Download

RESEARCH ARTICLE

Spent coffee grounds extract as an effective approach for prolonging the shelf life of minced beef: chemometric modeling of quality attributes

Dorra Zouari Ayadi1,2, Moufida Chaari1, Khaoula Elhadef1, Cyrine Abid3, Monia Ennouri4, Theodoros Varzakas5*, Slim Smaoui1

1Laboratory of Microbial, Enzymatic Biotechnologies and Biomolecules (LMEBB), Center of Biotechnology of Sfax (CBS), University of Sfax, Sfax, Tunisia;

2Department of Biology, Faculty of Science of Sfax, University of Sfax, Sfax, Tunisia;

3Laboratory of Screening Cellular and Molecular Processes, Centre of Biotechnology, University of Sfax, Tunisia;

4Olive Tree Institute, University of Sfax, Tunisia; and Valuation, Security and Food Analysis Laboratory, National School of Engineers of Sfax, University of Sfax, Sfax, Tunisia;

5Department of Food Science and Technology, University of the Peloponnese, Antikalamos, Kalamata, Greece

Abstract

Spent coffee grounds (SCG) contain value-added compounds explored for industrial applications. Natural -sustainable biopreservatives need to replace synthetic antioxidants. This study aimed to evaluate lyophilized aqueous SCG extract (SCGE) for extending the shelf life of minced beef. The objective was to assess its antioxidant capacity, antibacterial activity, and preservation efficacy. Liquid chromatography-tandem mass spectrometry analysis illustrates the primacy of caffeoylquinic acid and its derivatives. SCGE was applied to minced beef across three concentrations (0.125%, 0.25%, and 0.5% [SCGE3]), compared to 0.01% butylated hydroxytoluene (BHT) and an untreated control over a 14–day refrigeration period (4°C). SCGE demonstrated a potent preservative effect. The SCGE3 treatment exhibited the strongest reducing power for lipid oxidation, achieving a significant 52.76% inhibition by day 14. This was quantified by a reduction in the value of thiobarbituric acid reactive substances to 1.80 mg MDA/kg, compared to the control value of 3.81 mg MDA/kg. SCGE effectively delayed the growth of microbial population and maintained beneficial instrumental color and sensory properties (P < 0.05). SCGE3 provided an early and sustained preservation until the end of storage. Chemometric analysis validated robust correlations among all spoilage parameters. These results established SCGE as a promising, naturally sourced compound to maintain and improve meat quality.

Key words: spent coffee ground, bioactivities, fresh beef meat, quality assessment, chemometric analysis

*Corresponding Author: Theodoros Varzakas, Department of Food Science and Technology, University of the Peloponnese, Antikalamos 24100, Kalamata, Greece. Email: [email protected]

Academic Editor: Charles Okpala, PhD, UGA Cooperative Extension, University of Georgia, Athens, GA, US

Received: 3 October 2025; Accepted: 21 December 21 2025; Published: 17 January 2026

DOI: 10.15586/qas.v18i1.1598

Received: 03-10-2025 | Accepted: 21-12-2025| Published: 17-01-2026

© 2026 Codon Publications
This is an Open Access article distributed under the terms of the Creative Commons Attribution-NonCommercial-ShareAlike 4.0 International (CC BY-NC-SA 4.0). License (http://creativecommons.org/licenses/by-nc-sa/4.0/)

Introduction

The preservation of meat and meat products is a -critical challenge for the food industry, primarily because of the rapid degradation of their quality during storage. This degradation is often initiated by the coupled processes of lipid and protein oxidation, which lead to the formation of undesirable compounds that diminish both nutrient composition and sensory characteristics of the product. Specifically, these oxidative changes result in off-flavors, color fading, and textural deterioration, significantly reducing consumer purchase intentions and acceptability (Murillo Hernández et al., 2024). Furthermore, common processing steps, such as grinding of meat, exacerbate this problem by increasing the surface area exposed to oxygen and microorganisms, thereby accelerating spoilage and the development of off-flavors. Historically, to mitigate spoilage and suppress oxidative process in meat and meat derivatives, artificial preservatives, such as butylated hydroxytoluene (BHT) and butylated hydroxyanisole (BHA) are applied extensively. However, a significant problem has emerged, these synthetic antioxidants are claimed to have potential carcinogenic adverse effects (Mafe and Büsselberg, 2025), leading to increased consumer apprehension about meals that include chemical preservatives. Consequently, escalating public health concerns have necessitated the substitution of synthetic additives with natural antioxidant molecules (Gul et al., 2024; Tavares et al., 2022). This shift reflects a growing consumer demand for natural, safe, and eco-friendly food preservation methods. Antioxidants derived from nature, typically sourced from various plant parts, such as flowers, fruits, and leaves, are widely recognized as a safe and eco-friendly alternative for enhancing flavor integrity and shelf stability of foods (Hlima et al., 2021; Mohamadi et al., 2023; Smaoui et al., 2019). Of particular interest are by-products derived from the processed fruit and beverage industries, which represent an important, sustainable, and underutilized source of powerful polyphenols (Chaari et al., 2023; Elhadef et al., 2020).

Spent coffee grounds (SCG), the leftover byproduct of instant coffee production, are increasingly acknowledged as a valuable source of bioactive compounds. The characteristics of SCG include a rich chemical composition encompassing antioxidants, such as caffeine, melanoidins, and chlorogenic acids (Bettaieb et al., 2025; Jung et al., 2025). These compounds are known for their anti-inflammatory, anticancer, and potent antioxidant qualities. Instead of treating SCG as a waste product, its upcycling into valuable ingredients, such as a substrate for fungal growth or a food additive for bakeries, has become a sustainable strategy (Martinez-Saez et al., 2017; Setotaw et al., 2020). Therefore, the effective usage of SCG is a promising avenue for attaining greater value-added products while simultaneously reducing issues of environmental pollution (Angeloni et al., 2019; Asrofi et al. 2024; Silvera-Pablo et al., 2024). Given its significant biological activity and high antioxidant levels, SCG holds substantial potential for functional applications, particularly in food preservation.

While certain compounds in coffee can induce DNA damage under specific conditions, the overall evidence does not indicate a significant genotoxic risk to consumers (Monazzah and Lachenmeier, 2025). Therefore, SCG and its extracts are proposed for inclusion in the meat industry to reduce lipid oxidation (Murillo Hernández et al., 2024; Vargas-Sánchez et al., 2024). For instance, Murillo Hernández et al. (2024) reported that aqueous SCGE could prolong the shelf life of raw pork patties. Nonetheless, despite these initial findings, the comprehensive evaluation of SCG and its extracts as an antioxidant additive for developing innovative meat products aimed at prolonging shelf life requires additional scrutiny and a multidisciplinary analytical approach. Therefore, the primary purpose of this investigation was to evaluate the inclusion of aqueous SCGE as a functional ingredient to enhance antioxidant status and the overall quality of raw minced beef meat during refrigerated storage. Specifically, this research aims to investigate: (i) the ultra-performance liquid chromatography-tandem mass spectrometry (UPLC-MS/MS) identification and quantification of specific bioactive compounds present in the SCGE, and (ii) the comprehensive study of microbiological and oxidative stability, instrumental color, and sensory properties of chilled minced beef meat treated with SCGE. Finally, to address the challenge that data from different quality tests are often poorly integrated, chemometric analysis is conducted. This statistical approach connects all relevant data points, allowing for the analysis of multiple variables simultaneously and clarifying the complex relationships between all quality indicators (Gonçalves et al., 2021; Kharbach et al., 2023; Permatasari et al. 2025).

Materials and Methods

Processing and extraction of coffee residues

The SCG (blend of Arabica and Robusta coffee beans) was provided by a local coffee bar in Sfax, Tunisia (N: 34.4426, E: 10.4537). The SCG was generated exclusively from a medium roast, prepared using a standard professional espresso machine at a brewing temperature of 92°C. After being dried to a constant mass at 40°C, the leftover coffee grounds were kept in a dark place at 4°C for no more than 12 weeks. Using a 1:40 sample-to--solvent ratio, SCG was extracted via a 1-h maceration process at 50°C (Zouari Ayadi et al., 2025) with constant agitation at 200 rpm. After centrifugation, the obtained supernatant was concentrated in a rotary evaporator (Laborota 4000; Heidolph, Milan, Italy) at 40°C under reduced pressure with constant stirring rate (150 rpm). Finally, the water residue was frozen in liquid nitrogen and dried in a lyophilizer (Alpha 1–2 LD plus; Martin Christ, Germany) with an ice condenser set at –55°C and a vacuum of 0.31 mbar (–32°C).

Phytochemical analysis, antioxidants, and anti-foodborne activities

SCGE was utilized as a natural preservative in minced beef because of its high content of phenolic compounds. Total phenolic content (TPC) and total flavonoid content (TFC) were measured by methods described by López-Froilán et al. (2018) and Saharan et al. (2020), respectively. For antioxidant activity, 2,2-diphenyl-1-picrylhydrazyl (DPPH) radical scavenging activity was assessed according to Brand-Williams et al. (1995), and IC50, demonstrating the concentration of extract required to inhibit 50% of antioxidant activity, was determined. For evaluation of antimicrobial activity, the potential of SCGE was assessed against Listeria monocytogenes ATCC 19117 and Escherichia coli ATCC 8739 by using the microdilution method (Fourati et al., 2019), and the lowest dose that prevented each tested bacterium from growing visibly was determined by calculating minimum inhibitory concentration (MIC) values (Chaari et al., 2022).

Polyphenolic profiling of SCGE determined by UPLC-MS/MS

To identify polyphenols profile of SCGE, UPLC-MS/MS was executed using SYNAPT XS (Waters™, Milford, MA, US) high-definition mass spectrometry, integrated with an Acquity UPLC BEH C18 column (2.1 × 50 mm, 1.7-μm particle size; Waters Corp., Milford, MA, USA) using an electrospray ionization source (source temperature 100°C, capillary voltage 3 kV, and cone voltage 20 V). Acetonitrile (solvent B) and 0.1% (v) formic acid aqueous solution (solvent A) were combined to create mobile phase for this analysis. The initial separation began with a 99% concentration of solvent A, which was then gradually reduced to 40% solvent B over 12 min. After 2 min, a second gradient was applied to reach 100% solvent B. Finally, the system was reset to its initial conditions with a 3 min gradient, shifting from 100% solvent B back to 100% solvent A. The separation was carried out with a volume of 20 μL and a flow rate of 0.5 mL/min. Flow injection was achieved in negative ion mode with a scan range of 50–1,200 m/z, and a mass accuracy of 10 ppm.

Preparation of raw minced beef meat

Fresh beef was sourced from a local butchery in Sfax (Tunisia). The meat was minced using a sterile grinder (Kitchen Aid, Classic Model, US). Following separation of raw minced beef into five lots, SCGE was added at three levels equal to MIC determined in vitro: 0.125% v/w (SCGE1), 2× MIC 0.25% (v/w) (SCGE2), and 4× MIC 0.5% (v/w) (SCGE3) against L. monocytogenes (Elhadef et al., 2021). Lot 1 was the primary control, while lot 2 differed from the main control (Lot 1) by the addition of 0.01% BHT. We followed the protocol described by Chaari et al. (2022), Elhadef et al. (2020), and Smaoui et al. (2019) to make a homogeneous mixture of each treatment and kept them under vacuum using plastic bags to contribute three replicates. Finally, all aliquots were saved for 14 days at 4±1°C, and quality characteristics were analyzed on days 0, 3, 7, 10, and 14. The total number of analyzed samples was 225 (75×3). For microbiological, physicochemical, and sensory tests, 75 trials (5×3×5) were used, obtained as follows: five treatments (C, BHT, SCGE1, SCGE 2, and SCGE3) for three sub-samples and for each ageing period (five storage periods: 0, 3, 7, 10, and 14 days). To ensure the traceability and consistency of the material, a large quantity of extract was prepared and homogenized at the outset to guarantee identical extraction conditions for all experiments.

Microbiological analysis

In all, 25 g of each sample were combined for 10 min with NaCl sterile solution at 0.9% (225 mL). Plate count agar was grown for 48 h/30°C to perform aerobic plate counts (APC) on selected colonies (ISO, 2013). Plate count agar left to stand at 7°C for 10 days (ISO, 2001) was used to determine psychrotrophic total count (PTC). Violet red bile glucose medium (VRBG; Oxoid, UK) was used to count Enterobacteriaceae after incubation at 37°C for 24 h (ISO, 2004). Microbial enumeration was conducted following the horizontal method for colony count (ISO, 2013). Samples were prepared using a 10-fold serial dilution scheme, and each dilution was plated in triplicate. Appropriate positive and negative controls were included to ensure the quality and validity of counting method.

Chemical oxidation analysis

Protein oxidation

Metmyoglobin (MetMb), sulphydryl, and carbonyl -contents were used to assess protein oxidation. Accumulation of MetMb and carbonyl groups, and decrease of sulphydryl group contents were assessed according to Krzywicki (1982), Ariga (1971), and Ellman (1959), respectively.

Lipid oxidation

Primary lipid oxidation compound, which includes conjugated dienes (CD) and peroxide value (PV), were used to evaluate lipid oxidation, whereas malondialdehyde was one of the products of secondary lipid oxidation. PV measurement was performed according to Chaari et al. (2023). CD was measured according to Juntachote et al. (2006), and the method described by Eymard et al. (2005) was used to determine thiobarbituric acid reactive substances (TBARS).

Sensorial assessment

Color, appearance, odor, and the overall acceptability were assessed by a panel of 20 members. To ensure unbiased results, testing occurred in individual controlled booths under standard lighting, with samples presented at room temperature in blinded and randomized order (Stone and Sidel, 1993). A 9-point Hedonic scale (1 being very bad, and 9 being very good) was used to determine sensory attributes on different days (0, 3, 7, 10, and 14) of storage. The sample was deemed unacceptable if its score was <5 (Fourati et al., 2020).

Color parameter values

A spectrophotocolorimeter, MiniScan XE™ (Hunter Associates Laboratory Inc., Reston, VA, US), equipped with a 22-mm aperture and a 10° observer, and calibrated with a white tile, was used. The results were calculated based on a 10° standard observer and D65 illuminant. Brightness level, ranging from 0 (black) to 100 (white) was represented by L* (lightness) component. The green–red axis showed a* (redness) component, where positive values signified redder hues and negative values represented greener shades. The blue–yellow axis depicted b* (yellowness) component, with positive values indicating yellower shades and negative values indicating bluer tones.

Statistical analyses

All analyses were performed periodically on 0, 3, 7, 10, and 14 days. Three separate replicates were carried on each day. For every measured variable, one-way ANOVA was used and Tukey’s post hoc test was applied to statistically assess mean value differences using triplicate data processed with SPSS version 27. Chemometric analyses were used to classify meat samples throughout cold storage using a combination of chemical oxidation, microbial, colorimetric, and sensory data. The XLSTAT software (v.2025.27.1.2; Addinsoft, New York, NY, US) was also used to conduct principal component -analysis (PCA), the agglomerative hierarchical cluster -analysis (HCA), and heatmap visualization. Clusters were generated using Ward’s linkage method with a squared Euclidean distance matrix, producing a dendrogram. PCA was conducted based on Pearson’s correlation coefficient, and the results were displayed on a correlation biplot.

Results and discussion

Phytochemical content and biological activities of SCGE

Total phenolic content and TFC in SCGE were 48.450 mg GAE/g and 0.911 mg QE/g, respectively. The achieved TPC value was in good agreement with the SCG data that were recorded previously (Beaudor et al., 2023), with a TPC of 48.45 mg GAE/g. Additionally, the findings of this study surpassed those of Panusa et al. (2013), who reported a TPC of 17.43 mg GAE/g in aqueous SCGE. Maiyah et al. (2025) reported a TPC of 31.31 mg GAE/g extract with variations because of time and temperature of extraction.

Regarding TFC concentration, the data recorded in this study were higher than 0.35 mg QE/g reported by Tan et al. (2023), but still below the data reported by Panusa et al. (2013) and Maiyah et al. (2025), who stated TFC values of 3.31 mg QE/g and 7.4 mg QE/g in aqueous SCGE, respectively.

The DPPH scavenging assay for SCGE showed an antioxidant activity of 0.675 mg/mL. Our study’s findings exceeded the results reported Andrade et al. (2012), who found that SCGE obtained by supercritical fluid extraction had a DPPH value of 2.36 mg/mL.

Thus, variations in the concentrations of phytochemical compounds and antioxidant activity could be attributed to the variety of coffee beans, time, temperature of extraction, and extraction process (Díaz-Hernández et al., 2022). In addition, roasting and coffee preparation techniques have a significant impact on antioxidant activity (Esquivel and Jiménez, 2012). Numerous investigations have established a bond between SCG’s antioxidant activity and its concentration of flavonoids, total phenolics, and phenolic acids, which are recognized for their several biofunctional qualities and antioxidant capacity (Rodrigues et al., 2023). Coffee extracts are shown to have antibacterial properties against pathogens such as L. monocytogenes and E. coli (Torres-Valenzuela et al., 2019; Zouari Ayadi et al., 2025).

Results demonstrate that the aqueous extract displayed MICs of 0.312 mg/mL and 0.625 mg/mL against E. coli ATCC 8739 and L. monocytogenes ATCC 19117, respectively. The findings of this investigation showed better antibacterial activity than those of Sousa et al. (2015), who used an aqueous extract to report an MIC value of 1 mg/mL against E. coli. However, Monente et al. (2015) reported that the aqueous extracts of Coffea arabica and Coffea robusta showed a minor antimicrobial effect on L. monocytogenes, as noted by its high MIC of 20 mg/mL. Additionally, remarkable antibacterial properties of SCG against both Gram-positive and Gram-negative bacteria were revealed by Torres-Valenzuela et al. (2019). This antibacterial effect has been linked to the presence of phenolic acids and their concentration in SCG, including derivatives of caffeic acid and chlorogenic acid (Getachew et al., 2018). Our results thus supported the promising, intriguing, and affordable potential of SCG producing extracts rich in phenolic compounds for use in food and pharmaceutical preparations.

LC-MS/MS analysis

Polyphenol compounds from SCG were extracted by LC-MS/MS. The chemical characterization of all identified polyphenols was accomplished based on peak elution order and retention time. Figure 1 displays the LC/MS profile of an aqueous SCGE. The tentatively identified compounds were represented by prominent peaks, which are sequentially numbered from 1 to 12 in Table 1. A manual profiling of phytochemicals was performed by comparing precursor mass, fragment mass spectra, and molecular weight to data found in PubChem and scientific sources. Two peaks (4 and 5) were described as unknown because they were not identified completely. A total of 10 discovered phenolic compounds comprise the following: five derivatives of chlorogenic acid, named: 3-caffeoylquinic acid dimer, 3-protocatechuoylaldehyde-feruloylquinic acid, 2-acetaldehyde-3-caffeoylquinic acid, 3-caffeoylquinic acid-COO-Na, and dimethyl-caffeoylquinic acid; two derivatives of phenolic acids, named: coumaroyl tryptophan and caffeoyl-N-phenylalanine; two derivatives of diterpenoid: carboxyatractyligenin-Hexoside and 2-O-glucoside-(3-O-glucoside-2-O-isovaleryl)-atractyligenin; and finally, one derivative of flavonoid: quercetin glucoside.

Figure 1. Analytical profile of spent coffee grounds extract (SCGE) by UPLC-MS/MS.

Table 1. Compounds identified in SCGE by UPLC-MS/MS.

Detected peak Analytes [M-H]- (m/z) MS/MS Mass error (ppm) Retention time (min) Chemical formula References
1 Carboxyatractyligenin-Hexoside 609.290 565.023 6.32 0.465 C31H45O12 El-Hawary et al. (2022)
2 3-Caffeoylquinic acid dimer 707.171 353.095, 191.050, 179.034 -9.21 4.297 C25H24O12 Nemzer et al. (2021)
3 3-Protocatechualaldehyde-feruloyquinic acid 487.128 173.045, 137.143 5.69 5.566 C24H26O11 Nemzer et al. (2021)
4 Unknown 723.508 348.781, 285.025, 193.241 _ 7.677 _ _
5 Unknown 836.593 732.025, 654.142, 603.025 _ 8.168 _ _
6 2-Acetaldehyde-3-caffeoylquinic acid 397.187 205.215, 191.050, 173.045, 161.042 5.41 8.672 C18H20O9 Nemzer et al. (2021)
7 2-O-glucoside-(3-O-glucoside-2-O-isovaleryl)-atractyligenin 727.359 643.025, 625.014, 463.152 3.47 9.192 C32H38O19 Nemzer et al. (2021)
8 Coumaroyl tryptophan 349.122 349.025, 305.132, 186.102, 119.130 10.61 9.508 C16H14O9 Nemzer et al. (2021)
9 Quercetin glucoside 463.229 301.035, 300.027, 151.004 2.45 11.749 C21H20O12 Nemzer et al. (2021)
10 3-Caffeoylquinic acid-COO-Na 421.069 375.042, 201.061, 191.050 4.25 12.870 C16H17O9Na Nemzer et al. (2021)
11 Caffeoyl-N-phenylalanine 327.162 190.102, 147.012, 103.053 -3.14 13.740 C18H17NO5 Zouari Ayadi et al. (2025)
12 Dimethyl-caffeoylquinic acid 381.119 173.045, 161.042 4.53 17.529 C26H26O12 Nemzer et al. (2021)

Chlorogenic acids (CGAs), a group of powerful antioxidant polyphenols, are created when specific trans--cinnamic acids, especially caffeic acid, ferulic acid, and coumaric acid, are esterified with quinic acid. Coffee is remarkably rich in chlorogenic acids. Zouari Ayadi et al. (2025) previously identified 15 compounds, containing 10 derivatives of chlorogenic acid in SCGE with a blend extraction solvent comprising acetonitrile, ethanol, and water.

Chlorogenic acids and derivatives

The present study reports large numbers of chlorogenic acid derivatives in aqueous SCGE (Table 1). As anticipated, the abundant group of compounds is caffeoylquinic acid (CQA), and its derivatives in Figure 1 are labelled as peak numbers 2 (3-caffeoylquinic acid dimer), 6 (2-acetaldehyde-3-caffeoylquinic acid), 10 (3-caffeoylquinic acid-COO-Na), and 12 -(dimethyl-caffeoylquinic acid). Furthermore, as the extracts’ temperature, pH, and storage conditions change, further isomerization and/or epimerization processes occur, leading to the formation of more chlorogenic acid derivatives (Xie et al., 2011).

The CQA derivatives were identified in four isoforms based on previous studies and spectrum of mass spectrometry (MS2). Peak 2 was identified as CQA dimer at mass-to-charge ratio (m/z) 707.171 and retention time (Rt) of 4.297 min. Fragment peaks shown in MS2 spectrum matched to caffeic acid (CA: m/z 179.034), quinic acid (QA: m/z 191.050), and caffeoylquinic acid (CQA: m/z 353.095).

Peak 6 eluted at 8.672 min, and the parent ion at m/z of 397.187 was assigned as acetaldehyde-CQA. Peak 10 was tentatively labelled as CQA-COO-Na at m/z 421.069 with MS2 spectra of 375.042, 201.061, and 191.050. Chromatographic peak 12 exhibited a quasi-molecular ion at m/z \ 381.119 [M-H]-. The MS2 fragment ions at m/z \ 173.045 and 161.042 were characteristic of caffeoylquinic acid derivatives, leading to the assignment of peak 12 as dimethyl-caffeoylquinic acid -(dimethyl-CQA). Nearly all these derivatives have at least one quinic acid -fragment (m/z 173.045 loss of H2O] and 191.050) and one caffeic acid-specific MS2 fragment (161.042 [loss of H2O] and 179.034). Chromatographic peak 3 (Rt: 5.566 min) with a parent ion at m/z 487.128 matched 3-protocatechualdehyde-feruloyquinic acid. The MS2 spectrum indicated that fragment peaks matched protocatechualdehyde (m/z 137.0231) and quinic acid (QA-H2O, m/z 173.045). Derivatives of benzoic acid were widely recognized for their antibacterial, antioxidant, and anticancer properties (Xie et al., 2015).

Flavonoids

In these findings, one flavonoid was detected at 11.749 min, with a noticed [M-H]- ion at 463.229. Peak 9 was identified as quercetin glucoside based on the literature (Nemzer et al., 2021; Zouari Ayadi et al., 2025) and MS2 spectra (m/z 300.027, 301.035, and 151.004). Quercetin derivatives exhibited increased hydrophilicity upon glycosylation of at least one hydroxyl group. Thus, quercetin is a powerful antioxidant polyphenol and a flavanol with proven health benefits (Materska, 2008).

Phenolic acids and derivatives

Using mass spectrometry analysis, peak 8 was identified as coumaroyl tryptophan. This was confirmed by a quasimolecular precursor ion at m/z 349.122, a mass consistent with the conjugation of coumaric acid and its tryptophan conjugates. A single MS2 fragment ion was produced by coumaric acid (m/z 163.0389) at m/z 119.130, indicating the loss of CO2 and the generation of additional MS2 fragments at m/z 186.102, 305.132, and 349.025 of its tryptophan conjugates (Nemzer et al., 2021). Furthermore, peak 11 with m/z 327.162 and MS2 spectra at m/z 190.102, 147.012, and 103.053 was attributed to caffeoyl-N-phenylalanine. This peak comprised caffeic acid bound to phenylalanine (Zouari Ayadi et al., 2025).

Atractyligenin derivatives

High amounts of glucopyranosyl-carboxyatractyligenin were found in both Arabica and Robusta raw coffee extracts, with Arabica showing the highest concentration (Martins et al., 2025). Most commercial coffee products contain less of this molecule because it degrades during coffee roasting (Lang et al., 2013). Two atractyligenin derivatives found in the current study—carboxylated and non--carboxylated—were never documented in SCG (Table 1). A chromatographic peak 1 containing a precursor ion at m/z 609.290 was recognized as carboxyatractyligenin-hexoside based on prior research (Martins et al., 2025; Nemzer et al., 2021) and MS2 spectra. Peak 7 that eluted at 9.192 min, matched to 2-O-glucoside-(3-O-glucoside-2-O-isovaleryl)-atractyligenin with a precursor ion at m/z 727.359 (Nemzer et al., 2021). This compound, and other atractyligenin glucosides, is the result of the thermal degradation of carboxyatractyligenin derivatives during roasting.

Application of SCGE on minced beef meat preservation

Microbial analysis

Changes in the microbial composition of raw beef meat during refrigeration are shown in Table 2.

Table 2. Impact of SCGE on APC, PTC, and Enterobacteriaceae levels of raw minced beef at 4°C.

Storage days 0 3 7 10 14
APC
Control 2.45 ± 0.04A,a 4.76 ± 0.17C,b 5.91 ± 0.06B,c 7.55 ± 0.11C,d 8.63 ± 0.19B,e
BHT 2.44 ± 0.03A,a 4.67 ± 0.36B,C,b 5.39 ± 0.29A,B,c 5.85 ± 0.05A,B,c 6.19 ± 0.29A,c
SCGE1 2.46 ± 0.06A,a 4.71 ± 0.16B,C,b 5.42 ± 0.20A,B,c 6.46 ± 0.06B,d 6.93 ± 0.09A,e
SCGE2 2.45 ± 0.05A,a 4.38 ± 0.08B,b 5.06 ± 0.10A,B,b 6.03 ± 0.12A,B,c 6.20 ± 0.17A,c
SCGE3 2.45 ± 0.03A,a 4.02 ± 0.06A,b 4.80 ± 0.14A,c 5.6 ± 0.07A,d 6.06 ± 0.03A,d
PTC count
Control 2.19 ± 0.08A,a 4.57 ± 0.08E,b 5.83 ± 0.12D,c 6.79 ± 0.21D,d 6.94 ± 0.19C,d
BHT 2.18 ± 0.07A,a 4.11 ± 0.18D,b 5.17 ± 0.19C,c 5.98 ± 0.05C,d 6.15 ± 0.21B,d
SCGE1 2.21 ± 0.09A,a 3.91 ± 0.06C,b 5.26 ± 0.24C,c 6.04 ± 0.26C,d 6.24 ± 0.03B,e
SCGE2 2.20 ± 0.06A,a 3.7 ± 0.1B,b 4.4 ± 0.2B,c 5.1 ± 0.1B,d 6.14 ± 0.1B,e
SCGE3 2.17 ± 0.08A,a 3.5 ± 0.14A,b 3.95 ± 0.26A,c 4.7 ± 0.11A,d 4.9 ± 0.19A,e
Enterobacteriaceae count
Control <1 2.54 ± 0.08D,b 2.92 ±0.12D,c 3.42 ±0.13C,d 3.91 ± 0.11E,e
BHT <1 1.76 ± 0.14B,C,b 1.95 ± 0.13B,c 2.43 ± 0.15B,d 2.65 ± 0.15D,e
SCGE1 <1 1.94 ± 0.15C,b 2.29 ± 0.09C,c 2.42 ± 0.19B,c 2.46 ± 0.08C,c
SCGE2 <1 1.68 ± 0.13B,b 1.74 ± 0.11A,B,b,c 1.81 ± 0.17A,b,c 1.91 ± 0.15B,c
SCGE3 <1 1.45 ± 0.12A,b 1.54 ± 0.12A,b,c 1.64 ± 0.02A,b,c 1.72 ± 0.14A,c

Notes: SD: Standard deviation of three replicates.

On the same storage day, values with different superscript upper-case alphabets (A–E) are significantly different; on the same concentration, values with a different superscript lower-case alphabets (a–e) are significantly different.

BHT: butylated hydroxytoluene; SCGE: spent coffee grounds extract; APC: aerobic plate counts; PTC: psychrotrophic total count.

During storage, we found that total viable load significantly (P < 0.05) increased, primarily in control and BHT samples. As reported by Afnor Editions (2010), the highest APC was 6.7 log CFU/g of meat. Over the course of storage, the APC level of untreated samples increased (P < 0.05) to 8.63 log CFU/g. The addition of SCGE significantly (P < 0.05) decreased APC (Table 2). Conversely, the APC of BHT and SCGE treatments increased during storage but did not exceed the counts of the untreated samples.

Treated samples at 0.25% and 0.5% reached only 6.20 log CFU/g and 6.06 log CFU/g, respectively, on the 14th day of storage, maintaining the APC load under the recommended limit (Afnor Editions, 2010). Thus, the results demonstrated that antimicrobial effects increased with increasing SCGE concentration. Similarly, Monente et al. (2015) proposed that SCGE could inhibit APC as well as other food-borne pathogens. Comparatively, Chaari et al. (2024) mentioned that raw minced beef meat treated with Opuntia stricta peel extract depicted an APC of 4.05 log CFU/g after 7 days of storage at 4°C.

The main reason of meat deterioration throughout refrigerated storage is PTC (Hussain et al., 2019). As shown in Table 2, PTC decreased significantly (P < 0.05) on addition of SCGE. On 10th day, PTC in untreated samples increased to 6.79 log CFU/g, exceeding the recommended threshold for fresh meat (6.7 log CFU/g) (ISO, 2004). However, at the end of storage, the PTC of SCGE1, SCGE2, and SCGE3 samples reached only 6.24, 6.14, and 4.9 log CFU/g, respectively. As a result, these extracts demonstrated a prolonged meat shelf life of 14 days at 4°C.

During storage, SCGE1, SCGE2, and SCGE3 samples had significantly (P < 0.05) lower Enterobacteriaceae counts (EC), compared to those of control and BHT ones (Table 2). On the 14th day, SCGE2 and SCGE3 samples showed a lower EC of 1.91 log CFU/g and 1.72 log CFU/g, respectively. Consequently, these treated samples maintained Enterobacteriaceae levels below the recommended limit (2 log CFU/g) (Afnor Editions, 2010). Our results aligned with the study conducted by Angeloni et al. (2021), which found that aqueous and ethanolic spent coffee extracts were effective against microbial growth. Therefore, incorporating SCGE improved the microbiological quality of meat and stability over time. This was due to its high concentration of chlorogenic acids and derivatives, as demonstrated previously (Atondo-Echeagaray et al., 2025). Accordingly, some research demonstrated that the phenolic compounds present in SCGE, particularly phenolic acids and flavonoids, disrupted the membranes of treated meat samples, thereby inhibiting bacterial growth (Inácio et al., 2023; Zamuz et al., 2021). Consumers demand natural food preservation techniques; hence, SCGE could serve as a helpful mode to improve shelf life and guarantee food safety of beef.

Protein oxidation

Initially, the MetMb percentage for all samples was comparable (P > 0.05), then increased significantly for 14 days, attaining 38.59%, 31.63%, 28.81%, and 24.54% for meat samples treated with BHT, SCGE1, SCGE2, and SCGE3, respectively (Table 3). Red color of beef meat remained up to the 14th day of storage, as shown by <40% MetMb, and MetMb oxidation was effectively inhibited (P < 0.05) (Sarıçoban and Yilmaz, 2014). The oxidation-induced conversion of oxymyoglobin (OxyMb) to MetMb was led to reduction in redness, while the antioxidant qualities of SCGE postponed this process to prolong the redness of meat (Lahmar et al., 2018).

Table 3. Impact of SCGE on protein and lipid oxidation parameters of raw minced beef at 4°C.

Storage days 0 3 7 10 14
MetMb
Control 13.71 ± 0.20A,a 20.23 ± 0.30B,b 27.49 ± 0.25D,c 41.96 ± 0.28D,d 45.76 ± 0.19E,e
BHT 13.71 ± 0.18A,a 15.85 ± 0.20A,b 23.00 ± 0.20C,c 28.73 ± 0.30C,d 38.59 ± 0.25D,e
SCGE1 13.71 ± 0.12A,a 15.21 ± 0.15A,a 21.44 ± 0.04C,b 25.04 ± 0.04B,c 31.63 ± 0.17C,d
SCGE2 13.71 ± 0.12A,a 14.7 ± 0.21A,b 20.27 ± 0.51A,b 23.66 ± 0.24A,B,c 28.81 ± 0.13B,d
SCGE3 13.71 ± 0.12A,a 14.2 ± 0.14A,a 18.74 ± 0.60B,b 22.51 ± 0.20A,c 24.54 ± 0.50A,d
Carbonyls
Control 0.40 ± 0.07A,a 0.6 ± 0.03A,a 0.85 ± 0.03B,a,b 1.20 ± 0.02B,b,c 1.40 ± 0.02B,c
BHT 0.41 ± 0.03A,a 0.53 ± 0.03A,a 0.60 ± 0.05A,a 0.72 ± 0.03A,a 0.80 ± 0.03A,a
SCGE1 0.40 ± 0.03A,a 0.48 ± 0.025A,a 0.58 ± 0.01A,a 0.65 ± 0.017A,a 0.81 ± 0.059A,a
SCGE2 0.41 ± 0.03A,a 0.45 ± 0.001A,a 0.54 ± 0.01A,a 0.60 ± 0.02A,a 0.71 ± 0.059A,a
SCGE3 0.40 ± 0.02A,a 0.42 ± 0.02A,a 0.47 ± 0.03A,a 0.57 ± 0.025A,a 0.65 ± 0.018A,a
Sulphydryl
Control 48.22 ± 1.273A,a 33.52 ± 1.182A,a 28.90 ± 0.99A,b 27.78 ± 1.46A,c 26.79 ± 0.63A,a
BHT 48.23 ± 1.273A,a 36.78 ± 1.414B,b 34.87 ±0.778B,c 33.5 ± 1.182B,b 30.21 ± 0.99B,b
SCGE1 48.24 ± 1.273A,a 38.75 ± 1.026C,b 35.91 ± 1.04BC,c 34.98 ± 1.35B,C,c 31.23 ± 1.53B,d
SCGE2 48.21 ± 1.271A,a 39.07 ± 1.273C,c 37.7 ± 1.20C,D,d 35.65 ± 1.48C,D,d 33.32 ± 0.56C,d
SCGE3 48.22 ± 1.272A,a 45.70 ± 1.485D,c 39.25 ± 1.60D,c,d 37.3 ± 0.707D,d 36.98 ± 1.47D,e
CD
Control 0.21 ± 0.003A,a 0.44 ± 0.017A,c 0.64 ± 0.03B,d 0.52 ± 0.029A,d 0.48 ± 0.02A,d
BHT 0.22 ± 0.08A,a 0.35 ± 0.035A,b 0.55 ± 0.035A,B,c 0.41 ± 0.057A,c 0.39 ± 0.007A,c
SCGE1 0.22 ± 0.08A,a 0.31 ± 0.05A,b 0.52 ± 0.034A,B,c 0.42 ± 0.045A,c 0.35 ± 0.023A,b
SCGE2 0.23 ± 0.08A,a 0.28 ± 0.026A,a 0.43 ± 0.02A,b 0.38 ± 0.05A,a,b 0.34 ± 0.06A,b
SCGE3 0.22 ± 0.05A,a 0.25 ± 0.02A,a 0.39 ± 0.03A,a 0.34 ± 0.01A,a 0.31 ± 0.02A,a
TBARS
Control 0.60 ± 0.007A,a 1.99 ± 0.091A,c 2.87 ± 0.1A,d 3.41 ± 0.10B,d 3.81 ± 0.12A,d
BHT 0.60 ± 0.007A,a 1.60 ± 0.002A,b 1.90 ± 0.07A,c,d 2.10 ± 0.08A,B,c 2.50 ± 0.08A,d
SCGE1 0.60 ± 0.007A,a 1.50 ± 0.002A,b 1.70 ± 0.06A,c 1.80 ± 0.06A,B,b 2.30 ± 0.05A,b,c
SCGE2 0.60 ± 0.006A,a 1.20 ± 0.002A,a 1.50 ± 0.04A,b 1.70 ± 0.05A,B,b 2.10 ± 0.06A,b
SCGE3 0.60 ± 0.005A,a 1.06 ± 0.001A,a 1.20 ± 0.001A,b 1.40 ± 0.02A,a 1.80 ± 0.04A,a
PV
Control 2.48 ± 0.09A,a 4.50 ± 0.18B,d 5.01 ± 0.07C,c 5.50 ± 0.15B,d 5.80 ± 0.07B,c
BHT 2.45 ± 0.12A,a 3.80 ± 0.07A,B,c 4.10 ± 0.15B,C,c 4.30 ± 0.07A,B,c 4.50 ± 0.14A,B,b
SCGE1 2.46 ± 0.08A,a 3.00 ± 0.14A,b 3.40 ± 0.07A,B,b 3.70 ± 0.14A,c 4.10 ± 0.07A,b
SCGE2 2.49 ± 0.12A,a 2.80 ± 0.21A,a 3.20 ± 0.14A,B,b 3.50 ± 0.21A,b 3.70 ± 0.14A,a
SCGE3 2.47 ± 0.13A,a 2.50 ± 0.07A,a 2.70 ± 0.07A,a 3.00 ± 0.14A,a 3.50 ± 0.04A,a

Notes: SD: Standard deviation of three replicates;

On the same storage day, values with different superscript upper-case alphabets (A–E) are significantly different; on the same concentration, values with a different superscript lower-case alphabets (a–e) are significantly different.

MetMb: metmyoglobin; CD: conjugated dienes; PV: peroxide value; TBARS: thiobarbituric acid reactive substances; BHT: butylated hydroxytoluene; SCGE: spent coffee grounds extract.

Table 3 explains the effect of SCGE on the protein carbonylation level of beef meat during refrigerated storage. Throughout all storage periods, control samples displayed a higher level of protein carbonylation; while BHT, SCGE1, SCGE2, and SCGE3 samples significantly (P < 0.05) reduced the total amount of carbonyl produced. The perceived amount of protein carbonylation decreased with increasing SCGE concentration. Natural additives demonstrated efficacy in preserving protein integrity in processed meat samples. For instance, Manzoor et al. (2021) reported that bioactive compounds from mango peel extracts significantly diminished carbonyl levels in chicken sausages (P < 0.05). Similarly, aqueous extract of Ephedra alata effectively limited the accumulation of protein carbonyls in raw ground meat (Elhadef et al. , 2020). By functioning as metal chelators to inactivate non-heme iron and as antiradical agents, phenolics, viz. gallic acid, catechin, and cyanidin-3-glucoside can end the production of protein carbonyls in meat (Estévez and Heinonen, 2010).

All meat samples exhibited that sulphydryl group significantly decreased during storage, indicating protein oxidation (Table 3). This decrease could be attributed to formation of disulfide bonds (Lund et al., 2011). Our starting point for sulphydryl content was roughly 48 nmol/mg of protein. After 14 days, the control group showed the most dramatic decrease, settling at 26.79 nmol/mg protein. However, SCGE3 (0.5%) really surpassed, experiencing only a minimal drop and maintaining a final concentration of 36.98 nmol/mg protein. Our findings were consistent with those of Hashimoto et al. (2019), who demonstrated that tested coffee samples were potent antioxidants and did not exacerbate thiol oxidation in ground pork, suggesting that sensory attributes associated with protein oxidation were preserved. Likewise, Lund et al. (2007) found that thiol levels augmented on day 8 before falling once more by day 14, but they did not detect a general decline in free thiol groups. In fact, the antioxidant properties of SCGE contributed to delaying protein oxidation, thus extending the red color of meats. The exceptional efficacy of SCGE could be ascribed to its high phenolic content, exhibiting metal-chelating activity and thereby providing superior protection against protein oxidation.

Lipid oxidation

Initially, no significant (P > 0.05) difference in CD was noticed (Table 3). Then, a marked (P < 0.05) extend was observed for 7 days in all samples and subsequently reduced until the end of storage. The reason for this observation was that CD formed more quickly than breaking down of hydroperoxides. The emergence of aldehydes and ketones as secondary lipid oxidation products may indicate a decline in CDs (Domínguez et al., 2019). This demonstrated that by blocking the formation of conjugated dienes in meat products, SCGE can have a greater capacity to lower lipid oxidation.

Throughout storage, PV augmented (P < 0.05) in all samples (Table 3). Therefore, the control sample showed the highest peroxide value. Furthermore, the meat sample treated with SCGE3 had the lowest peroxide value (3.50 meq O2/kg) on day 14. This was followed by SCGE2 (PV = 3.7 meq O2/kg) and SCGE1 (PV = 4.1 meq O2/kg). These findings matched those stated by Chaari et al. (2023), who applied ethanolic beetroot peel extract to beef meat. The detection limit, which was 25 meq O2/kg lipid, as reported by Sallam et al. (2004), was not exceeded by the average peroxide value of any meat sample on any storage day.

All treated meat samples showed a significant (P < 0.05) increase in TBARS values throughout storage (Table 3). In SCGE samples, TBARS was significantly (P < 0.05) lower than the control ones. After 7 days at 4°C, TBARS value of the control sample (2.87 mg MDA/kg) quickly surpassed the 2 mg MDA/kg limit defined by Campo et al. (2006). On the other hand, increasing SCGE levels resulted in marked decline in TBARS values. This inhibitory effect was attributed to the radical-scavenging activity of the highly concentrated chlorogenic acids identified in SCGE, which interrupted the lipid peroxidation chain reaction.

In agreement with our study, Vargas-Sánchez et al. (2024) showed that SCGE at 500 and 1,000 ppm could reduce TBRAS of raw pork meat. Similarly, Vargas-Sánchez et al. (2023) reported that raw pork meat product treated with 500 ppm of coffee silverskin aqueous extract decreased MDA formation. Lin et al. (2015) also noted the effect of roasted ground coffee on unsalted and salted raw meats’ longer shelf life, operating in the same way or even better than rosemary oleoresin. This was assessed by looking at the coffee-treated meat’s lower levels of malonaldehyde in comparison to the control group. Additionally, in line with the results of this study, adding 0.05% and 0.1% of aqueous SCGE reduced lipid oxidation in raw pork patties stored at 4°C for 9 days (Murillo Hernández et al., 2024). Moreover, a lipid oxidation drop of ground beef added with 0.1% of ground roasted coffee through storage at 4°C for 6 days is demonstrated (Lin et al., 2015). Lipids are better protected by oxidation than proteins by certain phenolic compounds, such as cyanidin-3-glucoside, which is also present in coffee husks (Viljanen et al., 2004). The nature and conformation of meat proteins, the concentration of antioxidants, and the chemical composition and structure of phenolic compounds are the factors that influence the protective effect (Estévez et al., 2008). It is crucial to note that different coffee varieties may have varying amounts of antioxidant compounds. This study’s findings indicate that adding SCGE, which is rich in phenolic compounds, helps to protect meat from lipid oxidation. As noted previously (Calderón-Oliver and López-Hernández, 2022), these compounds can stop formation and spread of free radicals by binding to metal ions such as iron and copper.

We acknowledge that high-fat and high-protein environment may influence the final concentration of free caffeoylquinic acids. However, the observed efficacy (inhibition of MetMb formation and lipid oxidation) is consistent with recent literature, which confirms the capacity of coffee polyphenol derivatives to maintain antioxidant activity when interacting with meat components. Specifically, studies utilizing similar coffee-derived ingredients, such as those detailed by Dilek (2025) and Doğaner et al. (2025), who demonstrated, via molecular docking, that these compounds interact mechanistically with and inhibit pro-oxidant enzymes. This established mechanism justifies sustained protection against oxidative damage recorded in our results.

Meat color analysis

According to the obtained results (Table 4), SCGE concentration and storage time had a significant effect on color values (P < 0.05). Initially, these parameters were not affected by antioxidant incorporation (P > 0.05). However, L*, a*, and b* values dropped throughout storage. Lipid oxidation causes decline in color indices. According to Estévez et al. (2020), this produces -hydroperoxides and other reactive oxygen species that oxidize Fe2+ in OxyMb to Fe3+ in MetMb. SCGE could be the cause of decreased lightness (L*) in raw beef. It was observed that L* decreased with increased percentage of SCGE during storage and was lower than the values recorded for control samples. Fetsch et al. (2024) observed a similar pattern when they added roasted coffee extract to fresh pork sausage. They claimed that the extract’s brown color, which was visually darkened, was the reason for lower L* values. Furthermore, Araya-Morice et al. (2023) studied various levels of coffee husks and reported similar observations on packaged fresh pork sausage added with 2% coffee husks. The shifting L* values observed during storage were probably because of alterations in meat’s structure, particularly protein denaturation. This process led to increased light dispersion (Chikwanha et al., 2019).

Table 4. Impact of SCGE on color attributes of raw minced beef at 4°C.

Days of storage
Treatment 0 3 7 10 14
L* values Control 54.14A,B,c 54.01A,c 53.52E,b 52.57C,b 51.03B,a
SCGE1 54.20A,B,b 53.25C,b 52.87B,c 51.17D,b 50.77D,a
SCGE2 53.91A,c 53.61D,c 51.25A,b,c 50.71A,b 45.64C,a
SCGE3 54.52B,e 52.23B,d 50.80D,c 39.81B,b 39.01A,b
BHT 54.65B,b 53.02B,b 52.36C,b 51.09B,a 50.96B,a
a* values Control 11.94A,B,d 7.83A,c 6.11A,b 4.71A,a 4.14A,a
SCGE1 12.03A,B,d 8.34C,c 6.44C,b 5.59B,a 5.64D,b
SCGE2 12.32B,c 8.39C,c 6.69D,b 6.45C,a 5.53C,a
SCGE3 12.41B,c 8.79D,c 6.86E,b 7.51D,c 5.84E,a
BHT 11.96A,B,c 8.02B,c 6.31B,b 5.3B,a 4.81A,a
b* values Control 13.01A,c 12.19A,b 11.33A,b 11.96B,b 10.19A,a
SCGE1 14.24B,c 14.13B,c 12.03C,b 12.18C,b 12.12B,a
SCGE2 14.58B,d 14.2C,c 13.13D,a 13.39D,b 13.81C,b
SCGE3 14.94B,c 14.36C,c 13.21D,a 13.77D,b 13.92C,b
BHT 12.94A,d 12.17A,c 11.42B,b 11.14A,b 10.79A,a

Notes: SD: Standard deviation of three replicates.

On the same storage day, values with different superscript upper-case alphabets (A–E) are significantly different; on the same concentration, values with a different superscript lower-case alphabets (a–e) are significantly different. BHT: butylated hydroxytoluene; SCGE: spent coffee grounds extract.

The inclusion of SCGE significantly (P < 0.05) enhanced the redness of meat beef, compared to other samples, as revealed by the color of the extract. Similarly, SCGE1, SCGE2, and SCGE3 enhanced the meat’s red color with respective a* values of 5.64, 5.53, and 5.84 even after 14 days of storage. Thus, high concentrations of SCGE lead to an augmentation of redness. Comparable results were reported by Jung et al. (2025) when they explored the physicochemical properties of low-moisture meat analogs complemented with 5% and 10% SCG. These results showed that the existing SCG content was successful in providing appropriate red color to meat. Similar results were reported by Prommachart et al. (2020), who showed variation in a* values in both cooked beef treated with pine bark extract and ground beef patties. This was also demonstrated in the study done by Elhadef et al. (2020), who found that adding Ephedra alata extract to minced beef meat produced the same trend in a* value. Numerous authors have linked oxidative reactions to the loss of redness in raw meats (Elhadef et al., 2020; Estévez et al., 2020). Additionally, research has emphasized the importance of secondary lipid oxidation products, such as unsaturated aldehydes, in the synthesis of MetMb in fresh beef (Nair et al., 2017; Papuc et al., 2017).

Regarding b* values, the untreated meat samples’ value dropped significantly reaching a minimum of 10.19 on day 14 of storage. In contrast, the treated meat samples showed a slight decrease in b*. Furthermore, meat samples treated with 0.125%, 0.25%, and 0.5% SCGE had greater b* values than those treated with 0.01% BHT. Therefore, over time, the addition of SCGE resulted in a slight increase in meat samples’ b* values, compared to untreated samples. This was also demonstrated in the findings of Murillo Hernández et al. (2024), who described that addition of aqueous SCGE to uncooked pork patties showed a similar trend in b* values. Similarly, rising b* values may indicate that meat is becoming more yellow-brown (Fernandes et al., 2018). It is important to remember that oxidative activities, producing Schiff pigments from lipid and protein complexes, may be the cause of yellowness (b*) (Chikwanha et al., 2018).

Sensory evaluation

Meat and meat products must comply with their sensory profile when natural antioxidants are added, particularly when wasted coffee grounds are used. Color, odor, appearance, and the overall acceptability scores of beef meat incorporating SCGE were superior to those of untreated and BHT samples (Figure 2). Based on panellists’ observations, SCGE altered only the color of raw minced beef when used in higher concentrations. These results were consistent with those achieved by Bergamaschi et al. (2023), who found that the overall acceptability of pork burgers incorporated with green coffee bean extract decreased when the meat’s red color intensity was lower and its brown color score was higher. Furthermore, this observation was in accordance with Soriano et al. (2018), -reporting that only higher concentrations of plant extracts partially altered meat appearance in burger patties. All sensory attributes decreased (P < 0.05) significantly during storage, as illustrated in Figures 2(A–C). Microbial growth and increased oxidation during storage could be the cause of decline in meat quality. However, these findings imply that adding SCGE to meat as a preservative can enhance its sensory qualities.

Figure 2. Impact of spent coffee grounds extract (SCGE) on sensory attributes of raw minced beef at 4°C. Notes: On the same storage day, values with different superscript upper-case alphabets (A–E) are significantly different; on the same concentration, values with a different superscript lower-case alphabets (a–e) are significantly different. BHT: butylated hydroxytoluene.

Chemometric analysis

This analysis examined the variations that fresh meat undergoes while being chilled, including microbial growth, lipid/protein oxidation, instrumental color, and sensorial property. Additionally, all collected data were exposed to PCA and HCA.

The PCA technique analyzed differences and similarities in five samples and their impact on microbiological growth, chemical oxidation, colorimetric data, and sensory traits of beef meat at five unique periods. A biplot of PCA loadings for principal components F1 and F2 is exhibited in Figures 3(A and B). F1 explained 77.40% of the dataset’s total variation, while F2 provided an added 10.10% to the study’s variance. According to the loaded plot, the first (F1) and second (F2) principal components in combined form provided maximum data variation (87.50%). F1 was positively impacted by microbial counts, and lipid and protein oxidation indicators (except sulfhydryls). Simultaneously, these variables showed an inverse relationship with both instrumental color measures and sensory evaluation (Figure 3B). This observation supported a direct correlation between myoglobin oxidation and meat color stability, as reported by Wang et al. (2021). Deterioration in meat color is mostly an oxidative process brought on by structural and chemical alterations in myoglobin. Furthermore, our findings on the relationship between sulphydryl levels and meat color aligned with that of Estévez et al. (2020), emphasizing the protective role of sulphydryl compounds against oxidation and their critical functioning in maintaining quality of meat color.

Figure 3. Score plots of PC1 and PC2 based on (A) all samples and (B) microbial, lipid/protein oxidation, colorimetric, and sensory attributes of meat. Note: SCGE: spent coffee grounds extract; BHT: butylated hydroxytoluene.

In the score plot, the untreated control clustered with the highest F1 scores: this group depicted the highest TBARS and microbial counts, maximum loss of redness and minimum sensory scores consistent with uncontrolled lipid oxidation and spoilage. BHT and SCGE treatments formed distinct clusters: SCGE3 (0.5%) clustered closest to the BHT group, SCGE2 (0.25%) occupied an intermediate position, and SCGE1 (0.125%) was placed between SCGE2 and control. This pattern indicated a dose-dependent protective effect of SCGE on both oxidation and microbial parameters, and at the highest concentration, SCGE performed comparable to 0.01% BHT in multivariate space.

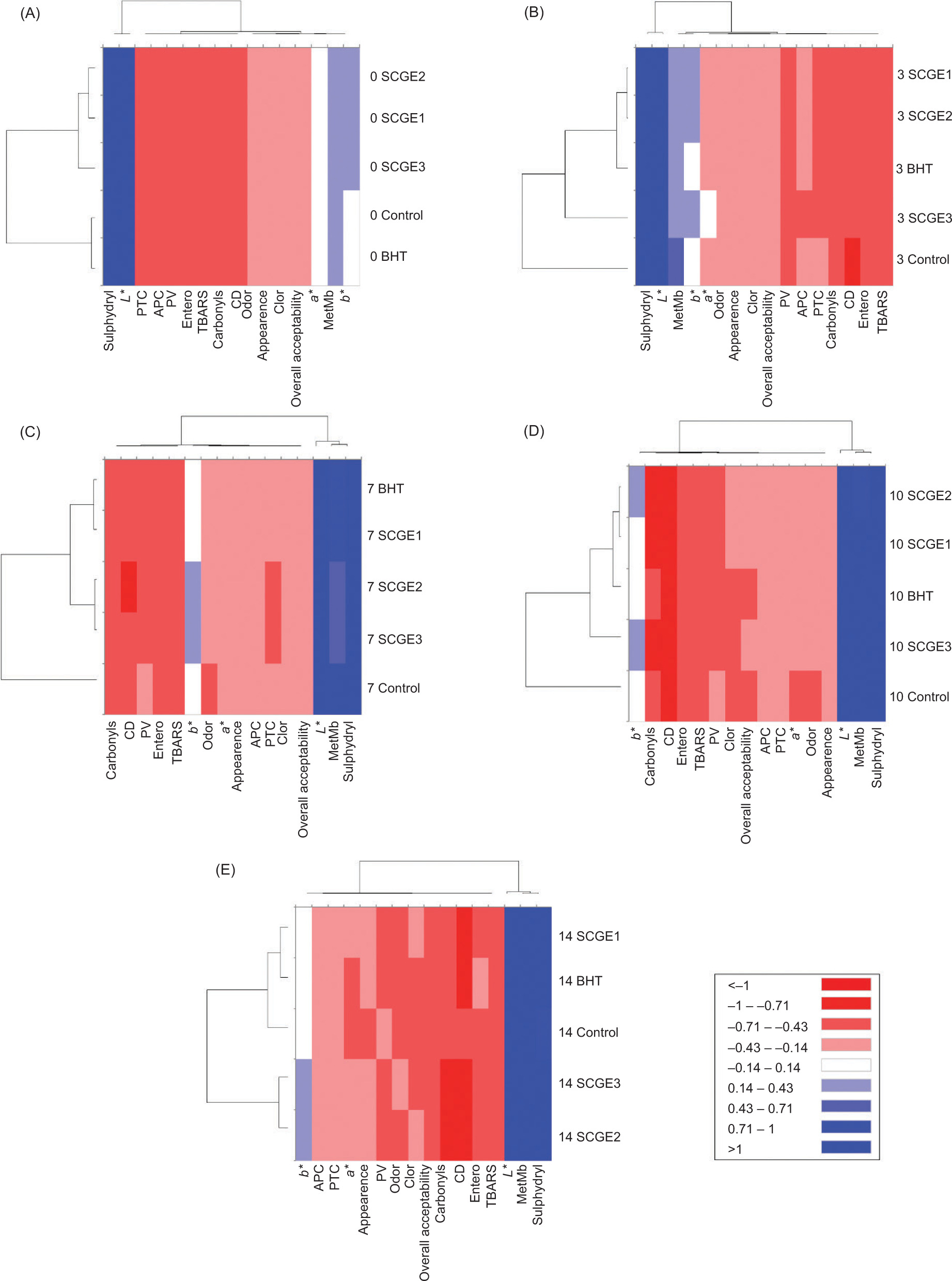
A heatmap is a two-dimensional (2D) tabular data illustration showing a variety of data values using color. This visual illustration makes it easier to understand complex information and summarizes a large dataset. Figures 4(A–E) illustrate positive correlations between various samples and parameters. On day 0, heatmaps are broadly homogeneous across treatments, indicating similar starting values for measured quality variables (baseline lipid-oxidation, color indices, microbial indicators, and sensory proxies).

By day 3, small differences appeared: the tiles matched control (untreated) samples and the lowest SCG dose (SCGE1) shifted toward values associated with deterioration, while SCGE2, SCGE3, and BHT remained closer to the baseline. Differences become more pronounced on day 7 and beyond, with the control showing the strongest deterioration by day 14. Overall, the heatmaps suggested a dose-dependent protective effect of SCGE against changes during storage and showed that SCGE at 0.5% (SCGE3) demonstrated similar trends as that of BHT sample across the 14-day refrigerated storage period.

Figure 4. Hierarchical cluster analysis (HCA) and heatmap of physicochemical, microbial, colorimetric, and sensory traits of control (untreated, butylated hydroxytoluene [BHT]) and spent coffee grounds extract (SCGE1–SCGE3) samples through -storage periods: (A) 0 day; (B) 3 days; (C) 7 days; (D) 10 days; and (E) 14 days.

Figures 4(C–E) illustrate the relationship between -carbonyls, CD, and TBARS levels on days 7, 10, and 14. Sohaib et al. (2017) also confirmed this trend, reporting a strong positive association between CD and TBARS. Their findings highlighted that elevated protein oxidation corresponded with increased TBARS values, suggesting a strong link between chemical oxidation. Protein oxidation is intimately related to oxidative processes in food, including lipid peroxidation and -oxygen-dependent enzymatic reactions (Al-Dalali et al., 2022; Hadidi et al., 2022). Moreover, elevated microbial counts, along with both primary and secondary lipid oxidation and protein oxidation markers, were linked to all sensory traits (Hashemi Gahruie et al., 2017; Wang et al., 2024). These factors were interconnected and collectively influenced the overall meat quality. Chemometric techniques have become well-established tools for assessing meat authenticity and quality, particularly through indicators of oxidative stability and color properties during storage.

Conclusions

In this study, we successfully demonstrated the potential of SCGE as a valuable, sustainable, and functional ingredient for enhancing the quality and extending the shelf life of minced beef meat under refrigerated conditions. Our UPLC-MS/MS analysis confirmed the rich profile of chlorogenic acid derivatives in SCGE, which supported its potent antioxidant capacity. The inclusion of SCGE at a concentration of 0.5% significantly mitigated lipid oxidation and maintained the desirable instrumental color parameters throughout 14-day storage. Furthermore, microbiological stability was maintained, and sensory evaluation confirmed that the addition of SCGE did not negatively impact meat’s acceptability. The chemometric analysis provided a critical integrative step, successfully establishing a robust correlation between antioxidant concentration, oxidative stability, and color changes, thus simplifying a complex relationship between multiple quality indicators. This research decisively showed that SCGE is an effective natural substitute for synthetic antioxidants in processed meat products, offering a viable solution to meet rising consumer demand for clean-label foods while simultaneously valorizing a major industrial by-product. Future work should prioritize isolating and testing specific bioactive compounds in SCGE for targeted use at lower concentrations. To enhance industrial applicability, research must explore encapsulation technologies to protect these compounds and control their release. Finally, we recognize that more comprehensive studies are required to demonstrate industrial robustness, particularly by assessing SCGE’s efficacy in thermally processed and emulsified meat products (e.g., sausages), which are more susceptible to oxidation due to cooking. Furthermore, future work should address SCGE stability under minor temperature fluctuations that are common during distribution.

Data Availability

All data necessary to support the conclusions of this research are contained in the article. Raw data files are available from the corresponding author upon reasonable request.

Acknowledgment

This work was supported by the Tunisian Ministry of Higher Education and Scientific Research.

Author Contributions

Dorra Zouari Ayadi: conceptualization, methodology, and writing—original draft preparation; Moufida Chaari: software, validation, and project administration; Khaoula Elhadef: formal analysis; Cyrine Abid: investigation; Monia Ennouri: resources and data curation; Slim Smaoui: visualization, and writing—review and editing; and Theodoros Varzakas: supervision, fund acquisition, and writing—review and editing. All authors had read and agreed to the published version of the manuscript.

Conflicts of Interest

The authors declared no conflict of interest.

Funding

This study was funded by the Ministry of Higher Education and Scientific Research in Tunisia (Project of Young Researcher, Ref. PEJC2023-D6P15).

REFERENCES

Afnor Editions. 2010. Food safety – guidelines for -implementing microbiological durability tests – chilled perishable and highly perishable foodstuffs. NF V1-003. Available at: https://www.boutique.afnor.org/en-gb/standard/nf-v01003/food--safety-guidelines-for-implementing-microbiological-durability-tests-ch/fa163631/1072 (Accessed: 16 May 2025).

Al-Dalali, S., Li, C., and Xu, B. 2022. Effect of frozen storage on the lipid oxidation, protein oxidation, and flavor profile of-marinated raw beef meat. Food Chemistry 376: 131881. 10.1016/j.foodchem.2021.131881

Andrade, K.S., Gonçalvez, R.T., Maraschin, M., Ribeiro-do-Valle, R.M., Martínez, J., and Ferreira, S.R.S. 2012. Supercritical fluid extraction from spent coffee grounds and coffee husks: antioxidant activity and effect of operational variables on extract composition. Talanta 88: 544–552. 10.1016/j.talanta.2011.11.031

Angeloni, G., Guerrini, L., Masella, P., Bellumori, M., Daluiso, S., Parenti, A., and Innocenti, M. 2019. What kind of coffee do you drink? An investigation on effects of eight different extraction methods. Food Research International 116: 1327–1335. 10.1016/j.foodres.2018.10.022

Angeloni, S., Freschi, M., Marrazzo, P., Hrelia, S., Beghelli, D., Juan-García, A., Juan, C., Caprioli, G., Sagratini, G., and Angeloni, C. 2021. Antioxidant and anti-inflammatory profiles of spent coffee ground extracts for the treatment of-neurodegeneration. Oxidative Medicine and Cellular Longevity 2021: 6620913. 10.1155/2021/6620913

Araya-Morice, A., Araya-Quesada, Y., Cortés, N., Caamaño, J., and Arroyo, L. 2023. Antioxidant potential of coffee husks in fresh pork sausage. Journal of Food Science and Technology 60(9): 2423–2432. 10.1007/s13197-023-05764-6

Ariga, N. 1971. Methods for determination of carbonyl compounds by 2,4-dinitrophenylhydrazine and their application to the assay of aldehyde dehydrogenase. Analytical Biochemistry 43(2): 446–453. 10.1016/0003-2697(71)90274-0

Asrofi, M., Arisandi, H.D., Pradiza, R.R., Junus, S., Mahardika, M., Amanda, P., Ilyas, R.A., Asyraf, M.R.M., and Sapuan, S.M. 2024. Mechanical properties of biocomposite films based polyvinyl alcohol/potato starch filled by coffee ground waste. International Journal of Agriculture and Biosciences 13(3): 525–530. 10.47278/journal.ijab/2024.156

Atondo-Echeagaray, W.A., Torres-Martínez, B. del M., Vargas-Sánchez, R.D., Torrescano-Urrutia, G.R., Huerta-Leidenz, N., and Sánchez-Escalante, A. 2025. Green coffee bean extracts: an alternative to improve the microbial and oxidative stability of ground beef. Resources 14(6): 95. 10.3390/resources14060095

Beaudor, M., Vauchel, P., Pradal, D., Aljawish, A., and Phalip, V. 2023. Comparing the efficiency of extracting antioxidant polyphenols from spent coffee grounds using an innovative ultrasound--assisted extraction equipment versus conventional method. Chemical Engineering and Processing–Process Intensification 188: 109358. 10.1016/j.cep.2023.109358

Bergamaschi, M., Simoncini, N., Spezzano, V.M., Ferri, M., and Tassoni, A. 2023. Antioxidant and sensory properties of raw and cooked pork meat burgers formulated with extract from non-compliant green coffee beans. Foods 12(6): 1264. 10.3390/foods12061264

Bettaieb, I., Idoudi, S., Benabderrahim, M.A., Nagaz, K., Smaoui, S., and Elfalleh, W. 2025. A novel coffee blend: enhancing phenolic profile and antioxidant capacity of date seed coffee with freeze-drying impact. Euro-Mediterranean Journal for Environmental Integration 10(6): 1–13. 10.1007/s41207-025-00946-4

Brand-Williams, W., Cuvelier, M.E., and Berset, C. 1995. Use of a free radical method to evaluate antioxidant activity. Food Science and Technology (LWT) 28(1): Article 1. 10.1016/S0023-6438(95)80008-5

Calderón-Oliver, M., and López-Hernández, L. 2022. Food-vegetable and fruit waste used in meat products. Food Reviews International 38(4): 628–654. 10.1080/87559129.2020.1740732

Campo, M.M., Nute, G.R., Hughes, S.I., Enser, M., Wood, J.D., and Richardson, R.I. 2006. Flavour perception of oxidation in beef. Meat Science 72(2): 303–311. 10.1016/j.meatsci.2005.07.015

Chaari, M., Elhadef, K., Akermi, S., Ben-Hlima, H., Fourati, M., Chakchoukmtibaa, A., Ennouri, M., D’Amore, T., Ali, D., Mellouli, L., and Slim, S. 2023. Potentials of beetroot (Beta-vulgaris L.) peel extract for quality enhancement of refrigerated beef meat. Quality Assurance and Safety of Crops & Foods 15(4): 99–115. 10.15586/qas.v15i4.1376

Chaari, M., Elhadef, K., Akermi, S., Hlima, H.B., Fourati, M., Chakchouk Mtibaa, A., Sarkar, T., Shariati, M.A., Rebezov, M., D’Amore, T., Mellouli, L., and Smaoui, S. 2022. Multiobjective response and chemometric approaches to enhance the phytochemicals and biological activities of beetroot leaves: an unexploited organic waste. Biomass Conversion and Biorefinery 3(6): 15067–15081. 10.1007/s13399-022-03645-0

Chaari, M., Akermi, S., Elhadef, K., Ennouri, M., Jlaiel, L., Mosrati, M.A., Mellouli, L., Elfalleh, W., Varzakas, T., and Smaoui, S. 2024. Betalains from Opuntia stricta peels: UPLC-MS/MS metabolites profiling, computational investigation, and potential applicability as a raw meat colorant. Heliyon 24;10(21): e39784. 10.1016/j.heliyon.2024.e39784

Chikwanha, O.C., Moelich, E., Gouws, P., Muchenje, V., Nolte, J.V.E., Dugan, M.E.R., and Mapiye, C. 2019. Effects of feeding increasing levels of grape (Vitis vinifera cv. Pinotage) pomace on lamb shelf-life and eating quality. Meat Science 157: 107887. 10.1016/j.meatsci.2019.107887

Chikwanha, O., Vahmani, P., Muchenje, V., Dugan, M., and Mapiye, C. 2018. Nutritional enhancement of sheep meat fatty acid profile for human health and wellbeing. Food Research International 104: 25–38. 10.1016/j.foodres.2017.05.005

Díaz-Hernández, G., Alvarez Fitz, P., Maldonado-Astudillo, Y., Jiménez-Hernández, J., Parra-Rojas, I., Flores-Alfaro, E., Salazar, R., and Ramírez, M. 2022. Antibacterial, antiradical and antiproliferative potential of green, roasted, and spent coffee extracts. Applied Sciences 12: 1938. 10.3390/app12041938

Dilek, N.M. 2025. Utilization of spent coffee grounds as an-antioxidant dietary fiber in beef patties : oxidative stability, texture properties, and molecular docking. Food Science & Nutrition 13(10): e70919. 10.1002/fsn3.70919

Doğaner, E.N., Dilek, N.M., and Aytar, E.C. 2025. Green coffee powder as a clean-label functional ingredient in meat systems: antioxidant performance, molecular docking mechanisms, and technological properties. Food Biophysics 20(4): 162. 10.1007/s11483-025-10035-2

Domínguez, R., Pateiro, M., Gagaoua, M., Barba, F.J., Zhang, W., and Lorenzo, J.M. 2019. A comprehensive review on lipid-oxidation in meat and meat products. Antioxidants 8(10): Article 10. 10.3390/antiox8100429

Elhadef, K., Akermi, S., Ben Hlima, H., Ennouri, K., Fourati, M., Ben Braïek, O., Mellouli, L., and Smaoui, S. 2021. Tunisian pistachio hull extracts: phytochemical content, antioxidant activity, and foodborne pathogen inhibition. Journal of Food Quality 2021: 1–18. 10.1155/2021/9953545

Elhadef, K., Smaoui, S., Ben Hlima, H., Ennouri, K., Fourati, M., Chakchouk Mtibaa, A., Ennouri, M., and Mellouli, L. 2020. Effects of Ephedra alata extract on the quality of minced beef meat during refrigerated storage: a chemometric approach. Meat Science 170: 108246. 10.1016/j.meatsci.2020.108246

El-Hawary, E.A., Zayed, A., Laub, A., Modolo, L.V., Wessjohann, L., and Farag, M.A. 2022. How does LC/MS compare to UV in coffee authentication and determination of antioxidant effects? Brazilian and middle Eastern coffee as case studies. Antioxidants 11(1): 131. 10.3390/antiox11010131

Ellman, G.L. 1959. Tissue sulfhydryl groups. Archives of Biochemistry and Biophysics 82(1): 70–77. 10.1016/0003-9861(59)90090-6

Esquivel, P., and Jiménez, V.M. 2012. Functional properties of coffee and coffee by-products. Food Research International 46(2): 488–495. 10.1016/j.foodres.2011.05.028

Estévez, M., Geraert, P.-A., Liu, R., Delgado, J., Mercier, Y., and Zhang, W. 2020. Sulphur amino acids, muscle redox status and meat quality: more than building blocks–invited review. Meat Science 163: 108087. 10.1016/j.meatsci.2020.108087

Estévez, M., and Heinonen, M. 2010. Effect of phenolic compounds on the formation of alpha-aminoadipic and gamma-glutamic semialdehydes from myofibrillar proteins oxidized by-copper, iron, and myoglobin. Journal of Agricultural and Food Chemistry 58(7): 4448–4455. 10.1021/jf903757h

Estévez, M., Morcuende, D., and Ventanas, S. 2008. Determination of oxidation. In: Handbook of Processed Meats and Poultry Analysis; edited by Leo M.L. Nollet, Fidel Toldrá, Chap 8. 141–163. HDC Library catalog, Selangor, Malaysia. Available at: https://library.hdcglobal.com/cgi-bin/koha/opac

Eymard, S., Carcouët, E., Rochet, M., Dumay, J., Chopin, C., Genot, C., Zara, R.F., Amaral, J. S., and Corso, M.P. 2005. Development of lipid oxidation during manufacturing of horse mackerel surimi. Journal of the Science of Food and Agriculture 85(10): 1750–1756. 10.1002/jsfa.2145

Fernandes, R.P.P., Trindade, M.A., Lorenzo, J.M., and de Melo, M.P. 2018. Assessment of the stability of sheep sausages with the addition of different concentrations of Origanum-vulgare extract during storage. Meat Science 137: 244–257. 10.1016/j.meatsci.2017.11.018

Fetsch, V.T., Kalschne, D.L., Canan, C., Flores, E.L.M., Viegas, M.C., Peiter, G.C., Zara, R.F., Amaral, J.C., and Corso, M.P. 2024. Coffee extract as a natural antioxidant in fresh pork sausage—a model approach. Foods 13(9), 1409. Available at: https://www.mdpi.com/2304-8158/13/9/1409 (Accessed: 6 August 2025).

Fourati, M., Smaoui, S., Ben Hlima, H., Ennouri, K., Chakchouk Mtibaa, A., Sellem, I., Elhadef, K., and Mellouli, L. 2020. Synchronised interrelationship between lipid/protein oxidation analysis and sensory attributes in refrigerated minced beef meat formulated with Punica granatum peel extract. International Journal of Food Science & Technology 55(3): 1080–1087. 10.1111/ijfs.14398

Fourati, M., Smaoui, S., Ennouri, K., Ben Hlima, H., Elhadef, K., Chakchouk-Mtibaa, A., Sellem, I., and Mellouli, L. 2019. Multi-response optimization of pomegranate peel extraction by-statistical versus artificial intelligence: predictive approach for foodborne bacterial pathogen inactivation. Evidence-Based Complementary and Alternative Medicine 2019(1): Article 1. 10.1155/2019/1542615

Getachew, A.T., Cho, Y.J., and Chun, B.S. 2018. Effect of pretreatments on isolation of bioactive polysaccharides from spent coffee grounds using subcritical water. International Journal of Biological Macromolecules 109: 711–719. 10.1016/j.ijbiomac.2017.12.120

Gonçalves, D.B., Santos, C.S.P., Pinho, T., Queirós, R., Vaz, P.D., Bloore, M., Satta, P., Kovács, Z., Casal, S., and Hoffmann, I. 2021. Near infrared reflectance spectroscopy coupled to chemometrics as a cost-effective, rapid, and non-destructive tool for fish fraud control: monitoring source, condition, and nutritional value of five common whitefish species. Journal of AOAC International 104(1): 53–60. 10.1093/jaoacint/qsaa114

Gul, N., Muzaffar, K., Shah, S.Z.A., Assad, A., Makroo, H.A., and Dar, B.N. 2024. Deep learning hyperspectral imaging: a rapid and reliable alternative to conventional techniques in the testing of food quality and safety. Quality Assurance and Safety of Crops & Foods 16(1): 78–97.

Hadidi, M., Orellana-Palacios, J.C., Aghababaei, F., Gonzalez-Serrano, D.J., Moreno, A., Lorenzo, J.M., Hadidi, M., Orellana-Palacios, J.C., Aghababaei, F., Gonzalez-Serrano, D. J., Moreno, A., and Lorenzo, J.M. 2022. Plant by-product antioxidants: control of protein-lipid oxidation in meat and meat products. Food Science and Technology (LWT) 169 (114003). 10.1016/J.LWT.2022.114003

Hashemi Gahruie, H., Hosseini, S.M.H., Taghavifard, M.H., Eskandari, M.H., Golmakani, M.-T., and Shad, E. 2017. Lipid oxidation, color changes, and microbiological quality of frozen beef burgers incorporated with Shirazi thyme, cinnamon, and rosemary extracts. Journal of Food Quality 2017(1): 6350156. 10.1155/2017/6350156

Hashimoto, T.A., Caporaso, F., Toto, C., and Were, L. 2019. Antioxidant capacity and sensory impact of coffee added to ground pork. European Food Research and Technology 245(5): 977–986. 10.1007/s00217-018-3200-7

Hlima, H.B., Smaoui, S., Barkallah, M., Elhadef, K., Tounsi, L., Michaud, P., Fendri, I., and Abdelkafi, S. 2021. Sulfated exopolysaccharides from Porphyridium cruentum: a useful strategy to extend the shelf life of minced beef meat. International Journal of Biological Macromolecules 193: 1215–1225. 10.1016/j.ijbiomac.2021.10.161

Hussain, M.I., Semreen, M.H., Shanableh, A., Khattak, M.N.K., Saadoun, I., Ahmady, I.M., Mousa, M., Darwish, N., Radeef, W., and Soliman, S.S.M. 2019. Phenolic composition and antimicrobial activity of different emirati date (Phoenix dactylifera L.) pits: a comparative study. Plants 8(11): Article 11. 10.3390/plants8110497

Inácio, H.P., Santetti, G.S., Dacoreggio, M.V., da Silva Haas, I.C., Baranzelli, J., Emanuelli, T., Hoff, R.B., Kempka, A.P., Fritzen Freire, C.B., and de Mello Castanho Amboni, R.D. 2023. Effects of different extraction methods on the phenolic profile, antioxidant and antimicrobial activity of the coffee grounds and coffee silverskin (Coffea arabica L.). JSFA Reports 3(8): 354–363. 10.1002/jsf2.139

International Organization for Standardization (IOS), 2001. Microbiology of food and animal feeding stuffs-horizontal method for the enumeration of psychrotrophic microorganisms. ISO. 17410:2001. IOS, Geneva, Switzerland.

International Organization for Standardization (IOS), 2004. Microbiology of food and animal feeding stuffs – horizontal methods for the detection and enumeration of enterobacteriaceae. ISO 21528-2:2004. IOC, Geneva, Switzerland. https://www.iso.org/obp/ui/#iso:std:iso:21528:-2:ed-1:v1:fr:fn:1 (Accessed: 16 May 2025).

International Organization for Standardization (IOS), 2013. Microbiology of the food chain–horizontal method for the enumeration of microorganisms. Part 1: colony count at 30°C by the pour plate technique. ISO 4833-1:2013. IOS, Geneva, Switzerland. https://www.iso.org/obp/ui/#iso:std:iso:4833:-2:ed-1:v1:en (Accessed: 16 May 2025).

Jung, H., Han, Y., and Gu, B.-J. 2025. Sustainable utilization of spent coffee grounds in low-moisture meat analogs. Food Science and Preservation 32(1): 77–87.

Juntachote, T., Berghofer, E., Siebenhandl, S., and Bauer, F. 2006. The antioxidative properties of Holy basil and Galangal in cooked ground pork. Meat Science 72(3): 446–456. 10.1016/j.meatsci.2005.08.009

Kharbach, M., Alaoui Mansouri, M., Taabouz, M., and Yu, H. 2023. Current application of advancing spectroscopy techniques in food analysis: data handling with chemometric approaches. Foods (Basel, Switzerland) 12(14): 2753. 10.3390/foods12142753

Krzywicki, K. 1982. The determination of haem-pigments in meat. Meat Science 7(1): 29–36. 10.1016/0309-1740(82)90095-X

Lahmar, A., Morcuende, D., Andrade, M.-J., Chekir-Ghedira, L., and Estévez, M. 2018. Prolonging shelf life of lamb cutlets packed under high-oxygen modified atmosphere by spraying essential oils from North-African plants. Meat Science 139: 56–64. 10.1016/j.meatsci.2018.01.015

Lang, R., Fromme, T., Beusch, A., Wahl, A., Klingenspor, M., and Hofmann, T. 2013. 2-O-β-D-Glucopyranosyl-carboxyatractyligenin from Coffea L. inhibits adenine nucleotide translocase in isolated mitochondria but is quantitatively degraded during coffee roasting. Phytochemistry 93: 124–135. 10.1016/j.phytochem.2013.03.022

Lin, C., Toto, C., and Were, L. 2015. Antioxidant effectiveness of ground roasted coffee in raw ground top round beef with added sodium chloride. Food Science and Technology (LWT) 60(1): 29–35. 10.1016/j.lwt.2014.08.010

López-Froilán, R., Hernández-Ledesma, B., Cámara, M., and Pérez-Rodríguez, M.L. 2018. Evaluation of the antioxidant potential of mixed fruit-based beverages: a new insight on the Folin–Ciocalteu method. Food Analytical Methods 11(10), 2897–2906. 10.13039/501100002911

Lund, M.N., Heinonen, M., Baron, C.P., and Estévez, M. 2011. Protein oxidation in muscle foods: a review. Molecular Nutrition & Food Research 55(1): 83–95. 10.1002/mnfr.201000453

Lund, M.N., Lametsch, R., Hviid, M.S., Jensen, O.N., and Skibsted, L.H. 2007. High-oxygen packaging atmosphere-influences protein oxidation and tenderness of porcine longissimus dorsi during chill storage. Meat Science 77(3): 295–303. 10.1016/j.meatsci.2007.03.016

Mafe, A.N., and Büsselberg, D. 2025. Food preservatives and the rising tide of early-onset colorectal cancer: mechanisms, controversies, and emerging innovations. Foods 14(17): 3079. 10.3390/foods14173079

Maiyah, N., Kerdpiboon, S., Supapvanich, S., Kerr, W.L., Sriprom, P., Chotigavin, N., Klaypradit, W., and Puttongsiri, T. 2025. Recovering bioactive compounds and antioxidant capacity of medium roasted spent coffee grounds through varied hydrothermal brewing cycles. Journal of Agriculture and Food Research 20: 101789. 10.1016/j.jafr.2025.101789

Manzoor, M., Singh, J., Gani, A., and Noor, N. 2021. Valorization of natural colors as health-promoting bioactive-compounds: phytochemical profile, extractions techniques, and pharmacological perspectives. Food Chemistry 362: 130141. 10.1016/j.foodchem.2021.130141

Martinez-Saez, N., García, A.T., Pérez, I.D., Rebollo-Hernanz, M., Mesías, M., Morales, F.J., Martín-Cabrejas, M.A., and Del Castillo, M.D. 2017. Use of spent coffee grounds as food ingredient in bakery products. Food Chemistry 216: 114–122. 10.1016/j.foodchem.2016.07.173

Martins, V. de C., da Silva, M.A.E., da Veiga, V.F., Pereira, H.M.G., and de Rezende, C.M. 2025. Ent-Kaurane diterpenoids from coffea genus: an update of chemical diversity and biological aspects. Molecules 30(1): Article 1. 10.3390/molecules30010059

Materska, M. 2025. Quercetin and its derivatives: chemical structure and bioactivity–a review. Polish Journal of Food and Nutrition Sciences 58(4): 407–413. Available at: https://-journal.pan.-olsztyn.pl/quercetin-and-its-derivatives-chemical--structure-and-bioactivity-8211-a-review,98157,0,2.html

Mohamadi, N., Meraghni, M., Meradci, F., Necib, A., El Arbi, M., Elhadef, K., Smaoui, S., and Bouaziz, M. 2023. Investigation and quantification of the potential antioxidant, inflammatory, and antibacterial bioactive molecules of the extracts of Algerian black and green table olive brine. Quality Assurance and Safety of Crops & Foods 15(1): 92–106. 10.15586/qas.v15i1.1250

Monazzah, M., and Lachenmeier, D.W. 2025. Genotoxicity of coffee, coffee by-products, and coffee bioactive compounds: contradictory evidence from in vitro studies. Toxics 13(5): 409. 10.3390/toxics13050409

Monente, C., Bravo, J., Vitas, A.I., Arbillaga, L., De Peña, M.P., and Cid, C. 2015. Coffee and spent coffee extracts protect against cell mutagens and inhibit growth of food-borne pathogen microorganisms. Journal of Functional Foods 12: 365–374. 10.1016/j.jff.2014.12.006

Murillo Hernández, J.L., Vargas Sánchez, R.D., Torres Martínez, B. del M., Huerta Leidenz, N., Torrescano Urrutia, G.R., Sánchez Escalante, A., Murillo Hernández, J.L., Vargas Sánchez, R.D., Torres Martínez, B. del M., Huerta Leidenz, N., Torrescano Urrutia, G.R., and Sánchez Escalante, A. 2024. Effect of spent coffee grounds aqueous extract as an antioxidant in raw pork patties during refrigerated storage. Revista Mexicana de Ciencias Pecuarias, 15(4): 833–847. 10.22319/rmcp.v15i4.6630

Nair, M.N., Costa-Lima, B.R.C., Wes Schilling, M., and Suman, S.P. 2017. Chapter 10—Proteomics of color in fresh muscle foods. In: Colgrave, M.L. (éd.) Proteomics in Food Science. Academic Press, New York, NY, pp. 163–175. 10.1016/B978-0-12-804007-2.00010-2

Nemzer, B., Abshiru, N., and Al-Taher, F. 2021. Identification of phytochemical compounds in Coffea arabica whole coffee cherries and their extracts by LC-MS/MS. Journal of Agricultural and Food Chemistry 69(11): Article 11. 10.1021/acs.jafc.0c05937

Panusa, A., Zuorro, A., Lavecchia, R., Marrosu, G., and Petrucci, R. 2013. Recovery of natural antioxidants from spent coffee grounds. Journal of Agricultural and Food Chemistry 61(17): Article 17. 10.1021/jf4005719

Papuc, C., Goran, G.V., Predescu, C.N., and Nicorescu, V. 2017. Mechanisms of oxidative processes in meat and toxicity induced by postprandial degradation products: a review. Comprehensive Reviews in Food Science and Food Safety 16(1): 96–123. 10.1111/1541-4337.12241

Permatasari, F.I., Nazir, N.T. Anggraini, J. Hellyward, C. Techavuthiporn and Syukri, D. 2025. GC-MS metabolite-profiling and chemometric analysis of Robusta green beans (Bantjah coffee). Journal of Global Innovations in Agricultural Sciences 13: 919–924.

Prommachart, R., Belem, T.S., Uriyapongson, S., Rayas-Duarte, P., Uriyapongson, J., and Ramanathan, R. 2020. The effect of black rice water extract on surface color, lipid oxidation, microbial growth, and antioxidant activity of beef patties during chilled storage. Meat Science 164: 108091. 10.1016/j.meatsci.2020.108091

Rodrigues, R., Oliveira, M.B.P.P., and Alves, R.C. 2023. Chlorogenic acids and caffeine from coffee by-products: a review on skincare applications. Cosmetics 10(1): Article 1. 10.3390/cosmetics10010012

Saharan, P., Sadh, P.K., Duhan, S., and Duhan, J.S. 2020. Bio-enrichment of phenolic, flavonoids content and antioxidant activity of commonly used pulses by solid-state fermentation. Journal of Food Measurement and Characterization 14(3): Article 3. 10.1007/s11694-020-00399-z

Sallam, K.I., Ishioroshi, M., and Samejima, K. 2004. Antioxidant and antimicrobial effects of garlic in chicken sausage. Food Science and Technology (LWT) 37(8): 849–855. 10.1016/j.lwt.2004.04.001

Sarıçoban, C., and Yilmaz, M.T. 2014. Effect of thyme/cumin essential oils and butylated hydroxyl anisole/butylated hydroxyl toluene on physicochemical properties and oxidative/microbial stability of chicken patties. Poultry Science 93(2): 456–463. 10.3382/ps.2013-03477

Setotaw, Y., Mekonnen, A., Girma, B., Daniel, R., Tassema, G., Melkamu, J., Asefa, M., Fikiru, T., and Denboba, L. 2020. Selection of appropriate substrate for production of oyster mushroom (Pleurotus ostreatus). Genetics 11: 15–25. 10.5897/JYFR2019.0187

Silvera-Pablo, C.C., Julca Otiniano, A., Herrera Toscano, L., Rivera-Ashqui, T., and Silva-Paz, R. 2024. Assessment of biofertilizers and humic acids on the growth of coffee varieties in nursery: experimental study in Chanchamayo, Peru. International Journal of Agriculture and Biosciences 14(1): 145–152. 10.47278/journal.ijab/2024.198

Smaoui, S., Ben-Hlima, H., Chakchouk-Mtibaa, A., Fourati, M., Sellem, I., Elhadef, K., Ennouri, K., and Mellouli, L. 2019. Pomegranate peel as phenolic compounds source: advanced analytical strategies and practical use in meat products. Meat Science 158: 107914. 10.1016/j.meatsci.2019.107914

Sohaib, M., Anjum, F.M., Arshad, M.S., Imran, M., Imran, A., and Hussain, S. 2017. Oxidative stability and lipid oxidation-flavoring volatiles in antioxidants treated chicken meat patties during storage. Lipids in Health and Disease 16(1): 27. 10.1186/s12944-017-0426-5

Soriano, A., Alañón, M.E., Alarcón, M., García-Ruíz, A., Díaz-Maroto, M.C., and Pérez-Coello, M.S. 2018. Oak wood extracts as natural antioxidants to increase shelf life of raw pork-patties in modified atmosphere packaging. Food Research International 111: 524–533. 10.1016/j.foodres.2018.05.055

Sousa, C., Gabriel, C., Cerqueira, F., Manso, M.C., and Vinha, A. 2015. Coffee industrial waste as a natural source of bioactive compounds with antibacterial and antifungal activities. The battle against microbial pathogens: Basic science, technological advances and educational programs. Editors: A. Méndez-Vilas. 1st ed. Spain: Formatex Research Center, pp. 131–136.

Stone, H., and Sidel, J. 2004. Introduction to sensory evaluation. Sensory evaluation practices, Food Science and Technology 3: 1–17. 10.1016/B978-0-12-672482-0.50008-3

Tan, Y., Wu, H., Shi, L., Barrow, C., Dunshea, F., and Suleria, H. 2023. Impacts of fermentation on the phenolic composition, antioxidant potential, and volatile compounds profile of commercially roasted coffee beans. Fermentation 9: 918. 10.3390/fermentation9100918

Tavares, L., Noreña, C.P.Z., Barros, H.L., Smaoui, S., Lima, P.S., and de Oliveira, M.M. 2022. Rheological and structural trends on encapsulation of bioactive compounds of essential oils: a global systematic review of recent research. Food Hydrocolloids 129: 107628. 10.1016/j.foodhyd.2022.107628

Torres-Valenzuela, L.S., Ballesteros-Gómez, A., Sanin, A., and Rubio, S. 2019. Valorization of spent coffee grounds by supramolecular solvent extraction. Separation and Purification Technology 228: 115759. 10.1016/j.seppur.2019.115759

Vargas-Sánchez, R.D., Torres-Martínez, B. del M., Torrescano-Urrutia, G.R., Sánchez-Escalante, A. 2023. Physicochemical, techno-functional and antioxidant characterization of coffee silverskin. Biotecnia, 25(1): 43–50. 10.18633/-biotecnia.v25i1.1755

Vargas-Sánchez, R.D., Torres-Martínez, B. del M., Torrescano-Urrutia, G.R., Sánchez-Escalante, A. 2024. Utilization of coffee silverskin aqueous extract to improve pork meat homogenates oxidative stability. Biotecnia 26(1): 42–49. 10.18633/-biotecnia.v26i1.2128

Viljanen, K., Kivikari, R., and Heinonen, M. 2004. Protein-lipid-interactions during liposome oxidation with added anthocyanin and other phenolic compounds. Journal of Agricultural and Food Chemistry 52(5): 1104–1111. 10.1021/jf034785e

Wang, B., Li, F., Pan, N., Kong, B., and Xia, X. 2021. Effect of ice-structuring protein on the quality of quick-frozen patties-subjected to multiple freeze-thaw cycles. Meat Science 172: 108335. 10.1016/j.meatsci.2020.108335

Wang, C., Wang, Y., Song, Y., Ren, M., Gao, Z., and Ren, J. 2024. Effect of onion skin powder on color, lipid, and protein-oxidative-stability of premade beef patty during cold storage. Scientific Reports 14(1): 20816. 10.1038/s41598-024-71265-x

Xie, C., Yu, K., Zhong, D., Yuan, T., Ye, F., Jarrell, J.A., Millar, A., and Chen, X. 2011. Investigation of isomeric transformations of chlorogenic acid in buffers and biological matrixes by-ultraperformance liquid chromatography coupled with hybrid quadrupole/ion mobility/orthogonal acceleration time-of-flight mass spectrometry. Journal of Agricultural and Food Chemistry 59(20): 11078–11087. 10.1021/jf203104k

Xie, J., Liu, M., Zheng, Y., Wang, C., Wang, B., Han, J., and Sun, D. 2015. Temperature-and pH-induced effects on the volumetric properties and refractive indices for two promising cancer-preventive agents being protocatechuic acid and protocatechualdehyde. Journal of Molecular Liquids 211: 892–898. 10.1016/j.molliq.2015.08.016

Zamuz, S., Munekata, P.E.S., Dzuvor, C.K.O., Zhang, W., Sant’Ana, A.S., Lorenzo, J.M., Zamuz, S., Munekata, P.E.S., Dzuvor, C.K.O., Zhang, W., Sant’Ana, A.S., and Lorenzo, J.M. 2021. The role of phenolic compounds against Listeria monocytogenes in food. A review. Trends in Food Science and Technology 110: 385–392. 10.1016/J.TIFS.2021.01.068

Zouari Ayadi, D., Akermi, S., Chaari, M., Elhadef, K., Abdelhdi, C., Jlaiel, L., Mellouli, L., Ali, D.S., Elfalleh, W., Varzakas, T., and Smaoui, S. 2025. Chemical characterization of spent coffee grounds: integrating chemometric analysis with insights into antibacterial mechanisms of action. Food Bioscience 71: 107113. 10.1016/j.fbio.2025.107113