the “carbohydrate band” (Li et al., 2012). The chosen absorptions, near 7000 cm−1 and 6000 cm−1, were due to the structure of the epigoitrin containing a secondary amine group that can form hydrogen bonds (Ma et al., 2020). The NIR spectra of I. indigotica radix show a similar spectrum of starch whose major peaks occur at 8306, 6831, 5176, 4762, 4367, and 4303 cm−1 (McClure & Stanfield, 2006) because plant tissue may contain as much as 60% starch by weight (dry basis) (Li et al., 2012).

Figure 4. Raw spectra of Isatis indigotica radix samples from five different storage methods after 12 months of storage (A); MSC spectra of I. indigotica radix samples from five different storage methods after 12 months of storage (B).

It is difficult to find specific bands in the raw NIR spectra of I. indigotica radix based on storage methods. On the other hand, baselines of sample spectra vary widely due to particle size effect, moisture effect, noise, and so on. The NIR spectral data were pretreated with the use of the multiplicative scatter correction (MSC) method (Ni et al., 2012) to minimize additive and multiplicative spectral effects (Ni et al., 2012). MSC spectra of I. indigotica radix from five different storage methods after 12 months of storage are shown in Figure 4B. As a result, the unique spectral features associated with different samples became apparent, which were around 7700–4300 cm−1 were chosen for modeling.

Principal component analysis

Principal component analysis (PCA) is an unsupervised pattern recognition and data display method (Ni et al., 2012). Each sample object and variable is represented by a score and loading values on each PC. A PCA was applied because it is convenient to reduce the data dimension and visualize the similarities among samples of I. indigotica radix. This analysis provides the locations of the samples in the principal component and the relationships between the analyzed variables (Rodríguez-Flores et al., 2019). The MSC spectra and the contents of epigoitrin and 3 nucleosides were evaluated by PCA for optimum separation of samples stored with different storage methods in this study. The first three components, which describe 66%, 29%, and 5%, clarify differentiation. The distribution of I. indigotica radix samples and the projection of each variable in the two first components are shown in Figure 5. In the PCA model, it could be seen that samples from NP and SPt are placed in the upper right corner of the scores plot, respectively, and samples from VP in the bottom right corner. In contrast, samples from SPf and SPr are effectively clustered on the left (Figure 5). These observations suggested that the I. indigotica radix samples stored in NP, VP, and SPf differed. This analysis highlighted the active constituents and spectra characteristics that better differentiated the studied I. indigotica radix samples from five different storage methods, especially for packing under frozen (SPf and SPr) and non-frozen (SPt, NP, VP) samples, which further indicated that changes in chemical and physical properties after 12 months of refrigerated or frozen storage of I. indigotica radix.

Figure 5. Score plot of the first two components obtained from the PCA. (scatter plot of samples of I. indigotica radix in storage methods VP, NP, SPt, SPr, and SPf after 12 months of storage).

The information about the variables analyzed was displayed in correlation loadings (Table 1), which provide a scale-independent assessment of the variables and may provide a clearer indication of variable correlations. For the correlation loadings, the variables were epigoitrin, and 7096–6627 cm−1 spectra characteristics along PC1, and the variables, adenosine, guanosine, and 6419–6252 cm−1 spectra characteristics along PC2 (Table 1). Composite the scores plot and the correlation loadings, these results indicated that samples stored in VP lying to the lower right of the score plot have higher values along PC1, while samples stored in SPf lying to the upper left of the score plot have higher values along PC2, and I. indigotica radix samples stored in NP lying to the upper right of the score plot have higher values for those variables (PC1 and PC2). The above results approximate the previous analysis of epigoitrin and nucleosides in I. indigotica radix samples stored using different storage methods.

Table 1. Components extracted and variable correlation used in the PCA.

Number of components Component correlation loadings
PC-1 PC-2
epigoitrin 0.96 −0.14
adenosine 0.37 0.64
guanosine −0.29 0.78
uridine −0.94 −0.01
7096–6933 cm−1 0.91 to 0.98 −0.36 to 0.02
6929–6627 cm−1 0.97 to 0.91 0.03 to 0.39
6419–6272 cm−1 0.34 to −0.18 0.91 to 0.98
6268–6252 cm−1 −0.23 to −0.40 0.96 to 0.91

Conclusion

The contents of epigoitrin and 3 nucleosides, i.e., adenosine, guanosine, and uridine, can be a preliminary differentiation among I. indigotica radix samples stored in VP, NP, and SPf by ANOVA analysis. However, the combination of the contents of epigoitrin and nucleosides, and NIR spectra characteristics variables with PCA, characterized I. indigotica radix samples from different storage methods having different properties with greater precision. In summary, a significant difference in PCA revealed superior storage conditions based on active compounds and NIR spectra. It revealed that NP was considered a better storage method for retaining the chemical and physical properties and quality of I. indigotica radix after 12 months of storage.

Acknowledgments

This work was supported by the earmarked fund for the Modern Agro-industry Technology Research System (No. CARS-21) and Sub-project of Public Welfare Scientific Research of National Administration of Traditional Chinese Medicine (No. 201507002) and the Young Doctoral Fund of Gansu Provincial Education Department (No. 2021QB-082) and the Science and Technology Planning Project of Lanzhou (No. 2022-ZD-135)

Conflict of interest

The authors declare no conflict of interest.

REFERENCES

Chaliha M., Cusack A., Currie M., Sultanbawa Y., & Smyth H. (2013). Effect of packaging materials and storage on major volatile compounds in three Australian native herbs. Journal of Agricultural and Food Chemistry, 61, 5738–5745. 10.1021/jf400845t

Chen G., Wang S. P., Huang X., Hong J., Du L., Zhang L. H., et al. (2015). Environmental factors affecting growth and development of Banlangen (Radix Isatidis) in China. African Journal of Plant Science, 9, 421–426. 10.5897/AJPS2015.1266

Chen Q., Lan H. Y., Peng W., Rahman K., Liu Q. C., Luan X., et al. (2021). Isatis indigotica: a review of phytochemistry, pharmacological activities, and clinical applications. Journal of Pharmacy and Pharmacology, 73, 1137–1150. 10.1093/jpp/rgab014

Choe S. K., Yun K. W., & Chon S. U. (2001). A study on storage of major herbal medicine materials, Bupleurum falcaturm Radix. Plant Resources, 4, 102–106.

Commission C.P. (2020). “Pharmacopoeia of the People’s Republic of China” (11th ed.). The Medicine Science and Technology Press of China, Beijing, China.

King K. (2006). Packaging and storage of herbs and spices. In K.V. Peter (Ed.), “Handbook of herbs and spices”. (pp. 86–90). Elsevier, Amsterdam, Holland. 10.1533/9781845691717.1.86

Li B. X., Wei Y. H., Duan H. G., Xi L. L., & Wu X. N. (2012). Discrimination of the geographical origin of Codonopsis pilosula using near-infrared diffuse reflection spectroscopy coupled with random forests and k-nearest neighbor methods. Vibrational Spectroscopy, 62, 17–22. 10.1016/j.vibspec.2012.05.001

Lin C. W, Tsai F. J., Tsai C. H., Lai C. C., Wan L., Ho T. Y., et al. (2005). Anti-SARS coronavirus 3C-like protease effects of Isatis indigotica root and plant-derived phenolic compounds. Antiviral Research, 68, 36–42. 10.1016/j.antiviral.2005.07.002

Liu Y., Huang F., Yang H., Ibrahim S. A., Wang Y. F., & Huang W. (2014). Effects of preservation methods on amino acids and 5'-nucleotides of Agaricus bisporus mushrooms. Food Chemistry, 149, 221–225. 10.1016/j.foodchem.2013.10.142

Ma H., Pan H. Y., Pan D. Y., Ni H. F., Feng X. J., Liu X. S., et al. (2020). Rapid monitoring approaches for concentration process of lanqin oral solution by near-infrared spectroscopy and chemometric models. Spectrochimica Acta Part A: Molecular and Biomolecular Spectroscopy, 242, 118792. 10.1016/j.saa.2020.118792

Mc Clure W. F., & Stanfield D. L. (2006). Near-infrared spectroscopy of biomaterials. In J. M. Chalmers, P. R. Griffiths (Ed.), “Handbook of vibrational spectroscopy” (pp. 243–259). John Wiley & Sons, New York, USA.

Nasiri M., Barzegar M., Sahari M. A., & Niakousari M. (2017). Tragacanth gum containing Zataria multiflora Boiss. Essential oil as a natural preservative for storage of button mushrooms (Agaricus bisporus). Food Hydrocolloids, 72, 202–209. 10.1016/j.foodhyd.2017.05.045

Ni Y., Song R., & Kokot S. (2012). Discrimination of Radix Isatidis and Rhizoma et Radix Baphicacanthis Cusia samples by near infrared spectroscopy with the aid of chemometrics. Spectrochimica Acta Part A: Molecu;ar and Biomolecular Spectroscopy, 96, 252–258. 10.1016/j.saa.2012.05.031

Pei F., Shi Y., Gao X. Y., Wu F. N., Mariga A. M., Yang W. J., et al. (2014). Changes in non-volatile taste components of button mushroom (Agaricus bisporus) during different stages of freeze drying and freeze drying combined with microwave vacuum drying. Food Chemistry, 165, 547–554. 10.1016/j.foodchem.2014.05.130

Rodríguez-Flores M. S., Escuredo O., Míguez M., & Seijo M. C. (2019). Differentiation of oak honeydew and chestnut honeys from the same geographical origin using chemometric methods. Food Chemistry, 297, 124979. 10.1016/j.foodchem.2019.124979

Sharma H, Singhal R, Kulkarni P (2001). Effect of packaging under vacuum or under nitrogen on the keeping quality of Danedar khoa. International Journal of Dairy Technology, 54, 107–110. 10.1046/j.1364-727x.2001.00020.x

Sun D. W., Li B. (2003). Microstructural change of potato tissues frozen by ultrasound-assisted immersion freezing. Journal of Food Engineering, 57, 337–345. 10.1016/S0260-8774(02)00354-0

Tong C., Chen Z., Liu F., Qiao Y., Chen T., & Wang X. (2020). Antiviral activities of Radix isatidis polysaccharide against pseudorabies virus in swine testicle cells. BMC Complementary Medicine and Therapies, 20, 1–5. 10.1186/s12906-020-2838-4

Usai M., Marchetti M., Foddai M., Del Caro A., Desogus R., Sanna I., & Piga A. (2011). Influence of different stabilizing operations and storage time on the composition of essential oil of thyme (Thymus officinalis L.) and rosemary (Rosmarinus officinalis L.). LWT Food Science and Technology, 44, 244–249. 10.1016/j.lwt.2010.05.024

Wang D., Deng J. C., Li X. P., Yang X. Q., Chen S. J., Zhao Y. Q., et al. (2021) Changes in microbial composition and quality characteristics of yellowfin tuna under different storage temperature. Quality Assurance and Safety of Crops & Foods, 13, 54–61. 10.15586/qas.v13i4.988

Wang F. Q., Bi J. T., He L. W., Chen J., Zhang Q. Z., Hou X. B., et al. (2021). The indole alkaloids from the roots of Isatidis Radix. Fitoterapia, 153, 104950. 10.1016/j.fitote.2021.104950

Wang L. Q., Hu Q. H., Pei F., Mariga A. M., & Yang W. J. (2018). Influence of different storage conditions on physical and sensory properties of freeze-dried Agaricus bisporus slices. LWT Food Science and Technology, 97, 164–171. 10.1016/j.lwt.2018.06.052

Xu T., Gao X., Li Y., Lin C., Ma P., Bai Z., et al. (2023). Characterization of isolated starch from Isatis indigotica Fort. root and anhydro-sugars preparation using its decoction residues. Biomass Conversion and Biorefinery, 1–12. 10.1007/s13399-023-03892-9

Yu B., Lin F., Ning H., & Ling B. (2021). Network pharmacology study on the mechanism of the Chinese medicine Radix Isatidis (Banlangen) for COVID-19. Medicine, 100. 10.1097/MD.0000000000026881

Supplementary

Table S1. Storage methods and temperature-humidity.

Storage methods Temperature (°C) Relative humidity (%)
VP 15 to 25 15 to 40
NP 15 to 25 15 to 40
SPt 15 to 25 15 to 40
SPr 2 to 8 40 to 55
SPf −18 to −20 25 to 35

Table S2. Concentrations of bioactive components in Isatis indigotica Radix after storage in different storage methods (n = 4).

Bioactive components Preservation methods Concentrations of bioactive componentsa after storage for
0 month 2 months 4 months 6 months 8 months 10 months 12 months
Epigoitrin VPb 0.59±0.05 0.55±0.06 0.57±0.06 0.73±0.09 0.67±0.01 0.85±0.01 0.76±0.01a
NP 0.59±0.05 0.72±0.02 0.83±0.06 0.68±0.05 0.76±0.01 0.94±0.01 0.61±0.01b
SPt 0.59±0.05 0.69±0.03 0.58±0.02 0.50±0.02 0.55±0.01 0.64±0.01 0.64±0.00b
SPr 0.59±0.05 0.67±0.06 0.58±0.06 0.29±0.03 0.44±0.03 0.30±0.01 0.35±0.05c
SPf 0.59±0.05 0.63±0.00 0.87±0.02 0.69±0.00 0.78±0.01 0.29±0.02 0.30±0.03c
Adenosine VP 0.15±0.01 0.33±0.03 0.82±0.08 1.04±0.16 0.56±0.02 0.52±0.07 1.29±0.04a
NP 0.15±0.01 0.18±0.01 0.45±0.03 0.92±0.11 1.07±0.04 0.80±0.05 0.89±0.03b
SPt 0.15±0.01 0.41±0.06 0.69±0.08 1.22±0.17 0.80±0.02 1.38±0.15 1.34±0.02a
SPr 0.15±0.01 0.08±0.01 1.39±0.03 1.33±0.10 1.01±0.12 0.11±0.01 0.12±0.02d
SPf 0.15±0.01 0.68±0.08 1.05±0.03 1.30±0.05 0.14±0.01 0.97±0.09 0.55±0.03c
Guanosine VP 1.25±0.09 2.18±0.11 7.96±0.18 12.77±0.40 4.68±0.19 6.11±0.20 6.50±0.32c
NP 1.25±0.09 1.75±0.22 2.84±0.12 9.36±0.22 5.36±0.18 8.11±0.42 7.05±0.50bc
SPt 1.25±0.09 1.47±0.11 6.12±0.16 14.86±0.48 9.14±0.55 8.56±0.43 7.79±0.12bc
SPr 1.25±0.09 1.37±0.19 2.88±0.32 11.87±0.57 7.35±0.40 7.21±0.57 8.12±1.22b
SPf 1.25±0.09 1.59±0.22 3.19±0.10 3.69±0.24 7.95±0.13 9.33±1.36 9.60±0.52a
Uridine VP 0.38±0.04 0.96±0.05 0.55±0.03 0.90±0.05 0.80±0.00 0.76±0.01 0.74±0.02c
NP 0.38±0.04 1.15±0.03 0.57±0.00 0.73±0.05 1.00±0.01 0.72±0.06 1.06±0.01b
SPt 0.38±0.04 0.94±0.05 0.77±0.02 1.07±0.05 1.10±0.01 0.65±0.06 1.07±0.02ab
SPr 0.38±0.04 0.89±0.07 1.16±0.02 0.87±0.10 0.96±0.01 1.03±0.06 1.05±0.05b
SPf 0.38±0.04 1.05±0.12 1.09±0.03 0.98±0.04 1.10±0.05 1.11±0.03 1.13±0.05a

Different letters within a row (i.e., a, b, c) denote significant differences between means according to a Tukey HSD.

VP - vacuum packaging at room temperature, NP - nitrogen packaging at room temperature, SPt - sealing packaging and stored at room temperature, SPr - sealing packaging and stored at the refrigerator, SPf - sealing packaging and stored at the frozen condition.