Download

Original Article

Preparation and characterization of Pummelo essential oil microcapsules and their application to preservation of Agricus bisporus (white mushrooms)

Guokang Zhang1, Xin Jiang2, Qitao Tang2, Ling Li2*

1School of Binzhou Polytechnic, Binzhou, China;

2School of Agricultural Engineering and Food Science, Shandong University of Technology, Zibo, China

Abstract

Pummelo essential oil is a natural plant oil with antioxidant and antibacterial properties; however, it is poorly stabilized and volatile, which limits its application in food preservation research. In the present work, pummelo essential oil microcapsules were prepared using the complex coalescence method, with pummelo essential oil as the core material and glutenin as the wall material. Pummelo essential oil was successfully encapsulated by glutenin, forming a stable microcapsule structure with enhanced thermal stability. Microcapsules (GH-4) with the addition of 4 mL of pummelo essential oil exhibited the best embedding effect, achieving an encapsulation efficiency of 91%. Compared with GH-0, white mushrooms preserved with GH-4 effectively maintained the hardness of the fruiting body (about 7.5 N), delayed browning (the L* value was about 80), inhibited respiration (about 18×103 mL kg-1 h-1), and slowed the quality deterioration of the white mushrooms. In conclusion, GH-4 microcapsules can be used not only for the preservation of fruits and vegetables but also provide a theoretical basis for sustainable food preservation.

Key words: Agaricus bisporus, microcapsules, pummelo essential oil, preservation

*Corresponding Author: Ling Li, School of Agricultural Engineering and Food Science, Shandong University of Technology, Zibo 255049, China. Email: [email protected]

Received: 18 August 2024; Accepted: 26 September 2024; Published: 30 October 2024

DOI: 10.15586/qas.v16i4.1505

© 2024 Codon Publications
This is an Open Access article distributed under the terms of the Creative Commons Attribution-NonCommercial-ShareAlike 4.0 International (CC BY-NC-SA 4.0). License (http://creativecommons.org/licenses/by-nc-sa/4.0/)

Introduction

Agaricus bisporus, also known as the white mushroom, is one of the most widely produced and distributed edible fungi in the world (Jiang et al., 2024a). White mushrooms are rich in active substances such as amino acids, polysaccharides, vitamins, minerals, and nucleotides (Muszyńska et al., 2016). They also offer various health benefits, including lowering cholesterol and blood pressure, inhibiting tumor growth, preventing cancer, and enhancing human immunity (Grosshauser et al., 2013). However, freshly harvested white mushrooms are highly susceptible to microbial contamination due to their vigorous respiration and transpiration, as well as their lack of an epidermal structure. This susceptibility can lead to undesirable phenomena such as browning, crumpling, wilting, and rotting, which accelerate the aging process and ultimately reduce their commercial value (Qiu et al., 2024). The short shelf life of white mushrooms poses a significant obstacle to their market value (Fang et al., 2017). Therefore, developing effective and safe preservation technologies is crucial for improving the quality and market competitiveness of white mushrooms.

Pummelo essential oil is a renewable biomass resource with significant biological value, rich in D-limonene, α-watercressene, and 35 other chemical components, offering notable antioxidant and bacteriostatic effects (Kaur et al., 2023). Eight components of pummelo essential oil, including limonene and laurene, are the primary substances that contribute to its characteristic odor, making it an effective odor inhibitor (Lan-Phi et al., 2009). As a natural antioxidant, pummelo essential oil faces challenges such as poor stability, volatility, and oxidative deterioration, which can diminish its efficacy when applied directly (Feng et al., 2023). Therefore, utilizing embedding treatment technology is an effective approach to maintaining the stability of essential oil and maximizing its benefits.

Microencapsulation technology involves encasing a core material in a film-forming wall material to create tiny particles. This process can reduce the influence of external environmental factors on the core material and effectively enable it to maintain its bioactive functions (Ashraf et al., 2015). Currently, bioactive substances studied in the field of food often exhibit poor stability and are easily affected by external conditions, presenting an urgent problem that needs to be addressed. Microcapsule technology allows for the encapsulation of bioactive substances using appropriate wall materials, creating a controlled environment for material exchange with the outside (Wen et al., 2024). For instance, Zhang et al. (2021) prepared beta-carotene microcapsules by combining wet grinding and spray drying, utilizing octenyl butyric anhydride (OSA)-starch and trehalose as wall materials, which improved the retention of beta-carotene during heat and light exposure. Nami et al. (2023) fortified low-fat stirred yogurt with vitamin D3, resulting in significantly higher probiotic content compared to control samples and improving the survival rate of Lactobacillus acidophilus during storage, with no notable differences in sensory quality.

Therefore, pummelo essential oil was used as the core material, with wheat glutenin serving as the wall material. The emulsion precipitation of pummelo essential oil microcapsules at different gradients was analyzed through single-factor experiments, and the microscopic properties were examined using optical microscopy (OM), scanning electron microscopy (SEM), Fourier-transform infrared spectroscopy (FTIR), differential scanning calorimetry (DSC), and encapsulation efficiency (EE). A preservation experiment for the pummelo essential oil microcapsules was conducted to evaluate their preservation effect. This research provides theoretical insights and technical support for the application of plant essential oil microcapsules in the field of postharvest fruit and vegetable preservation, and it promotes further investigation and practical applications of microencapsulated plant essential oils.

Materials and Methods

Materials

Fresh white mushrooms were purchased from a local farm in Zibo, Shandong Province, China. Glutenin (>99.00% purity) was obtained from Tokyo Chemical Industry Co., Ltd. (Tokyo, Japan). Pummelo essential oil (OEO, density: 0.957 g mL−1) was supplied by Wenmei Plant Essential Oil Co., Ltd (Jinan, China), and (3-chloropropyl) triethoxysilane (MW of 240.800, purity >99.00 %) was obtained from Yien Chemical Technology Co., Ltd. (Shanghai, China). Other chemical reagents were supplied by Opusen Chemical Co., Ltd. (Tianjin, China).

Methods

Preparation of pummelo essential oil microcapsules

Ten grams of glutenin were weighed, and a 0.4 g L-1 NaOH solution was used to make up a total volume of 500 mL. This mixture was stirred for 20 min at 85°C in a magnetic stirring pot. Afterward, 5 mL of trichloropropyl triethoxysilane was added, and the mixture was stirred continuously in a water bath at 85°C for another 20 min to obtain the wall material solution, which was then sealed with plastic wrap. Once the wall material solution cooled to room temperature, 100 mL of this solution was added to each of four beakers, followed by the addition of 0 mL, 2 mL, 4 mL, and 6 mL of pummelo essential oil, respectively. The wet microcapsules were prepared by stirring at 35°C for 30 min in a magnetic stirring pot. The wet microcapsule emulsions from the four beakers were poured into drying dishes, frozen in a refrigerator for 12 h, and then transferred to a freeze-dryer, where they were vacuum freeze-dried for 12 h. The resulting dry microcapsules were labeled GH-0, GH-2, GH-4, and GH-6, respectively.

Analysis of optical microscope and scanning electron microscopy

The microimaging of wet microcapsules was conducted following the experimental method outlined by Baiocco et al. (2024). A glass rod was dipped into an appropriate amount of the wet microcapsule emulsion to observe the micro-morphological distribution of the microcapsules under different treatments.

The microscopic morphology of the microcapsules was observed using a scanning electron microscope (SEM, Quanta 250, FEI Company, OR, USA) at 5 kV. Prior to measurement, the microcapsules were coated with gold (Petrovic et al., 2010).

Measurement of microcapsule precipitation rate

Fifty milliliters of the GH-0, GH-2, GH-4, and GH-6 microcapsule emulsions were measured and placed in transparent glass tubes. The precipitation of essential oil and changes in the state of the microcapsules were recorded every 2 days over a total period of 6 days.

Measurement of encapsulation efficiency

Two milliliters of wet microcapsules and 6 mL of ethanol (purity: ≥99.7%) were added to a centrifuge tube. The mixture was centrifuged at 8,000 r min-1 and 4°C. The absorbance of the sample was measured using a UV-Vis spectrophotometer (UV-1800, Shanghai Mepda Instrument Co., Ltd., China) at 273 nm. The content of pummelo essential oil in the microcapsules was calculated using a standard curve, and the encapsulation efficiency (EE) was determined (Huang et al., 2024).

EE=C×N×V1×Mm×m1×100% 1

where EE represents the encapsulation efficiency, %; C is the mass concentration of pummelo essential oil, mg mL-1; N is the dilution ratio of the sample extract; V1 is the volume of the sample extract, mL; m is the total mass of the microcapsule, g; m1 is the added mass of tea tree essential oil, g.

Fourier-transform infrared spectroscopy

The GH-0, GH-2, GH-4, and GH-6 microcapsules were characterized using Fourier-transform infrared (FTIR) spectroscopy (Nicolet 5700, Thermo Nicolet, MA, USA) over the spectral range of 400–4000 cm-1 (Wang et al., 2013).

Differential scanning calorimetry

The thermodynamic properties of the microcapsules were analyzed using differential scanning calorimetry (DSC) (Linseis DSC PT10, Germany). The films were heated from 20°C to 250°C at a rate of 20°C min-1 under a nitrogen atmosphere (Wang et al., 2024b).

Pummelo essential oil microcapsules for preserving Agaricus bisporus

White mushrooms were pre-cooled at 4 ± 1°C for 6 h, then randomly placed in round plastic containers, each containing about 1.5 kg of mushrooms. The mushrooms were fumigated with GH-0 and GH-4 microcapsules, respectively. They were stored at room temperature for 5 days, and corresponding indexes were tested through random sampling every 24 h.

Measurement of color, hardness, weight loss, electrolytic leakage and respiration rate of white mushrooms

The L* values of the white mushrooms were measured using an ADCI-60-C colorimeter (Beijing Chentaike Instrument Co., Ltd., Beijing, China). Measurements were taken at three equally spaced points on the cap of each mushroom, and the results were averaged (Jiang et al., 2024b).

The hardness of the white mushrooms was tested using a durometer (FHT-05, Nanjing Shante Instrument, Jiangsu, China). The results were recorded in Newtons (N), with the test depth set between 5-8 mm (Han et al., 2024).

The weight loss of mushroom was determined with reference to the method of Zhang et al. (2024a). Five mushrooms were selected in different treatments and weighed every 24 h for a total of 5 days. the calculation formula is as follows:

W/%=W0WtW0×100% 2

where W0 is the initial weight of white mushrooms, g; Wt is the weight of white mushrooms at time t, g.

The white mushrooms were cut into thin slices of 2 mm, and 1 g of the small discs were taken out with a punch and soaked in a test tube containing 25 mL distilled water for 30 min, and the conductivity (P0) of the sample was determined. The samples were boiled for 30 min again after measurement. After cooling the samples to 25°C, the total conductivity (P) was measured (Xu et al., 2016).

Electrolyte leakage %=P0P×100% 3

The increase of CO2 concentration in white mushroom within 6 h was measured using a portable gas analyzer (PBI-Dansensor, NJ, USA), and the mass and volume of the corresponding white mushrooms were measured at the same time. The respiratory intensity of white mushrooms was calculated according to the formula (Faraj et al., 2024).

rCO2=yCO2tyCO2t0100mtt0×V 4

Where y is the breathing strength, ×103 mL kg-1 h-1; V is the free volume, mL; m is the mass of white mushrooms, kg; t0 is the initial time, h; t is the determination time, h; is the volume fraction of CO2 in the container at time t0, %; is the volume fraction of CO2 in the container at time t, %.

Assays of sensory qualities

The characteristics of cap opening, viscosity, and off-flavor in white mushrooms were evaluated using a 10-point scoring system. Scores below 4 indicated very poor quality; 4–5 was considered poor; 6–7 was acceptable; 8–9 was good; and a score of 10 represented excellent quality. Ten trained members of the laboratory team participated in the evaluation (Li et al., 2021).

Statistical analysis

The measured data are presented using the average value of the three measurements. Data were analyzed with Origin. Tukey’s test was used to analyze significant differences between mean values (P < 0.05).

Results and Discussion

Analysis of FTIR spectroscopy

The FTIR spectra of the microcapsules shown in Figure 1 can be used to characterize the interactions between the components of the microcapsules and to observe changes in protein secondary structure and hydrogen bonds (Gu et al., 2024). Characteristic peaks appeared at 1530 cm-1, 1649 cm-1, and 2930 cm-1 in the different treatment groups. The peak at 1530 cm-1 typically represents the bending vibrations of nitrogen-hydrogen and carbon-nitrogen bonds (Silva et al., 2020). The absorption peak at 1649 cm-1 is associated with β-folding in protein secondary structure, as well as changes in α-helices and random coils (Wang et al., 2016b; Lawton et al., 2002). The absorption peak at 2930 cm-1 is mainly attributed to the tensile vibrations of carbon-hydrogen bonds in the polymer molecules (Alpizar-Reyes et al., 2017).

Figure 1. FTIR of microcapsules of different essential oils gradients.

In this study, different treatments exhibited similar absorption peaks at 1530 cm-1, 1649 cm-1, and 2930 cm-1. Compared to GH-0, the GH-2, GH-4, and GH-6 emulsions showed stronger amplitudes of stretching vibrations of hydrocarbon bonds at 2930 cm-1, which may be related to the loading of essential oils. The incorporation of essential oils could reduce the cross-linking ability of glutenin, disrupting the stable structure of the glutenin matrix. This leads to the binding of hydroxyl groups with the C=O of the amide I band, forming hydrogen bonds and ultimately strengthening the stretching vibration of the hydroxyl group. Additionally, the characteristic peak at 1649 cm-1 weakened with the addition of essential oils, further confirming their ability to disrupt the secondary structure of glutenin. The trend observed for the characteristic peak at 1530 cm-1 was consistent with that at 1649 cm-1. Therefore, this study demonstrated that the preparation of microcapsules by adding essential oils to glutenin modified the original structure of glutenin, with no significant differences noted in the amounts of essential oils added.

Analysis of DSC

The DSC curves of GH-0, GH-2, GH-4, and GH-6 microcapsules are shown in Figure 2, indicating the effect of temperature increase on the enthalpy change of the microcapsules. A single absorption peak was observed in the DSC patterns of all four groups, suggesting effective cross-linking between the wall and core materials, which results in a relatively stable microcapsule structure. The peak areas for GH-2, GH-4, and GH-6 essential oil microcapsules increased significantly, likely due to direct heat transfer to the interior of the microcapsules when in powder form (Bajac et al., 2017). The maximum decomposition temperature of the microcapsules increased with the amount of essential oil added, indicating that the combination of essential oil and glutenin compensates for the volatility issues, leading to a more stable structure and improved thermal stability of the microcapsules (Wang et al., 2024b).

Figure 2. DSC of microcapsules with different essential oil gradients.

Analysis of OM and SEM

As shown in Figure 3A, the microstructural morphology of the different gradient essential oil microcapsules was observed under an optical microscope (OM). Compared to the morphology of glutenin, the solutions in GH-0, GH-2, GH-4, and GH-6 formed spherical microcapsules through polycondensation at varying gradients. The microcapsules appeared as tiny milky spherical structures distributed within the glutenin solution, indicating successful embedding of the essential oil to form the microcapsules (Zhang et al., 2023). The number of microcapsules in GH-2 was small and unevenly distributed. However, as the essential oil gradient increased, the number of microcapsules in GH-4 and GH-6 increased significantly, resulting in a denser distribution. A small number of darker, transparent spherical particles were observed in GH-6, which were in constant motion. This suggested that glutenin could encapsulate a larger amount of essential oils at a certain concentration, but the amount of essential oils added was limited (Rasteh et al., 2024).

Figure 3. Morphology of microcapsules with different essential oil gradients under OM (A) and SEM (B).

Figure 3B presents an SEM image at 10,000× magnification of microcapsules with varying amounts of essential oil added. SEM provides a clear visualization of the microstructure of microcapsules prepared with different essential oil quantities, offering a theoretical basis for determining the optimal amount of essential oil to add (Bajac et al., 2017). The surface of GH-0 displayed numerous wrinkles, indicating that the glutenin emulsion did not successfully encapsulate pummelo essential oil to form microcapsules. What was observed under the SEM reflects the state of the glutenin emulsion after dehydration. The microcapsules in GH-2 and GH-6 exhibited a regular spherical shape with a dense, smooth surface, suggesting an effective embedding of the internal core material. However, the particle sizes were uneven, with scattered distributions. In GH-2, the number of spherical microcapsules was relatively small, and some blank areas appeared in Figure 3B, indicating that the amount of essential oil added was insufficient to utilize all the glutenin emulsion, resulting in excess emulsion without microcapsules in those areas (Sridhar et al., 2024). In GH-6, the sizes of the microcapsules varied greatly, with some being excessively large, uneven, and sticky. This inconsistency may be attributed to electrostatic effects between the core and wall materials. Additionally, the large amount of essential oil may have caused the wall material to exceed its capacity to encapsulate the oil, leading to cracks in the structure (Jahromi et al., 2022). In contrast, the GH-4 microcapsules had a smooth and intact surface, relatively uniform particle size, and a larger quantity, indicating a better morphological structure. This suggests that the glutenin emulsion effectively encapsulated the added essential oil, minimizing its exposure to the environment and thereby reducing the volatilization of pummelo essential oil.

Analysis of emulsion precipitation

Figure 4 illustrates the precipitation of GH-0, GH-2, GH-4, and GH-6 microcapsule emulsions at room temperature. The stability of the emulsions was assessed by observing changes in each component over time. As shown in Figure 4, with an increase in essential oil addition, the phenomenon of unembedded essential oil became evident. Additionally, over time, the glutenin in the emulsion gradually precipitated. On day 0, a small amount of essential oil residue was suspended at the top of the GH-4 and GH-6 emulsions, indicating that the addition of essential oils exceeded the encapsulation capacity of glutenin. The changes in the floating essential oil suggested that the oil within the microcapsules was gradually released and rising to the surface. This behavior was attributed to the successful embedding of the essential oil, which was slowly released due to the microcapsules’ slow-release characteristics. After 4 days, flocculation was observed in the glutenin solution, which was determined by the hydrophobicity of the glutenin itself (Wang et al., 2023). The other three groups of wet microcapsules did not exhibit flocculation; however, a very small amount of protein precipitation still appeared at the bottom of the glass tube, which was related to the solubility of glutenin. During the preparation of the microcapsules, not all of the glutenin was utilized as wall material. The embedded essential oil altered the structure of glutenin, enhancing its stability and preventing emulsion flocculation. Additionally, on day 6, glutenin polymers were observed in the upper layer of the essential oil, which was attributed to the emulsification of the microcapsules during the release process. Therefore, this study demonstrates that adding essential oil enhances the stability of glutenin.

Figure 4. Image of microcapsules emulsion with different essential oil gradients.

Effect of essential oil concentration on the microcapsule encapsulation efficiency

The ideal microcapsules should exhibit a high encapsulation efficiency (EE). As shown in Figure 5, the EEs of GH-2, GH-4, and GH-6 microcapsules were 95.2%, 91%, and 64.1%, respectively. The high EE of GH-2 can be attributed to the addition of only 2 mL of pummelo essential oil, allowing glutenin to embed all the essential oil, with only a small portion of glutenin remaining unused. The EE of GH-4 was similar to that of GH-2, indicating that the added 4 mL of essential oil was almost completely embedded by glutenin, with only a slight excess remaining. However, when the core-to-wall material ratio is too low, even if the EE is high, the overall content of microcapsules per unit mass of the final product may be low, resulting in a waste of wall materials (Wang et al., 2024c). Additionally, the solubility of glutenin further limits the ratio between core and wall materials. Compared to GH-2 and GH-4, GH-6 exhibited a lower encapsulation rate, indicating that all of the glutenin was utilized as wall material to encapsulate the essential oils, resulting in a larger amount of free essential oils and leading to significant waste. Therefore, 4 mL of essential oil is identified as the optimal addition amount, making GH-4 microcapsules the most effective formulation.

Figure 5. Embedding efficiency of microcapsules with different essential oil gradients.

Sensory evaluation of white mushroom

Sensory evaluation of cap opening, viscosity, and off-flavor is an effective method for assessing the freshness of white mushrooms (Feng et al., 2023). As shown in Figure 6A–C, with the extension of storage time, the mushrooms gradually aged, resulting in an increased degree of cap opening, elevated viscosity, and the emergence of an off-odor inside the container. In the GH-0 group, dark brown spots appeared on the surface of the mushrooms, turning black by day 4, with the surface heavily covered in black by day 5. In contrast, the GH-4 group exhibited significantly better appearance and freshness. Compared to the GH-4 group, the GH-0 group exhibited significantly worse viscosity (Figure 6D). There was no noticeable odor in the essential oil microcapsule treatment. This is attributed to pummelo essential oil, which acts as an odor inhibitor and effectively reduces undesirable odors. Its antimicrobial properties also help to inhibit microbial growth on the mushroom surface (Lan-Phi et al., 2009). Additionally, its strong antioxidant effect prevents browning on the surface of the white mushrooms. In summary, the antimicrobial and antioxidant properties of pummelo essential oil can effectively maintain the sensory quality of white mushrooms during post-harvest storage, achieving a notable preservation effect.

Figure 6. Opening Caps (A) Viscosity (B) and Off-flavor (C) of white mushrooms treated with microcapsules with different essential oil gradients and preserved images of white mushrooms (D).

Analysis of color, hardness, respiration rate, weight loss and electrolytic leakage of white mushroom

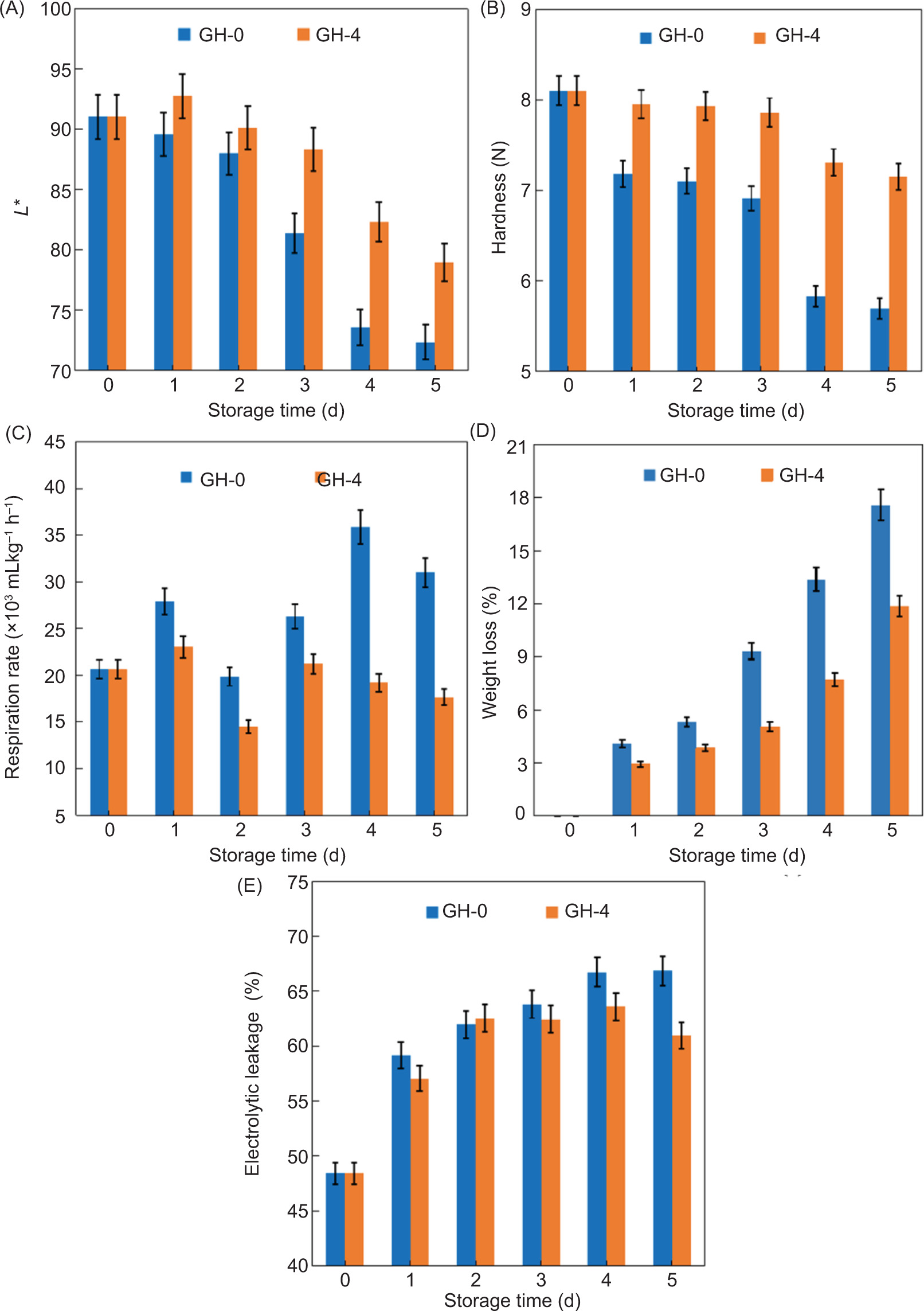
The degree of surface browning in white mushrooms is a critical factor for evaluating appearance quality and serves as an important indicator of preservation (Zhang et al., 2024b). The results for whiteness under different treatment conditions are presented in Figure 7A. As storage time increased, the L* value of white mushrooms in both groups decreased, indicating that the surface color gradually darkened. However, the L* value in the GH-4 group decreased at a slower rate compared to the GH-0 group. Over time, the gap in L* values between the two groups widened, suggesting that surface browning was more pronounced in the GH-0 group. This indicates that the essential oil released from the microcapsules in the GH-4 group effectively inhibited browning on the surface of the white mushrooms.

Figure 7. L* (A) hardness (B) relative electrolytic leakage, weight loss (C) and respiration rate (D) of white mushrooms treated with microcapsules with different essential oil gradients.

Hardness is a crucial parameter for assessing the quality of white mushrooms (Song et al., 2024). The changes in hardness throughout the storage period are illustrated in Figure 7B. In both treatment groups, hardness gradually decreased over time. Notably, the hardness of the GH-4 group was significantly higher than that of the GH-0 group from day 2 onward. The GH-0 group experienced a substantial decline in hardness by day 3, attributed to the degradation of the cell walls in untreated white mushrooms by relevant enzymes. As storage progressed, the outer cell wall underwent changes, leading to the gradual degradation of key components such as cellulose and chitin, which weakened the structural integrity of the cell wall. Consequently, this resulted in a decrease in the hardness of the white mushrooms, negatively impacting their overall quality (Shao et al., 2021).

The respiratory intensity of white mushrooms significantly influences their quality and shelf life. With a high respiration rate, white mushrooms consume oxygen and nutrients, adversely affecting their quality (Lin et al., 2019). Therefore, reducing the respiration rate during storage is crucial. Figure 7C illustrates the changes in respiratory intensity under different treatments. Throughout the storage period, the GH-0 group exhibited a higher respiratory intensity compared to the GH-4 group. Notably, the respiration intensity in the GH-4 group was significantly lower in the later stages of storage than in the control group, indicating a faster metabolic rate and higher CO2 production in the GH-0 group. The pummelo essential oil released from the microcapsules in the GH-4 group, containing D-limonene, β-laurelthylene, and alcohol, likely plays a key role in inhibiting respiration in white mushrooms. These components may reduce the activity of respiratory enzymes by influencing the metabolic pathways, thereby lowering the respiration rate (Feng et al., 2024). In summary, pummelo essential oil microcapsules can effectively inhibit respiratory intensity, reduce nutrient consumption, and ultimately extend the shelf life of white mushrooms.

During post-harvest storage, white mushrooms experience material loss due to water transpiration and respiration, leading to weight loss (Cai et al., 2022). Dehydration significantly impacts the quality of mushrooms throughout storage. As shown in Figure 7D, the weight loss rate increased over time for both treatment groups. From day zero, the weight loss rate in the GH-0 group was consistently higher than that in the GH-4 group. After day three, both groups continued to show increased weight loss, with the GH-0 group reaching a maximum weight loss rate of 17.58% by day five. This was attributed to significant organic matter consumption and water evaporation (Chen et al., 2022). In contrast, the GH-4 group exhibited a slower increase in weight loss, peaking at 11.86% on day five. The inhibition of respiration in this group contributed to a reduction in metabolic activity, thereby minimizing quality loss during storage. Consequently, pummelo essential oil effectively inhibits the respiration of white mushrooms, reducing life activities and positively impacting their preservation during storage.

Relative conductivity is a critical measure of cell membrane permeability. An increase in membrane permeability, often caused by lipid peroxidation, leads to greater electrolyte leakage and accelerates cellular senescence (Wang et al., 2016a). As illustrated in Figure 7E, relative conductivity increased in both treatment groups, but the rise was significantly lower in the GH-4 group compared to the GH-0 group. The increase in relative conductivity can be attributed to the degradation of pectin, a key component of the cell wall, during storage. This degradation compromises the protective function of the cell wall, leading to increased permeability and electrolyte leakage (Wang et al., 2016a). In the GH-4 group, the gradual release of pummelo essential oil from the microcapsules effectively inhibited the peroxidation of cell membrane lipids, thereby reducing electrolyte leakage and minimizing damage to the cell membrane (Shao et al., 2021). Ultimately, the pummelo essential oil microcapsules help maintain cell membrane integrity, contributing to the preservation of white mushrooms during storage.

Conclusions

In this experiment, pummelo essential oil served as the core material while glutenin was utilized as the wall material. The results indicated that after microencapsulation, pummelo essential oil formed smooth and regular spherical particles, demonstrating successful embedding within glutenin and significantly enhanced stability. FTIR analysis revealed that the incorporation of pummelo essential oil altered the original structure of glutenin, with no significant differences observed across varying amounts of the essential oil. DSC analysis further confirmed that the thermal stability of pummelo essential oil improved after microencapsulation, as evidenced by an increase in the maximum decomposition temperature of glutenin. The GH-4 microcapsules were subsequently employed in preservation experiments with white mushrooms. Findings showed that these microcapsules effectively slowed the spoilage process, maintained sensory quality, and extended the storage period of the mushrooms. This study highlights the potential of pummelo essential oil microcapsules to broaden the application scope of both glutenin and pummelo essential oil, suggesting promising developments in food preservation research. Additionally, it lays a foundational basis for further investigations into essential oil microencapsulation and its mechanisms of action, including preservation effects and related enzyme activities, which will be explored in future studies.

Author Contributions

Conceptualization, X. J. and Q. T.; methodology, G. Z., X. J., Q. T. and L. L; software, X. J. and Q. T.; validation, G. Z., X. J., Q. T. and L. L.; formal analysis, X. J. and Q. T.; investigation, G. Z., X. J., Q. T. and L. L.; resources, L. L.; data curation, G. Z., X. J. and Q. T.; writing—original draft preparation, G. Z., X. J. and Q. T.; writing—review and editing, L. L.; visualization, X. J. and Q. T.; supervision, L. L.; project administration, L. L. All authors have read and agreed to the published version of the manuscript.

Data Availability Statement

The original contributions, presented in the study are included in the article, further inquiries can be directed to the corresponding author.

Acknowledgments

We acknowledge the support provided by the members of the Binzhou Polytechnic and Shandong University of Technology.

Conflicts of Interest

The authors declare no conflict of interest.

REFERENCES

Alpizar-Reyes, E., Carrillo-Navas, H., Gallardo-Rivera, R., Varela-Guerrero, V., Alvarez-Ramirez, J., & Pérez-Alonso, C. (2017). Functional properties and physicochemical characteristics of tamarind (Tamarindus indica L.) seed mucilage powder as a novel hydrocolloid. Journal of Food Engineering, 209, 68–75. 10.1016/j.jfoodeng.2017.04.021

Ashraf, M. A., Khan, A. M., Ahmad, M., & Sarfraz, M. (2015). Effectiveness of silica based sol-gel microencapsulation method for odorants and flavors leading to sustainable environment. Frontiers in Chemistry, 3, 42. 10.3389/fchem.2015.00042

Baiocco, D., Lobel, B. T., Al-Sharabi, M., Cayre, O. J., Routh, A. F., & Zhang, Z. (2024). Environmentally friendly calcium carbonate-polydopamine microcapsules with superior mechanical, barrier, and adhesive properties. Sustainable Materials and Technologies, 41, e01001. 10.1016/j.susmat.2024.e01001

Bajac, J., Nikolovski, B., Lončarević, I., Petrović, J., Bajac, B., Đurović, S., Petrović, L. (2022). Microencapsulation of juniper berry essential oil (Juniperus communis L.) by spray drying: microcapsule characterization and release kinetics of the oil. Food Hydrocolloids, 125, 107430. 10.1016/j.foodhyd.2021.107430

Cai, M., Zhong, H., Ma, Q., Yang, K., & Sun, P. (2022). Physicochemical and microbial quality of Agaricus bisporus packaged in nano-SiO2/TiO2 loaded polyvinyl alcohol films. Food Control, 131, 108452. 10.1016/j.foodcont.2021.108452

Chen, M., Yan, X., Cheng, M., Zhao, P., Wang, Y., Zhang, R., Wang, X., Wang, J., & Chen, M. (2022). Preparation, characterization and application of poly (lactic acid)/corn starch/eucalyptus leaf essential oil microencapsulated active bilayer degradable film. International Journal of Biological Macromolecules, 195, 264–273. 10.1016/j.ijbiomac.2021.12.023

Fang, Z. X., Zhao, Y. Y., Warner, R. D., & Johnson, S. K. (2017). Active and intelligent packaging in meat industry. Trends in Food Science & Technology, 61, 60-71. 10.1016/j.tifs.2017.01.002

Faraj, A. M., & Nouri, M. (2024). Development of a mucilage coating including nanoencapsulated essential oils for extending shelf life of button mushrooms (Agaricus bisporus). Food Packaging and Shelf Life, 41, 101232. 10.1016/j.fpsl.2023.101232

Feng, L., Jiang, X., Han, J., Li, L., Kitazawa, H., Wang, X., Guo, Y., Dong, X., & Liu, H. (2023). Properties of an active film based on glutenin/tamarind gum and loaded with binary microemulsion of melatonin/pummelo essential oil and its preservation for Agaricus bisporus. Food Chemistry, 429, 136901. 10.1016/j.foodchem.2023.136901

Feng, L., Zhang, N., Wang, J., Jiang, X., Han, J., Li, L., Kitazawa, H., Wang, X., Chen, C., & Guo, Y. (2024). Sustained release of a novel bilayer packaging film loaded with binary microemulsion of melatonin/pummelo essential oil and its regulation of postharvest energy metabolism in Agaricus bisporus. Food Control, 161, 110396. 10.1016/j.foodcont.2024.110396

Grosshauser, S., & Schieberle, P. (2013). Characterization of the key odorants in pan-fried white mushrooms (Agaricus bisporus L.) by means of molecular sensory science: comparison with the raw mushroom tissue. Journal of Agricultural and Food Chemistry, 61(16), 3804–3813. 10.1021/jf4006752

Gu, C. Y., Shao, J. Q., Liu, X. L., Wei, J. T., Huang, G. Q., & Xiao, J. X. (2024). Spray drying the Pickering emulsions stabilized by chitosan/ovalbumin polyelectrolyte complexes for the production of oxidation stable tuna oil microcapsules. International Journal of Biological Macromolecules, 273, 133139. 10.1016/j.ijbiomac.2024.133139

Han, J., Jiang, X., Feng, L., Wang, J., Wang, X., Zhou, Q., Kitazawa, H., Guo, Y., & Li, L. (2024). Identification of Trichderma harzianum in postharvest Agaricus bisporus and a novel control approach using eucalyptus essential oil emulsion. Scientia Horticulturae, 329, 113029. 10.1016/j.scienta.2024.113029

Huang, J., Zhang, S., Liu, D., Feng, X., Wang, Q., An, S., Xu, M., & Chu, L. (2024). Preparation and characterization of astaxanthin-loaded microcapsules stabilized by lecithin-chitosan-alginate interfaces with layer-by-layer assembly method. International Journal of Biological Macromolecules, 268, 131909. 10.1016/j.ijbiomac.2024.131909

Jahromi, M., Niakousari, M., & Golmakani, M. T. (2022). Fabrication and characterization of pectin films incorporated with clove essential oil emulsions stabilized by modified sodium caseinate. Food Packaging and Shelf Life, 32, 100835. 10.1016/j.fpsl.2022.100835

Jiang, X., Han, J., Feng, L., Wang, J., Chen, C., Kitazawa, H., Wang, X., Guo, Y., & Li, L. (2024a). Preparation of hydroxypropyl methylcellulose/pueraria-based modified atmosphere film and its influence on delaying the senescent process of postharvest Agaricus bisporus. International Journal of Biological Macromolecules, 261, 129611. 10.1016/j.ijbiomac.2024.129611

Jiang, X., Han, J., Feng, L., et al. (2024b). Preparation of a novel ATP liposome and its regulation of postharvest senescence in Agaricus bisporus. Food Bioscience, 104602. 10.1016/j.fbio.2024.104602

Kaur, G., Kaur, K., & Saluja, P. (2023). Citrus essential oil (grapefruit, orange, lemon). In Essential Oils (pp. 179–215). Academic Press. 10.1016/B978-0-323-91740-7.00018-9

Lan-Phi, N. T., Shimamura, T., Ukeda, H., & Sawamura, M. (2009). Chemical and aroma profiles of yuzu (Citrus junos) peel oils of different cultivars. Food Chemistry, 115(3), 1042–1047. 10.1016/j.foodchem.2008.12.024

Lawton, J. W. (2002). Zein: A history of processing and use. Cereal Chemistry, 79(1), 1–18. 10.1094/CCHEM.2002.79.1.1

Li, L., Kitazawa, H., Zhang, X., Zhang, L., Sun, Y., Wang, X., Liu, Z., Guo, Y., & Yu, S. (2021). Melatonin retards senescence via regulation of the electron leakage of postharvest white mushroom (Agaricus bisporus). Food Chemistry, 340, 127833. 10.1016/j.foodchem.2020.127833

Lin X., & Sun D. W. (2019). Research advances in browning of button mushroom (Agaricus bisporus): affecting factors and controlling methods. Trends in Food Science & Technology, 90, 63–75. 10.1016/j.tifs.2019.05.007

Muszyńska, B., Kała, K., Sułkowska-Ziaja, K., Krakowska, A., & Opoka, W. (2016). Agaricus bisporus and its in vitro culture as a source of indole compounds released into artificial digestive juices. Food Chemistry, 199, 509–515. 10.1016/j.foodchem.2015.12.041

Nami, B., Tofighi, M., Molaveisi, M., Mahmoodan, A., & Dehnad, D. (2023). Gelatin-maltodextrin microcapsules as carriers of vitamin D3 improve textural properties of synbiotic yogurt and extend its probiotics survival. Food Bioscience, 53, 102524. 10.1016/j.fbio.2023.102524

Petrovic, L. B., Sovilj, V. J., Katona, J. M., & Milanovic, J. L. (2010). Influence of polymer–surfactant interactions on o/w emulsion properties and microcapsule formation. Journal of Colloid and Interface Science, 342(2), 333–339. 10.1016/j.jcis.2009.10.077

Qiu, W., Wang, Y., Li, W., Cheng, F., Xu, X., & Sun, Y. (2024). Nanocomposite coating based on nitrogen-doped carbon dots in extending shelf life of fresh-cut pears from the perspective of microorganism. Food Bioscience, 104598. 10.1016/j.fbio.2024.104598

Rasteh, I., Pirnia, M., Miri, M. A., & Sarani, S. (2024). Encapsulation of Zataria multiflora essential oil in electrosprayed zein microcapsules: characterization and antimicrobial properties. Industrial Crops and Products, 208, 117794. 10.1016/j.indcrop.2023.117794

Shao, P., Yu, J., Chen, H., & Gao, H. (2021). Development of microcapsule bioactive paper loaded with cinnamon essential oil to improve the quality of edible fungi. Food Packaging and Shelf Life, 27, 100617. 10.1016/j.fpsl.2020.100617

Silva, V. D. M., Macedo, M. C. C., Rodrigues, C. G., dos Santos, A. N., e Loyola, A. C. D. F., & Fante, C. A. (2020). Biodegradable edible films of ripe banana peel and starch enriched with extract of Eriobotrya japonica leaves. Food Bioscience, 38, 100750. 10.1016/j.fbio.2020.100750

Song, L., Hou, F., Yi, F., Zhan, S., Chen, X., Han, X., Zhang, R., & Liu, Z. (2024). Sustained-release film prepared by incorporation of cinnamon essential oil: Physicochemical properties and application in the preservation of mushroom (Agaricus bisporus). Journal of Stored Products Research, 105, 102253. 10.1016/j.jspr.2024.102253

Sridhar, K., Hamon, P., Ossemond, J., Bouhallab, S., Croguennec, T., Renard, D., & Lechevalier, V. (2024). Plant and animal protein mixed systems as wall material for microencapsulation of Mānuka essential oil: characterization and in vitro release kinetics. Food Research International, 187, 114419. 10.1016/j.foodres.2024.114419

Wang, B., Cheng, F., Lu, Y., Ge, W., Zhang, M., & Yue, B. (2013). Immobilization of pectinase from Penicillium oxalicum F67 onto magnetic cornstarch microspheres: Characterization and application in juice production. Journal of Molecular Catalysis B: Enzymatic, 97, 137–143. 10.1016/j.molcatb.2013.07.018

Wang, M., Mu, H., Peng, L., Tan, C., Chen, Y., Sheng, J., Tian, Y., & Zhao, C. (2024a). Effect and application of spray drying and freeze drying on characterization of walnut oil microcapsules. Journal of Food Engineering, 376, 112083. 10.1016/j.jfoodeng.2024.112083

Wang, Q., Ding, T., Zuo, J., Gao, L., & Fan, L. (2016a). Amelioration of postharvest chilling injury in sweet pepper by glycine betaine. Postharvest Biology and Technology, 112, 114–120. 10.1016/j.postharvbio.2015.07.008

Wang, T., Liu, X., Luo, J., Sun, G., & Liu, R. (2024b). Interfacial polymerization for preparation of capsaicin microcapsules: achieving sustained release in uv-curable coatings on plastic substrates. Colloids and Surfaces A: Physicochemical and Engineering Aspects, 134379. 10.1016/j.colsurfa.2024.134379

Wang, W., Ma, X., Jiang, P., Hu, L., Zhi, Z., Chen, J., Ding, T., Ye, X., & Liu, D. (2016b). Characterization of pectin from grapefruit peel: A comparison of ultrasound-assisted and conventional heating extractions. Food Hydrocolloids, 61, 730–739. 10.1016/j.foodhyd.2016.06.019

Wang, X., Yuan, X., Fan, S., & Yang, H. (2024c). Preparation and characterization of polystyrene microcapsules containing liquid polysulfide rubber. Colloids and Surfaces A: Physicochemical and Engineering Aspects, 134410. 10.1016/j.colsurfa.2024.134410

Wang, Y. H., Zhang, Y. R., Wang, X., Yang, Y. Y., Guo, W. M., Fei, Y. X., & Qiao, L. (2023). Improving the surface tackiness of frozen cooked noodles by the addition of glutenin, gliadin, and gluten. LWT-Food Science and Technology, 179, 114637. 10.1016/j.lwt.2023.114637

Wen, C., Lin, X., Tang, J., Fan, M., Liu, G., Zhang, J., & Xu, X. (2024). New perspective on protein-based microcapsules as delivery vehicles for sensitive substances: a review. International Journal of Biological Macromolecules, 132449. 10.1016/j.ijbiomac.2024.132449

Xu, Y., Tian, Y., Ma, R., Liu, Q., & Zhang, J. (2016). Effect of plasma activated water on the postharvest quality of button mushrooms, Agaricus bisporus. Food Chemistry, 197, 436–444. 10.1016/j.foodchem.2015.10.144

Zhang, L., Zhang, M., Ju, R., Bhandari, B., & Liu, K. (2023). Antibacterial mechanisms of star anise essential oil microcapsules encapsulated by rice protein-depolymerized pectin electrostatic complexation and its application in crab meatballs. International Journal of Food Microbiology, 384, 109963. 10.1016/j.ijfoodmicro.2022.109963

Zhang, L., Zhang, M., Mujumdar, A S., & Guo, Z. (2024a). Preparation and characterization of TiO2 photocatalyst films and their application for preservation of Agaricus bisporus in combination with blue-violet LEDs. Food Bioscience, 59, 103860. 10.1016/j.fbio.2024.103860

Zhang, L., Wei, Y., Liao, W., Tong, Z., Wang, Y., Liu, J., & Gao, Y. (2021). Impact of trehalose on physicochemical stability of β-carotene high loaded microcapsules fabricated by wet-milling coupled with spray drying. Food Hydrocolloids, 121, 106977. 10.1016/j.foodhyd.2021.106977

Zhang, Y., Feng, X., Shi, D., Ibrahim, S. A., Huang, W., & Liu, Y. (2024b). Properties of modified chitosan-based films and coatings and their application in the preservation of edible mushrooms: a review. International Journal of Biological Macromolecules, 132265. 10.1016/j.ijbiomac.2024.132265