Download

RESEARCH ARTICLE

Effect of whole grain flours on the overall quality characteristics of mulberry pestil

M. Murat Karaoğlu1, Y. Bedir1 and H. Boz2

1Food Engineering Department, Faculty of Agriculture, Atatürk University, 25240, Erzurum, Turkey; 2Department of Gastronomy and Culinary, Faculty of Tourism, Atatürk University, 25240, Erzurum, Turkey

Corresponding Author: Y. Bedir, [email protected]

Received: 11 December 2018 / Accepted: 16 December 2019 / Published: 8 February 2020

Abstract

This research aimed to determine the effects of the structural ingredients (starch, wheat flour, wheat bran and whole grain flours from oat, barley, rye and wheat) on the physical, chemical and sensorial properties of the mulberry pestil. Effects of structural ingredients and their levels were statistically significant on colour values, total dry matter, ash, pH and titratable acidity, total soluble solids, total phenolic content and sensorial evaluation results (P < 0.01) of pestil samples. The characteristics of mulberry pestils ranged from 7.26 to 8.53 brix for total soluble solids, 90.23–92.67% total dry matter, 2.09–3.23% ash (in dry weight), 5.67–5.81 pH, 0.40–0.73% titratable acidity. The highest total phenolic contents were determined in samples containing whole oat flour and whole barley flour, while the lowest values were determined in samples containing starch. The L* values of the pestil samples increased with increasing barley flour and starch content whereas L* values decreased in the pestil samples containing wheat flour, whole rye flour, whole wheat flour, whole oat flour and wheat bran. The highest a* and b* values were measured in samples containing 9% level of starch, and the lowest a* and b* colour values were determined in samples containing 9% level of wheat bran. According to the sensorial evaluation results, the pestil samples produced with oat flour were generally more appreciated by panelists.

Keywords: mulberry leather (pestil), starch, wheat bran, whole grain flour

 

1. Introduction

Traditional foods are foods that have been consumed by people all over the world since ancient times. They are mostly local products that express the culture, history and lifestyle of societies and reflect the cultural heritage and affect current eating patterns. Many of the traditional foods may have significant health characteristics. For this reason, the nutritional quality of these products should be improved (Trichopoulou et al., 2007).

Pestil is among important traditional foods produced and consumed in many regions of Turkey (Suna et al., 2014). Many fruits, such as mulberry, grape, apple, carob and apricot are used in pestil production. Pestil is produced in different ways using different materials and some pestil types are produced by using concentrated fruit juice (mulberry syrup), starch/wheat flour and sugar in Turkey (Yıldız, 2013). In addition to these ingredients, honey and milk may also be added to pestil. In the traditional pestil production, wheat flour or starch, sugar, and concentrated fruit juice are boiled in an open vessel to increase the consistency, and the ‘herle’ (viscous gelatinised mixture) is then spread in a 1–5-mm thick layer onto a cloth (Tontul and Topuz, 2017a); a chewable leathery product is obtained by drying to a certain level of moisture content under the sun (Cagindi and Otles, 2005).

The health benefits of whole grain cereals and grain bran are well-recognised and promoted widely for reducing the risk of chronic diseases (e.g. cardiovascular diseases and type 2 diabetes) and due to their high fibre contents they lower the energy density of the diet, rate and extent of starch digestion (Gujral et al., 2018; Sayaslan and Şahin, 2018; Ye et al., 2012). Dietary fibre can be a food additive and has several advantages; it may influence the colour, flavour, oil- and water-holding capacity of the product. In addition, it can affect the structure, rheological characteristics, sensory properties and may modify the apparent viscosity of the product (Wang et al., 2018). Barley is a rich source of dietary fibre (β-glucan) which has functional effects on human health and it is used as a binding agent with the other cereal flours in the production of cereal-based foods (Yuksel et al., 2015). Oats contain soluble and insoluble fibre (e.g. β-glucans ) which has a satiating effect (Ciesarová et al., 2014). The nutritional value of pestil, which is often consumed by children and adolescents, is of importance in terms of nutrition. Quality characteristics of pestil could be improved with the addition of whole grain flours and grain bran because they contain high levels of bioactive compounds (e.g. fibres, essential amino acids, vitamins, phenolic compounds and minerals).

In the production of pestil, mostly wheat flour and starch are used to create a specific structure. In this study, mulberry pestil production was carried out by using wheat flour, starch, wheat bran and whole grain flour (wheat, barley, rye and oat) which are substances that improve the structure formation of the product. The aim of the present study is to investigate the effect of the structural ingredients on the physical, chemical and sensorial properties of pestil.

2. Material and methods

Materials

Mulberry syrup (pekmez) used in the production of pestil was obtained from a commercial company in Malatya which was producing it at a national level. Initial total soluble solids (TSS) of mulberry syrup were measured as 72 0brix. In this study, two different levels (6 and 9%) of corn starch, wheat flour, whole grain flours (wheat, barley, rye and oat) and wheat bran were used as structural ingredients. Wheat, oat, barley, rye, wheat flour, wheat bran and corn starch were supplied from the local market. Wheat, barley, rye and oat were milled thoroughly in the Bühler type mill to obtain whole grain flour. The properties of materials used in the pestil production are given in Table 1.

Table 1. Ash, titratable acidity, pH and colour intensity values of structural ingredients and mulberry syrup (pekmez).
Ingredients L* a* +b* Ash (%) pH Titratable acidity (%citric acid)
MS 20.99 ± 0.01 5.88 ± 0.01 2.29 ± 0.02 2.10 ± 0.02 5.36 ± 0.03 1.78 ± 0.02
S 99.95 ± 0.05 –1.62 ± 0.01 4.15 ± 0.14 0.10 ± 0.01 4.33 ± 0.03 0.5 ± 0.05
WF 97.03 ± 0.01 –0.72 ± 0.01 10.67 ± 0.01 0.80 ± 0.01 6.12 ± 0.01 1.58 ± 0.01
WWF 90,09 ± 0.06 1.89 ± 0.01 10.10 ± 0.02 1.61 ± 0.04 6.37 ± 0.02 2.08 ± 0.07
WBF 92.86 ± 0.13 0.55 ± 0.00 9.94 ± 0.03 2.52 ± 0.01 5.94 ± 0.02 3.59 ± 0.12
WRF 89.76 ± 0.03 1.08 ± 0.01 9.54 ± 0.01 1.76 ± 0.05 6.45 ± 0.03 2.37 ± 0.09
WOF 89.75 ± 0.06 0.72 ± 0.00 10.53 ± 0.00 2.72 ± 0.02 5.92 ± 0.03 9.97 ± 0.06
WB 82.17 ± 0.05 3.62 ± 0.01 13.14 ± 0.06 4.61 ± 0.03 6.40 ± 0.04 6.71 ± 0.01
MS, mulberry syrup, S, starch; WF, wheat flour; WWF, whole wheat flour; WBF, whole barley flour; WRF, whole rye flour; WOF, whole oat flour; WB, wheat bran.

Production of pestil

In the production of pestil, the initial TSS of mulberry syrup were diluted with drinking water to decrease the value from 72 0brix to 20 0brix and the formulations were prepared by adding two different levels (6 and 9%) of whole grain flours (rye, barley, oat and wheat), wheat flour, wheat bran and starch. The best results in preliminary sensorial texture tests were obtained from 6 to 9% level of pestils with added whole grain flour. This is because whole grain flour can absorb more water. Heat-treatment was applied with constant stirring in an open environment (boiler). Heat-treatment was continued for 12 min after boiling (100–103 °C). Overall heat-treatment was carried out for 15 min. 'Herle' were spread on the special pestil cloths in equal thickness (6 mm) and dried in an oven at 50 °C for 10 h. The air velocity of the oven was 1.5 m/s, the relative humidity was determined as 15–20% using a hygrometer depending on the drying temperature. The mulberry leather was sealed in a stretch film and stored at room temperature. Preparations of the mulberry pestil were conducted in three replications.

Methods

Total dry matter, total soluble solids and total ash analysis

Total dry matter (TDM) was determined according to the work of Cemeroğlu (1992) and results were expressed as percentages. TSS were measured by using an Abbe refractometer (Phimpharian et al., 2011). For analysis of total ash, 3 g of the pestil samples was weighed and dried at 100–120 °C in an oven and then burned at 500–600 °C in a muffle furnace for about 6 h. The results were calculated as g/100 g (Uylaşer and Başoğlu, 2011).

pH, titratable acidity and colour intensity analysis

The pH measurements of the samples were performed using an INOLAB pH of 720 pH meter (Torley et al., 2008).

Measurements of titratable acidity (TA) of the samples was conducted according to Cemeroğlu (2007). About 5 g of the pestil sample was weighed and then finely blended with 50 m distilled water, and the mixture was titrated with 0.1 N NaOH up to pH = 8.1 and the result was expressed as percent citric acid (INOLAB pH 720; WTW, Weilheim, Germany). The colour intensity measurements were carried out using the HunterLab colorimeter device and the results were evaluated according to the International Commission on Illumination (CIE Lab) (Minolta CR-200; Minolta, Osaka, Japan). This formula is based on a three-dimensional colour measurement; L* (lightness, 0 = black 100 = white), a* (+ indicates redness, and – greenness) and b *(+ indicates yellowness, and – blueness) (Alpaslan and Hayta, 2006).

Total phenolic contents

The total phenolic content was determined by using the Folin–Ciocalteu method (Gülcin et al., 2002) with some modification. For the extraction process, 46 ml of distilled water was added to 0.1 g of the pestil sample. Subsequently, the whole of the filtrate obtained by filtering through the Whatman no: 1 filter paper was filtered and mixed with 1 ml of Folin–Ciocalteu solution. After 3 min, 3 ml of Na2CO3 (2%) was added, then the mixture was stirred with a magnetic stirrer for 2 h at 22 °C. The absorbance was measured at 760 nm in an ultraviolet-visible (UV-VIS) spectrophotometer (Shimadzu UV-160; Kyoto, Japan). The total phenolic content was calculated on the basis of the calibration curve of gallic acid and expressed as gallic acid equivalents (μg GAE/mg sample).

Texture analysis

Hardness of pestil samples that were stored (in room temperature for 24 h) was measured at 20 °C by an uniaxial compression test using a TA.XT Plus Texture Analyser (Stable Micro Systems, Godalming, UK) equipped with a 30 kg load cell and a P/35 probe. Pestils were cut into cylinders with 23.5 mm of diameter and 2 mm height. The cylindrical pestil samples were compressed at the speed of 2.00 mm/s to a strain of 30% and then the hardness (N) was recorded.

Sensory analysis

Sensorial properties of pestils were evaluated according to the method proposed by Alpaslan and Hayta (2006) with slight modifications. The panel was formed in the Laboratory of Atatürk University Faculty of Agriculture Department of Food Engineering. The panellists were selected from the lecturers of the Department of Food Engineering and graduate/doctoral students, 10 male and 10 female, between the ages of 25 and 40. The pestil samples were cut into 15 cm × 3 cm × 2 mm sizes, then three-digit number codes were assigned to each sample, presented with drinking water on plastic plates, and evaluated sensibly. All the pestil samples that were produced were given to be presented after 24 h storing at room temperature. Pestil samples were evaluated for their taste, aroma, texture and general acceptability properties. Panellists were required to rate samples of pestil on a 9-point (1: dislike intensely, 5: neither dislike nor like, 9: like intensely) traditional hedonic scale (Villanueva and Da Silva, 2009).

Statistical analysis

All the experiments were carried out in triplicate and in two different trials. The data obtained from the study were subjected to analysis using Statistical Package for the Social Sciences (SPSS) (a completely randomised design procedure by SPSS; SPSS; Chicago, IL, USA) packet program and differences between data were tested using Duncan's range test (P < 0.05, P < 0.01). The result were expressed as mean ± standard error.

3. Results and discussion

TSS, TDM, ash, pH and TA values of mulberry pestil significantly changed with the addition of structural ingredients (Table 2). The highest value for TSS was found in the samples added 6% level of wheat flour, while the lowest value was found in the samples added 9% level of oat flour. It was also observed that the TSS values decreased with increase in the structural ingredient addition level in all samples. The reason for a decrease in TSS value could be due to the presence of water-insoluble components (insoluble fibre) that increase proportionally in the formulation and basically reduce the amount of soluble components from the mulberry syrup. While the highest value for TDM was determined in samples containing 9% level of starch, the lowest value was determined in samples containing 6% level of oat flour. When ash contents of pestil samples were analysed, it was seen that the pestil samples with wheat bran had the highest value and the ones containing starch had the lowest value. However, the addition of bran caused a significant increase in the ash content of the samples. This may be explained by the fact that wheat bran has more ash content than mulberry syrup and other ingredients. It was also found that the pestil samples produced from ingredients with high initial ash content had higher ash content. Elgün and Ertugay (2012) stated that the bran layer of the cereal grains is very rich in mineral matter.

Table 2. Proximate composition and physicochemical properties of pestil samples.
Ingredient (structural) Level (%) TSS (0Brix) TDM (%) Ash (%) pH TA (%citric acid)
S 6 7.73 ± 0.03d 91.41 ± 0.21def 2.23 ± 0.05f 5.75 ± 0.01cd 0.45 ± 0.01f
9 7.53 ± 0.03e 92.67 ± 0.12a 2.09 ± 0.01g 5.81 ± 0.01a 0.40 ± 0.01g
WF 6 8.53 ± 0.03a 92.16 ± 0.00ab 2.36 ± 0.00e 5.78 ± 0.01b 0.46 ± 0.01ef
9 8.03 ± 0.03c 92.02 ± 0.33bc 2.21 ± 0.00f 5.77 ± 0.01b 0.44 ± 0.02f
WWF 6 8.51 ± 0.01a 90.96 ± 0.15fg 2.51 ± 0.00d 5.77 ± 0.00b 0.48 ± 0.01de
9 8.01 ± 0.01c 91.58 ± 0.08bcde 2.43 ± 0.00de 5.74 ± 0.00d 0.48 ± 0.01de
WBF 6 8.51 ± 0.01a 91.45 ± 0.07cdef 2.67 ± 0.01bc 5.68 ± 0.00e 0.57 ± 0.01c
9 8.01 ± 0.01c 91.39 ± 0.11def 2.66 ± 0.01bc 5.67 ± 0.00e 0.55 ± 0.01c
WRF 6 8.25 ± 0.01b 91.37 ± 0.04def 2.60 ± 0.01c 5.74 ± 0.01d 0.50 ± 0.00d
9 8.01 ± 0.01c 91.81 ± 0.32bcd 2.37 ± 0.05e 5.78 ± 0.01b 0.49 ± 0.01de
WOF 6 8.26 ± 0.01b 90.23 ± 0.21h 2.73 ± 0.05b 5.67 ± 0.01e 0.68 ± 0.01b
9 7.26 ± 0.01f 90.54 ± 0.24gh 2.72 ± 0.02b 5.69 ± 0.01e 0.69 ± 0.01b
WB 6 8.01 ± 0.01c 91.19 ± 0.04ef 3.14 ± 0.02a 5.76 ± 0.02bcd 0.73 ± 0.01a
9 7.51 ± 0.01e 91.03 ± 0.07efg 3.23 ± 0.05a 5.77 ± 0.01bc 0.73 ± 0.02a
P-value ** ** ** ** **
Values are mean ± Standard Error (SE). Different letters in the same column are significantly different (*P < 0.05; **P < 0.01).
S, starch; WF, wheat flour; WWF, whole wheat flour; WBF, whole barley flour; WRF, whole rye flour; WOF, whole oat flour; WB, wheat bran.

Pestil samples had an acidic pH. The pH of the pestil is mostly dependent on the fruit pulp, juice, the ingredients used in its formulation and the process conditions such as heat treatment and drying techniques (Tontul and Topuz, 2017b). For example, formation of acidic compounds due to non-enzymatic browning reaction during heat treatment may affect the pH of products. The pH value of pestil samples ranged between 5.67 and 5.81. The lowest pH values were measured in pestil samples containing oat and barley flour while the highest pH values were determined in samples containing 9% level of starch. Similar results were reported by Tontul and Topuz (2017b); the pH of the traditional pestil produced with wheat starch was higher than that produced with hydrocolloid (locust bean gum and pre-gelatinised starch) added to the formulation and temperature increases for the same drying technique did not affect the pH of the pestil, except during hot air drying. On the other hand, the TA values of the pestil samples increased with the increase in the amount of structural ingredients. The highest TA value was found in the samples containing wheat bran, whereas the lowest value was found in the samples containing 9% level of starch.

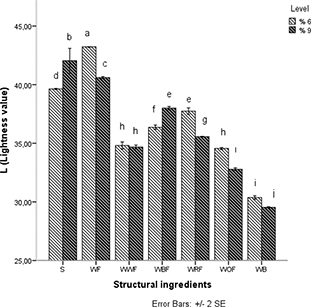
In products such as pestil and fruit juice, colour is one of the most important quality criteria significantly influencing consumer preferences. Colour in fruit juice is principally attributed to the presence of various caretonoids, betalains and anthocyanins, which are water-soluble diglycosides (Maskan et al., 2002a; Tiwari et al., 2009). Browning reactions occurred during the boiling process and water-soluble diglycosides have a great effect on the colour formation of pestil (Maskan et al., 2002a). The colour properties of the structural ingredients (Table 1) reflected in the pestil samples (Figure 1). In Figure 2, an increase in the level of structural ingredient added to the formulation resulted in an increase in the L* value of the samples with barley flour and starch added; however, it decreased the L* value in samples containing the wheat flour, whole rye flour, whole wheat flour, whole oat flour and wheat bran. It was also determined that samples containing starch had colour values close to samples containing wheat flour. The highest L* colour value was found in the samples containing 6% level of wheat flour, whereas the lowest L* colour value was found in the samples containing wheat bran. As expected, the wheat flour led to an increase in the L* colour values of the pestil samples, while the addition of wheat bran decreased the L* colour values.



Fig 1

Figure 1. Produced pestil samples.
S, starch; WF, wheat flour; WWF, whole wheat flour; WBF, whole barley flour; WRF, whole rye flour; WOF, whole oat flour; WB, wheat bran.



Fig 2

Figure 2. L (Lightness value) colour variation in mulberry pestil according to type and level of added structural ingredients.
S, starch; WF, wheat flour; WWF, whole wheat flour; WBF, whole barley flour; WRF, whole rye flour; WOF, whole oat flour; WB, wheat bran.

In the samples containing starch and wheat flour, the a* (+ indicates redness, and – greenness) colour value was quite high compared to the other samples. The lowest a* colour value was measured in pestil samples containing 9% level of wheat bran. Taking into consideration the consumer liking, it is stated that the a* colour value is not desired to be very high and pestils with lower a values are preferred, because it is considered to be related to the extent of heat treatment applied in the pestil production and is a result of excessive caramelisation of sugars (Maskan et al., 2002b; Yıldız, 2013). Boz et al. (2016) reported that an increase in cooking time reduced L values of mulberry pestil samples. Aksu et al. (1997) have reported that increases in the browning of sugary foods generally correlated well with decreases in L* value.

The highest b* (+ indicates yellowness, and – blueness) value was measured in samples containing 9% level of starch and the closest value to samples containing starch was measured in pestil samples that added 6% level of wheat flour. The lowest b* value was measured in samples containing 9% level of wheat bran. The level of ingredient added to the formulation and ingredients significantly (P < 0.01) affected colour values (L*, a* and b*) in pestil samples. In Figures 24, the increase in the level of ingredient added to the formulation increased the L*, a* and b* values in the samples with starch and whole barley flour added, whereas it generally decreased these values in samples containing wheat flour, whole wheat flour, whole rye flour, whole oat flour and wheat bran.



Fig 3

Figure 3. a (redness/greenness value) colour variation in mulberry pestil according to type and level of added structural ingredients.
S, starch; WF, wheat flour; WWF, whole wheat flour; WBF, whole barley flour; WRF, whole rye flour; WOF, whole oat flour; WB, wheat bran.



Fig 4

Figure 4. b (yellowness/blueness value) colour variation in mulberry pestil according to type and level of added structural ingredients.
S, starch; WF, wheat flour; WWF, whole wheat flour; WBF, whole barley flour; WRF, whole rye flour; WOF, whole oat flour; WB, wheat bran.

Phenolic compounds are mostly produced by plants and have strong antioxidant properties (Tokbas, 2009). While total phenolic content of pestil samples produced by using starch, whole wheat flour, whole barley flour, whole rye flour and whole oat flour decreased with increasing addition level, it increased in pestil samples containing wheat flour and wheat bran (Figure 5). The decrease in the amount of phenolic compounds may be considered normal due to the increase in the amount of structural ingredient added to the formulations. The amount of mulberry syrup with a high phenolic content was reduced as according to the amount of structural ingredient added. The highest phenolic content values were measured in samples containing 6% level of whole barley and whole oat flour and the lowest value was measured in pestil sample that had 9% level of starch added. Cereals, such as oat and barley contain important phenolic compounds. Axtell and Baik (2006) found the phenolic compound content of grains, expressed as catechin equivalent (CE). Phenolic compound contents of grains have been found as 24.3 μg/mg for barley, 17.6 μg/mg for oat, 10.2 μg/mg for wheat and 8.9 μg/ mg for rye. In a study on pestils produced from mulberry, cornelian cherry and plum total phenolic content that was reported ranged from 4.79 to 28.36 μgGAE/mg sample. In addition, it was stated that plum pestil (28.36 μgGAE/mg) from pestils had the highest content of total phenolic content and was followed by mulberry with walnut (24.08 μgGAE/mg) (Şengül et al., 2010).



Fig 5

Figure 5. Total phenolic content variation in mulberry pestil according to type and level of added structural ingredients.
S, starch; WF, wheat flour; WWF, whole wheat flour; WBF, whole barley flour; WRF, whole rye flour; WOF, whole oat flour; WB, wheat bran.

According to instrumental analysis results, the hardness values of the samples increased with an increase in structural ingredient level (Figure 6). The most hard pestils were samples containing wheat bran. Pestil is desired to be folded and bent. High hardness value is not required because moisture losses during shelf life will be unavoidable. Phimpharian et al. (2011) reported for pineapple pestil produced by adding three different levels of pectin (0.5, 1.0 and 1.5%) that an increase in the pectin concentration resulted in an increase of hardness of pestil.



Fig 6

Figure 6. Hardness variation in mulberry pestil according to type and level of added structural ingredients.
S, starch; WF, wheat flour; WWF, whole wheat flour; WBF, whole barley flour; WRF, whole rye flour; WOF, whole oat flour; WB, wheat bran.

The sensory properties are among the most important properties of food products. Sensory texture refers to the determination of structural, mechanical and surface properties of foods based on vision, hearing, touch and kinesthetic observation (Szczesniak, 2002). As shown in Table 3, the highest taste, aroma, texture and general acceptability values were determined in the samples of whole oat flour. The lowest taste, aroma and general acceptability values were found in samples containing wheat bran. The lowest texture values were determined in samples containing starch, whole wheat flour, whole barley flour and wheat bran. Lowest overall acceptability value was determined in pestil samples containing wheat bran. Samples containing wheat bran were not preferred due to their more fibrous structure compared to other samples. This fibrous structure negatively influenced the mouthfeel properties of the pestil samples.

Table 3. Sensory analysis results of pestil samples.
Ingredient (structural) Level (%) Taste Aroma Texture General acceptability
S 6 6.83 ± 0.17ab 6.75 ± 0.25abc 5.79 ± 0.21bcd 5.71 ± 0.71cd
9 6.81 ± 0.19ab 6.23 ± 0.23cde 4.67 ± 0.67e 6.03 ± 0.03c
WF 6 6.13 ± 0.13c 6.13 ± 0.13de 5.11 ± 0.11cde 6.10 ± 0.10bc
9 6.08 ± 0.08c 5.83 ± 0.17e 5.21 ± 0.21cde 5.92 ± 0.08c
WWF 6 6.03 ± 0.03c 6.21 ± 0.21cde 6.06 ± 0.06bcd 6.21 ± 0.21bc
9 6.11 ± 0.11c 6.13 ± 0.13de 4.64 ± 0.64e 6.10 ± 0.10bc
WBF 6 6.92 ± 0.08ab 6.54 ± 0.04bcd 6.72 ± 0.08b 6.83 ± 0.17ab
9 6.00 ± 0.00c 6.12 ± 0.08de 4.58 ± 0.58e 5.98 ± 0.03c
WRF 6 6.00 ± 0.00c 5.92 ± 0.08e 6.17 ± 0.17bc 6.04 ± 0.04c
9 6.15 ± 0.15c 6.13 ± 0.13de 5.08 ± 0.08cde 5.78 ± 0.22cd
WOF 6 7.17 ± 0.17a 7.18 ± 0.18a 7.83 ± 0.17a 7.21 ± 0.21a
9 6.72 ± 0.08b 7.02 ± 0.02ab 6.77 ± 0.23b 6.98 ± 0.02a
WB 6 5.21 ± 0.21d 5.17 ± 0.17f 5.77 ± 0.24bcd 5.92 ± 0.08c
9 5.13 ± 0.13d 4.38 ± 0.38g 5.00 ± 0.00de 5.08 ± 0.08d
P-value ** ** ** **
Values are mean ± SE. Different letters in the same column are significantly different (*P < 0.05; **P < 0.01).
S, starch; WF, wheat flour; WWF, whole wheat flour; WBF, whole barley flour; WRF, whole rye flour; WOF, whole oat flour; WB, wheat bran.

4. Conclusion

This study revealed that physical, chemical and sensorial properties of mulberry pestil were influenced when whole grain flours and wheat bran were used instead of adding wheat flour and starch during pestil production. According to the result, the characteristics of mulberry pestils ranged from 7.26 to 8.53 0brix for TSS, 90.23–92.67% TDM, 2.09–3.23% ash, 5.67–5.81 pH, 0.40–0.73% TA. The highest values for total phenolic content were determined in samples containing whole oat flour and whole barley flour. In general, the colour properties of the structural ingredients reflected the change in colour values of the pestil samples. According to the overall sensorial parameters, the pestils produced using oats were more appreciated by panelists. Pestil is among the most important traditional foods produced but is not a well-known product and few studies related to it have been published. The use of whole grain flour instead of ingredients such as starch in order to improve the functional properties of pestil may have a positive impact on consumer health. The results of this study could be used in the development of traditional foods.

Acknowledgements

This study was supported by Atatürk University Scientific Research Project (BAP-2015/395).

Conflict of interest

We are declaring no conflicts of interest with respect to the research, authorship and/or publication of this article.

Compliance with ethical standards

This article followed all ethical standards for a research without direct contact with human or animal subjects.

Funding

This study was supported by Atatürk University Scientific Research Project (BAP-2015/395).We presented it in the acknowledgements. This project was financially supported by Atatürk University.

References

Aksu, M.İ., Özdemir, F. and Nas, S., 1997. The quality characteristics of marmalades produced at different sugar/pulp ratios by using rosehip (Rosa spp.) pulp obtained by application of preheating during process. Journal of Engineering Science 3: 243–248.
Alpaslan, M. and Hayta, M., 2006. The effects of flaxseed, soy and corn flours on the textural and sensory properties of a bakery product. Journal of Food Quality 29: 617–627. https://doi.org/10.1111/j.1745-4557.2006.00099.x
Axtell, Z.Q. and Baık, B., 2006. Phenolic compounds of barley grain and their implication in food product discoloration. Journal of Agriculture and Food Chemistry 54: 9978–9984. https://doi.org/10.1021/jf060974w
Boz, H., Karaoğlu, M.M. and Kaban, G., 2016. The effects of cooking time and sugar on total phenols, hydroxymethylfurfural and acrylamide content of mulberry leather (pestil). Quality Assurance and Safety of Crops & Foods 8(4): 493–500. https://doi.org/10.3920/QAS2014.0558
Cagindi, O. and Otles, S., 2005. Comparison of some properties on the different types of pestil: a traditional product in Turkey. International Journal of Food Science and Technology 40: 897–901. https://doi.org/10.1111/j.1365-2621.2005.00962.x
Cemeroğlu, B., 1992. Basic analysis methods in fruit and vegetable processing industry [in Turkish]. Biltav Press, Ankara, Turkey.
Cemeroğlu, B., 2007. Food analysis. Food Technology Press, No: 34, Ankara.
Ciesarová, Z., Kukurova, K., Mikusova, L., Basil, E., Polakovicova, P., Duchonova, L., Vıcek, M. and Sturdık, E., 2014. Nutritionally enhanced wheat-oat bread with reduced acrylamide level. Quality Assurance and Safety of Crops & Foods 6(3): 327–334. https://doi.org/10.3920/QAS2013.0371
Elgün, A. and Ertugay, Z., 2012. Grain processing technology. Atatürk University Publications No: 718, Erzurum.
Gujral, S.H., Sharma, B. and Khatri, M., 2018. Influence of replacing wheat bran with barley bran on dough rheology, digestibility and retrogradation behavior of chapatti. Food Chemistry 240: 1154–1160. https://doi.org/10.1016/j.foodchem.2017.08.042
Gülcin, I., Oktay, M., Küfrevioglu, I. and Aslan, A., 2002. Determination of antioxidant activity of lichen Cetrariais landica (L) Ach. Journal of Ethnopharmacology 79(3): 325–329. https://doi.org/10.1016/S0378-8741(01)00396-8
Maskan, A., Kaya, S. and Maskan, M., 2002a. Hot air and sun drying of grape leather (pestil). Journal of Food Engineering 54: 81–88. https://doi.org/10.1016/S0260-8774(01)00188-1
Maskan, A., Kaya, S. and Maskan, M., 2002b. Effect of concentration drying process on color change of grape juice and leather (pestil). Journal of Food Engineering 54: 75–80. https://doi.org/10.1016/S0260-8774(01)00187-X
Phimpharian, C., Jangchud, A., Jangchud, K., Therdthai, N., Prinyawiwatkul, W. and Kyoon No, H., 2011. Physicochemical characteristics and sensory optimisation of pineapple leather snack as affected by glucose syrup and pectin concentrations. International Journal of Food Science and Technology 1: 1–10. https://doi.org/10.1111/j.1365-2621.2011.02579.x
Uylaşer, V. and Başoğlu, F., 2011. Basic Food Analysis [in Turkish]. Dora Press, Bursa, Turkey.
Sayaslan, S. and Şahin, N., 2018. Effects of fermented-chickpea liquor (chickpea yeast) on whole-grain wheat flour bread properties. Quality Assurance and Safety of Crops & Foods 10(2): 183–192. https://doi.org/10.3920/QAS2017.1225
Şengül, M., Yıldız, H., Güngör, N. and Okçu, Z., 2010. Total phenolic content, antioxidant activity, some physical and chemical properties of pestil. Asian Journal of Chemistry 2(1): 448–454.
Suna, S. Tamer, C.E, İncedayı, B, Sinir, G.Ö. and Çopur, Ö.U., 2014. Impact of drying methods of physicochemical and sensory properties of apricot pestil. Indian Journal of Traditional Knowledge 13(1): 47–55.
Szczesniak, A.S., 2002. Texture is a sensory property. Food Quality and Preference 13: 215–225. https://doi.org/10.1016/S0950-3293(01)00039-8
Tokbas, H., 2009. Jam and marmalade processing of mulberry fruit (Morus nigra L.) and determine of the antioxidant properties of products. Master thesis. Gaziosmanpaşa University, Institute of Science and Technology, Tokat.
Tontul, İ. and Topuz, A., 2017a. Effects of different drying methods on the physicochemical properties of pomegranate leather (pestil). LWT—Food Science and Technology 80: 294–303. https://doi.org/10.1016/j.lwt.2017.02.035
Tontul, I. and Topuz, A., 2017b. Production of pomegranate fruit leather (pestil) using different hydrocolloid mixtures: an optimization study by mixture design. Journal of Food Process Engineering 41: 12657. https://doi.org/10.1111/jfpe.12657
Torley, P.J., De Boer, J., Bhandari, B.R., Kasapis, S., Shrinivas, P. and Jiang, B., 2008. Application of the synthetic polymer approach to the glass transition of fruit leathers. Journal of Food Engineering 86: 243–250. https://doi.org/10.1016/j.jfoodeng.2007.10.008
Trichopoulou, A., Soukara, S. and Vasilopoulou, E., 2007. Traditional foods: a science and society perspective. Trends in Food Science & Technology 18: 420–427. https://doi.org/10.1016/j.tifs.2007.03.007
Tiwari, B.K., O'donnell, C.P., Muthukumarappan, K. and Cullen, P.J., 2009. Anthocyanin and colour degradation in ozone treated blackberry juice. Innovative Food Science & Emerging Technologies 10(1): 70–75. https://doi.org/10.1016/j.ifset.2008.08.002
Villanueva, N.D.M. and Da Silva, M.A.A.P., 2009. Comparative performance of the nine-point hedonic, hybrid and self-adjusting scales in the generation of internal preference maps. Food Quality and Preference 20: 1–12. https://doi.org/10.1016/j.foodqual.2008.06.003
Wang, C.C., Ma, S., Li., L, Zheng, X.L. and Wang, X.X., 2018. Effect of modified dietary fibre from wheat bran on the quality of noodle. Quality Assurance and Safety of Crops & Foods 10(1): 61–68. https://doi.org/10.3920/QAS2017.1076
Ye, E.Q., Chacko, S.A., Chou, E.L., Kugizaki, M. and Liu, S., 2012. Greater whole-grain intake is associated with lower risk of type 2 diabetes, cardiovascular disease, and weight gain. The Journal of Nutrition 142: 1304–1313. https://doi.org/10.3945/jn.111.155325
Yıldız, O., 2013. Physicochemical and sensory properties of mulberry products: Gümüşhane pestil and köme. Turkish Journal of Agriculture and Forestry 37: 762–771. https://doi.org/10.3906/tar-1301-41
Yuksel, F., Karaman, S. and Kayacier, A., 2015. Barley flour addition decreases the oil uptake of wheat chips during frying. Quality Assurance and Safety of Crops & Foods 7(5): 621–628. https://doi.org/10.3920/QAS2014.0472