Download

ORIGINAL ARTICLE

Novel mango ripening and anthracnose control using tangerine oil vapors and wood smoke: possible mode of action

Narumol Matan1,2,3*, Katthayawan Khunjan2

1School of Agricultural Technology and Food Industry, Walailak University, Nakhon Si Thammarat, Thailand;

2Center of Excellence in Innovation of Essential Oil and Bioactive Compounds, Walailak University, Nakhon Si Thammarat, Thailand;

3Center of Excellence in Wood and Biomaterials, Walailak University, Nakhon Si Thammarat, Thailand

Abstract

Reducing spoilage and uneven ripening during storage is critical for the mango export industry. This study -evaluated a postharvest treatment combining 15- min wood smoke (SM) exposure with tangerine oil (TO) vapors at 0.04%, 0.08%, and 0.12% to accelerate ripening, enhance quality, and suppress anthracnose. Results indicated that SM combined with TO 0.08% rapidly stimulated ethylene production, initiating at 6 h (0.2–0.3 µmol/kg) and reaching 0.48 µmol/kg by 12 h, thus promoting uniform ripening within 18 h. Treated mangoes developed a bright yellow color and remained largely free of fungal contamination for over 7 days, with only 10% disease incidence by day 10 at 30 ± 2°C. The treatment also formed a thin protective coating on the fruit surface, reducing water loss, maintaining firmness, and improving ripening quality. Moreover, phenolic content and antioxidant capacity were increased, contributing to inhibition of fungal spore germination. Mangoes treated with SM+TO 0.08% remained storable and transportable for at least 10 days without refrigeration, whereas control fruit spoiled within 3–5 days. This approach provides a cost-effective postharvest strategy to enhance quality of mango and support long--distance distribution without cold storage.

Key words: tangerine oil, wood smoke, mango, postharvest, anthracnose, ambient storage

*Corresponding Author: Narumol Matan, School of Agricultural Technology and Food Industry, Walailak University, Nakhon Si Thammarat, Thailand 80160. Email: [email protected]

Academic Editor: R. Pandiselvam, PhD: Scientist, ICAR-Central Plantation Crops Research Institute, Kerala, India

Received: 1 August 2025; Accepted: 21 December 2025; Published: 27 January 2026

DOI: 10.15586/qas.v18i1.1603

© 2026 Codon Publications
This is an Open Access article distributed under the terms of the Creative Commons Attribution-NonCommercial-ShareAlike 4.0 International (CC BY-NC-SA 4.0). License (http://creativecommons.org/licenses/by-nc-sa/4.0/)

Introduction

Mango (Mangifera indica L.), because of delicate -fragrance, superior taste, and rich nutritional value, is known as the ‘king of tropical fruits’, (Sivakumar et al., 2011). Mangoes exhibit a rising respiration rate during ripening, which initially remains low, gradually increases, and eventually declines at full ripeness (Yahia, 2011). Naturally, the ripening process takes several days to complete. Ethylene gas plays a key role in this process by inducing physiological and biochemical changes, such as chlorophyll degradation, carotenoid synthesis, and change of color from green to yellow. Controlling ethylene concentration has been shown to improve fruit quality by enhancing flavor and texture. Artificial ripening methods accelerate this process to regulate ethylene levels, ensuring uniform ripening. Ethephon, an artificial ethylene analog, is widely used in the commercial industry at concentrations of 750–1,000 mg/L. Upon contact with water, ethephon releases ethylene gas, promoting ripening without posing any health risks (Sabuz et al., 2019). Another method related to mango ripening involved the use of smoke (SM) generated from burning plant residues or agricultural waste. The composition of SM constitutes several fine chemicals, such as acetic acid, phenol, carbonyls, and their derivatives, which exhibit antibacterial properties (Faisal et al., 2025) and antifungal activity (Sinthupachee et al., 2023). This method also releases bioactive compounds capable of inhibiting fruit pathogens. The sole use of artificial ripening may present limitations in reducing surface infections.

However, mangoes stored at room temperature in tropical climates remain highly susceptible to fungal infections, particularly anthracnose, which is mostly caused by Colletotrichum gloeosporioides. As mangoes ripen, the symptoms of this disease become increasingly pronounced. Infection of fruit surface by the fungus, regardless of whether ripening is natural or artificial, results in water loss, reduced weight, and rapid shriveling, thereby causing substantial economic loss (Droby et al., 2011). These storage conditions were found to promote anthracnose infection (Jaimun and Sangsuwan, 2019).

Developing innovative ripening methods that simultaneously prevent anthracnose infection and enhance fruit quality is essential. The use of natural compounds to reduce incidence of diseases in fruits provides a health-conscious and consumer-friendly strategy, because many of these substances possess antifungal properties. For instance, coatings derived from plant extracts, such as stink vine leaf, garlic clove, lemon leaf, custard apple leaf, aloe vera leaf, and neem leaf, effectively reduce physio-biochemical changes and prolong the shelf life of mangoes (Yasmin et al., 2025). Similarly, coatings comprising mango kernel seed starch combined with lemongrass essential oil are reported to extend the storage life of guava fruits while preserving postharvest quality attributes for up to 9 days, resulting in improved fruit quality (Yadav et al., 2022).

Tangerine oil (TO), derived from citrus peels, is obtained from discarded peels, making it a low-cost product by utilizing waste materials. TO, a type of citrus essential oil, is a natural product with various bioactive properties. It is generally recognized as safe (GRAS) by the US Food and Drug Administration (FDA) for use as a flavoring agent and food additive. TO, recognized as a safe alternative ripening agent, is demonstrated to accelerate banana ripening. Additionally, TO is shown to exhibit antifungal properties against fruit pathogens (Saengwong-Ngam and Matan, 2024). In terms of sensory quality, TO, belonging to the citrus essential oil group, is applied to various food products. Careful regulation of its concentration is necessary to avoid detrimental effects on fruit sensory characteristics; nevertheless, at low concentrations, both visual appearance and sensory appeal are enhanced (Phothisuwan et al., 2021). Therefore, combining essential oils with SM is essential to maximize their efficacy in preventing anthracnose and improving ripening quality. This research area has been rarely explored, as short-term SM exposure in combination with essential oil vapors represents an innovative approach that enhances the aroma and ripening of mangoes while effectively controlling ripening and maintaining fruit quality by reducing fungal infection. This approach represents a novel and easily applicable method that offers enhanced effectiveness.

This study investigated the use of SM, which requires only a short time to produce, combined with TO vapors to accelerate mango ripening and examined its potential antifungal mechanism against Colletotrichum gloeosporioides, the causal agent of anthracnose in mango. The findings from this research are expected to benefit the fruit industry by reducing loss of mangoes and enabling its transportation at room temperature. Additionally, consumer safety may be enhanced by applying this method.

Materials and Methods

Chemicals, reagents, and medium

All analytical-grade chemicals, including those for ripening, antioxidants, total phenolic content, carotenoid, and chlorophyll analysis, were purchased from Sigma-Aldrich, Bangkok, Thailand. Malt extract agar (MEA), Tween® 80, peptone water, and the medium used in the microbial section were purchased from Merck, Bangkok, Thailand.

Tangerine oil and palm wood with TO preparation

Tangerine oil was extracted using steam distillation (Thai-China Flavours and Fragrances Industry Co. Ltd., Nonthaburi, Thailand). The main component of TO was analyzed by gas chromatography–mass spectrometry and comprised approximately 75% limonene. Prior to use, TO was formulated into a nano-emulsion at concentrations of 0.04%, 0.08%, and 0.12% by mixing it with deionized water containing 0.01% Tween® 80 as a surfactant. The resulting solution was homogenized using a T 25 digital Ultra-Turrax homogenizer (IKA, Staufen, Germany) at 15,000 rpm for 20 min at 25°C to obtain a nano-size solution. The concentration of TO in water was carefully controlled by preparing a nano-emulsion under stable (non-phase-separated) conditions, which remained stable for more than 72 h. The TO nano-emulsions were used immediately after preparation, without any phase separation. The concentration range of TO (0.04%, 0.08%, and 0.12%) was selected for sensory testing (data not shown). It was found that these concentrations did not affect consumer acceptance of mangoes treated with TO.

Palm wood was cut into pieces measuring 2 cm in width and 5 cm in length. The two wood pieces were immersed in 30 mL of TO nano-emulsion at designated concentrations for 1 h. After immersion, the treated wood pieces were dried at 30±2°C for 2 h or until completely dry prior to using in experiments.

Mangoes

Unripe green Kaew mangoes (Mangifera indica L.) were harvested approximately 100–115 days after full bloom from a mango farm in Chachoengsao Province, Thailand. Prior to harvesting, the mangoes were inspected to confirm the absence of visible disease or insect damage. Mangoes weighing approximately 400–420 g each were selected based on uniform size and consistent green color. The harvested mangoes were transported to the laboratory within 12 h. Upon arrival, mangoes were washed with tap water to remove any dirt, dried at room temperature, and immediately used for testing.

Effectiveness of wood SM and TO on mango ripening and reduction of anthracnose disease on mango skin

A total of 240 mangoes were prepared and divided into eight experimental groups, each consisting of 30 mangoes, to evaluate the effectiveness of wood SM and TO in accelerating mango ripening and reducing anthracnose disease from mango skin. The experimental groups included the following: control, SM, SM+TO 0.04%, SM+TO 0.08%, SM+TO 0.12%, TO 0.04%, TO 0.08%, and TO 0.12%.

For each experimental group, 10 mangoes (with three replicates per experimental group) were placed in a SM chamber equipped with a SM generator at the bottom (Figure 1).

Figure 1. The process of smoking mangoes to accelerate ripening.

In the SM alone group, two pieces of palm wood, not immersed in TO, were placed in the SM generator. For SM+TO 0.04%, SM+TO 0.08%, and SM+TO 0.12% groups, palm wood immersed in TO at various concentrations was used. The palm wood was placed in the chamber, and the fire was ignited to generate SM, which was directed toward the mangoes in SM chamber for 15 min (no polycyclic aromatic hydrocarbons [PAHs] were detected on the mango surface after 15 min of SM fumigation). The mangoes were then removed and left to ripen at room temperature in cardboard boxes for 10 days.

For the experimental groups using TO 0.12%, TO 0.04%, and TO 0.08%, two pieces of palm wood soaked in nano-emulsion were placed inside the SM chamber without igniting the fire. The mangoes were exposed to TO vapors for 1 h, and then removed and left to ripen at room temperature in cardboard boxes for 10 days. After 24 h of storage in cardboard boxes, the chlorophyll, carotenoid, color values, and ripening scale of mangoes in each experimental group were measured. Then mangoes stored at room temperature (30±2°C) for 10 days were evaluated for incidence of any disease.

Total chlorophyll and carotenoids

Total chlorophyll and carotenoid contents were determined using the method described by Promwee and Matan (2025), with modifications. Mango skin samples weighing 10 g were randomly collected and subjected to extraction for chlorophyll and carotenoid analysis. The samples were immersed in dimethyl sulfoxide saturated with calcium carbonate for 12 h in the dark. Following extraction, the solution was measured at wavelengths of 663 nm, 645 nm, and 450 nm using a spectrophotometer (Peak Instruments, Shanghai, China). The concentrations of total chlorophyll and carotenoids were calculated using the equation from Promwee and Matan, (2025), and the results were reported in mg/kg.

Color measurement

The color of mangoes was measured using a Commission. Internationale de l’Éclairage (CIE) colorimeter (Hunter Associates Laboratory, Reston, VA, USA), and the results were expressed in L*, a*, and b* values. The L* value represented lightness, ranging from 0 (black) to 100 (white). The a* value described color transition from green (-a *) to red (+a *), while the b* axis represented transition from blue (-b*) to yellow (+b*). Color measurements were accepted at eight different positions on the surface of each mango. The experiment was conducted in triplicate.

Ripening measurement

The appearance of mangoes was recorded using a digital camera. The ripening stage of mangoes was recorded using a six-point scale: stage 1 = 0–10% yellow, stage 2 = 10–30%, stage 3 = 30–50%, stage 4 = 50–70%, stage 5 = 70–90%, and stage 6 = 90–100% (Matan and Songsamoe, 2025). In all, 10 mangoes from both treatment and control groups were randomly selected for assessment of ripening stage. The evaluation was conducted in triplicate, and the average ripening score for each sample was determined.

Disease incidence

The measurement of disease incidence, observed as anthracnose on the surface of mangoes, was based on the method described by Lee et al. (2024), with minor modifications. Disease incidence was assessed on day 10 after storage at 30±2°C. Mangoes from each treatment group (n = 10) were replicated thrice. Disease incidence (%) was then calculated using Equation (1):

Antheacnose incident (%)=Number of mango with diseaseTotal number of mangoes×100 1

Effect of SM and TO on mango quality and disease incidence during storage

A total of 150 mangoes treated with SM and TO 0.08%, along with 150 control mangoes, were selected for the evaluation of physiochemical properties as well as disease incidence. After treatment with SM+TO 0.08%, the mangoes were stored in cardboard boxes at room temperature (30±2°C) for 10 days. On days 1, 3, 5, 7, and 10, mangoes from both treatment and control groups were collected for analysis.

Weight loss

The initial weight (W1) of the mangoes was recorded prior to storage. At each designated storage interval, the weight (W2) of the stored mangoes was measured. Weight loss was then calculated using the formula:

Weight loss (%) = ([W1 - W2] ÷ W1) × 100.

Firmness measurement

Firmness of mangoes was determined by placing them on the base of a texture analyzer (Lloyd Instruments, UK). Measurements were randomly taken at six points across the surface of mangoes using a 5-mm diameter stainless steel ball probe. The assessment was performed using the puncture method, with a fixed speed of 1 mm/s for both pre-test and penetration stages. The results were expressed as the maximum force in Newton (N). The experiment was conducted in triplicate, with 10 fruits per replicate.

Total soluble solid (TSS) and titratable acid (TA) of mango

The mango juice was extracted to determine both TSS and TA content during storage. The TSS content in the fruit juice was measured using a hand refractometer (Master-T, Atago, USA). The TA was determined by titration with a standard sodium hydroxide solution (0.1 N) and 0.1% phenolphthalein solution as an indicator. The TA value was expressed as a percentage of citric acid, as described by Matan and Songsamoe (2025). The experiment was conducted with 10 mangoes per sample, and each treatment was replicated thrice.

Color change measurement

The color of mangoes was measured using a CIE colorimeterory, and L*, a*, and b* values were derived as described in Section 2.4.2. Change in the color of mangoes was assessed by comparing the initial color (L1*, a1*, and b1*), measured after 1 day of storage, with the color values measured on subsequent days (L2*, a2*, and b2*). The color difference (∆E) was calculated using Equation (2):

ΔE=L1*L2*2+a1*a2*2+b1*b2*22

Disease incidence

The disease incidence of mangoes during storage at 30±2°C for 10 days was measured and calculated to obtain the values, as described in Section 2.4.4.

Study of mode of action

Ethylene and CO2 production

Mangoes treated with SM+TO 0.08% and control mangoes were selected for the study. After treatment, ethylene and CO2 production was measured using the method described by Zhang et al. (2022) with modifications. At 1, 6, 12, 18, and 24 h post-treatment, each mango from each replicate was sealed in a 1-L glass container for 1 h at 25°C. In all, 1 mL of the gas sample was drawn from the headspace of the container and injected into Agilent 7890B gas chromatograph equipped with a thermal conductivity detector (TCD) and a CP-PoraPLOT Q column (Agilent Technologies, CA, USA). Ethylene was identified by comparing the retention time and peak area with standard ethylene gas. Both ethylene and CO2 production was calculated using a standard curve and expressed as µmol/kg.

Total phenolic content and antioxidant activity

Mangoes treated with SM+TO 0.08% and control mangoes were selected for measurements at 1, 6, 12, 18, and 24 h post-treatment for the study. The total phenolic content was measured using the Folin–Ciocalteu colorimetric method, as described by Matan and Songsamoe (2025). In all, 10 g of mango peel was extracted with ethanol, and standard solution of gallic acid was prepared. Then the diluted Folin–Ciocalteu reagent was added and mixed. Next, sodium carbonate solution was added prior to measurement at 765 nm. The absorbance was measured using a UV spectrophotometer (Thermo Fisher Scientific, MA, USA), with ethanol used as a blank.

Vitamin C equivalent antioxidant capacity (VCEAC) of mango extracts was determined by measuring 2,2--diphenyl-1-picrylhydrazyl (DPPH) inhibition, as described by Zhang et al. (2017). The VCEAC value for each mango sample was calculated using Equation (3):

VCEAC=1ba×V×100w×n, 3

where I is the inhibition of DPPH by fruit sample, b is the intercept of standard curve, a is the slope of standard curve, V is the volume used to extract mango (mL), W is weight of the mango used for extraction (g), and n is the dilution factor used to prepare sample solution.

Hydrogen peroxide (H2O2) content

The H2O2 content was measured with modifications following the method described by Phakawan et al. (2025). Treated mango peel and control samples (10 g) were homogenized in 100 mL of 5% trichloroacetic acid (TCA) and centrifuged at 8,000 ×g for 15 min at 25°C. The resulting supernatant was mixed with 50% TCA, ferrous ammonium sulfate, and potassium thiocyanate. The absorbance was recorded at 480 nm, and the H2O2 content was expressed in mg/kg.

Inhibition of spore and mycelium of Colletotrichum gloeosporioides on mangoes

C. gloeosporioides isolated from the surface of mangoes affected by anthracnose was cultured on MEA agar for 7 days prior to be used for testing. The mold was stored at the Food Microbiology Laboratory of Walailak University, Nakhon Si Thammarat, Thailand. The spore concentration was adjusted at 106 spores/mL. Mangoes were prepared by making 5-mm holes on the surface using a cork borer, and 100 µL of spore suspension was then placed into each hole.

For mycelium, 3-mm diameter sections of mold mycelium were cut from the culture plate and placed into each hole on the mango surface. The mangoes were then placed in a SM chamber and treated with SM+TO 0.08% for 15 min. The control group consisted of mangoes with holes filled with spores and mycelium but not subjected to SM and TO treatment. The mangoes were incubated for 10 days at room temperature.

In case of spore germination, the diameter of fungal growth emerging from the spore in the hole on mango surface was measured and compared between the treatment and control mango groups. For mycelium, the diameter of mycelial growth on mango surface was measured. Measurements were taken on days 1, 3, 5, 7, and 10. The inhibition of mold growth was calculated by comparing the treatment and control groups with the results reported as inhibition based on control (%), as described by Equation (4):

Inhibition based on control %=DcDtDc×100, 4

where DC represents the diameter of the mycelium or spores that have germinated into mycelium on the control mangoes on the measurement date, and Dt represents the diameter of the mycelium or spores that have germinated into mycelium on treated mangoes on the measurement date.

Fourier transform infrared (FTIR) spectroscopy measurement

The FTIR measurements were performed on the surface of mangoes treated with SM+TO 0.08% and control mangoes after storage at 30±2°C for 10 days. The analysis was conducted using an FTIR instrument (PerkinElmer, MA, USA). A zinc selenide internal reflection crystal with an incidence angle of 45° was employed to collect spectra. Measurements were taken with a resolution of 4 cm–1 by using 16 scans per spectrum. The spectral range extended from 4,000 to 400 cm–1. The spectral data obtained were analyzed using the Spectrum One software to identify key chemical compositions and structural changes in mangoes during the storage period.

Scanning electron microscopy (SEM) of mangoes

The surface morphology of mangoes treated with SM+TO 0.08% and control mangoes, stored at 30±2°C for 10 days, was examined using a SEM (Zeiss Merlin Compact, Carl Zeiss Microscopy GmbH, Munich, Germany). The analysis focused on the structure of mango cells and the areas naturally infected with mold on mango surfaces. Specimens were mounted on stubs and coated with a thin layer of gold to enhance conductivity. The samples were subsequently analyzed under SEM, following the method outlined by Matan and Songsamoe (2025).

Statistical analysis

All analyses were performed in triplicate, and the results were expressed as mean±SD of three replications. Statistical analysis was carried out using one-way analysis of variance (ANOVA), followed by Duncan’s post hoc test to identify statistically significant differences (P < 0.05). A t-test (P < 0.05) was used to compare the control and treatment groups during mango storage and in the mode of action section. All statistical analyses were conducted using the Statistica software (StatSoft, OK, USA).

Results

Effect of SM and TO on ripening and anthracnose disease suppression in mango peel

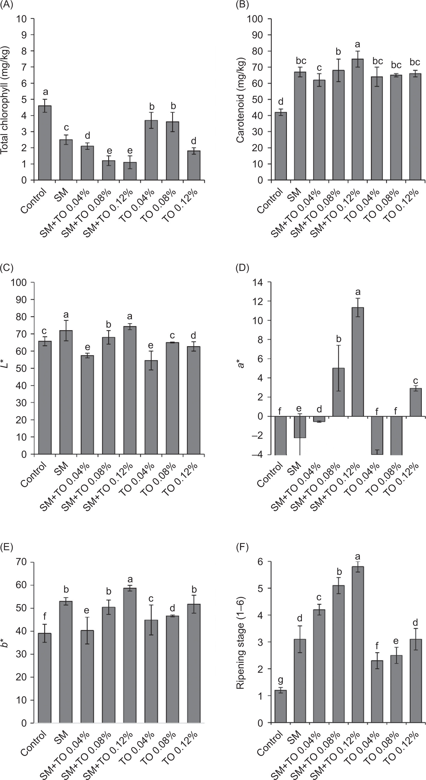
The effectiveness of 15 min SM treatment combined with TO at 0.04%, 0.08%, and 0.12% concentrations is shown in Figures 2A2F. Mangoes treated with SM+TO differed significantly from those treated with SM, TO, or the control mangoes (P < 0.05), exhibiting higher lightness values. Chlorophyll content was reduced, while carotenoid content increased, resulting in a bright yellowish-green peel. Changes in chlorophyll (Figure 2A) and carotenoid content (Figure 2B) were used as indicators of fruit ripening. The application of SM+TO 0.04% accelerated mango ripening, with a more pronounced effect observed as TO concentration increased to 0.08% and 0.12%. Among the treatments, maximum reduction in chlorophyll content (1.1 mg/kg) and the maximum carotenoid content (75 mg/kg) were observed in mangoes treated with SM+TO 0.12%. The SM+TO 0.08% treatment resulted in chlorophyll and carotenoid contents of 1.2 mg/kg and 68 mg/kg, respectively. SM vapors alone promoted moderate ripening, with chlorophyll and carotenoid levels of 2.5 mg/kg and 67 mg/kg, respectively. In contrast, the control samples exhibited the maximum chlorophyll content of 4.6 mg/kg and the minimum carotenoid content of 42 mg/kg. The application of TO alone slightly promoted mango ripening, indicating a modest effect on ethylene production and color development. In contrast, the combined treatment with SM vapors and TO markedly accelerated ripening, with significant changes in peel color, chlorophyll degradation, and carotenoid accumulation observed within 24 h of storage at room temperature. These results suggest a synergistic effect of SM and TO in triggering ethylene-mediated metabolic pathways, resulting in faster and more uniform ripening, compared to TO or SM applied individually.

Figure 2. (A) Total chlorophyll, (B) carotenoid content, (C) L*, (D) a*, (E) b*, and (F) ripening scale of control mangoes and mangoes treated with SM, SM+TO 0.04%, SM+TO 0.08%, SM+TO 0.12%, TO 0.04%, TO 0.08%, and TO 0.12% after treatment and storage at 30±2°C for 24 h. Note: a−gDifferent superscript alphabets indicate significant differences among treatments (P < 0.05).

The color values (L*, a*, and b*) of mango peel (Figures 2C–2E) were found to be consistent with reduced chlorophyll content and increased carotenoid content. Additionally, the ripening scale (Figure 2F) and visual appearance of mangoes (Figure 3B) after 24 h of treatment further supported these findings: ripening progressed, lightness (L *) increased, the green value (a*) shifted toward positive values, and the yellow value (b*) increased significantly (P < 0.05). Mangoes treated with SM+TO 0.08% (L* ∼68) and SM+TO 0.12% (L* ∼74) exhibited higher lightness values (Figure 2C). A reduced green intensity was observed, as indicated by higher a* values in SM+TO 0.08% (a* ∼5.01) and SM+TO 0.12% (a* ∼11.02). Additionally, a more pronounced yellow hue was recorded with b* values of 50 and 58 for SM+TO 0.08% and SM+TO 0.12%, respectively. When compared to visual appearance, mangoes treated with SM+TO 0.12% exhibited the most intense yellow coloration, followed by those treated with SM+TO 0.08% and SM alone (Figure 3B). These findings were consistent with the ripening scale (Figure 2F), where mangoes treated with SM+TO 0.12% and SM+TO 0.08% had ripening scale scores of 5 and 6, respectively, corresponding to ripening stages 5 (70–90%) and 6 (90–100%).

Figure 3. (A) Disease incidence of control mango and mangoes treated with (SM), SM+TO 0.04%, SM+TO 0.08%, SM+TO 0.12%, TO 0.04%, TO 0.08%, and TO 0.12% after treatment and storage at 30±2°C for 10 days, and (B) visual appearance of control and treated mangoes after 24 h of storage. Note: a−fDifferent superscript alphabets indicate significant differences among treatments (P < 0.05).

Based on color parameters and visual assessment, the combination of SM and TO was shown to accelerate mango ripening effectively. This treatment was associated with notable changes in mango peel, including chlorophyll degradation, carotenoid accumulation, and increased cell wall metabolic activity, which together contributed to the development of a uniform bright yellow color. The observed progression of these cellular and biochemical changes suggests that -ethylene-mediated ripening pathways may have been activated more rapidly in treated fruits, compared to those exposed to SM or TO alone, leading to a faster and more uniform ripening. Such accelerated ripening may, however, increase susceptibility to fungal infection.

Disease incidence (DI), determined by the occurrence of anthracnose on mango peel after 10 days of storage at room temperature, is shown in Figure 3A. Treatments with SM alone and SM combined with TO 0.08% were most effective in inhibiting anthracnose development while also maintaining the best yellowish-green peel color, with DI ranging from 10% to 20%. These results were significantly lower than those observed in the control group, which exhibited a DI of 100%, and in mangoes treated with TO alone, which showed a DI of 90% (P < 0.05). Although SM combined with TO 0.12% accelerated fruit ripening more rapidly, it did not effectively inhibit disease, as DI remained high at 90%. This suggests that excessively fast ripening may increase susceptibility to fungal infection. Based on these observations, mangoes treated with SM+TO 0.08% were selected for further studies on shelf life and potential modes of action, as this treatment achieved the lowest disease incidence while still promoting uniform ripening. The reduced disease incidence observed at TO 0.08% may be attributable to a combination of moderated ripening kinetics and possible antifungal effects on the fruit surface, which together may have limited fungal colonization during storage. In contrast, increasing TO concentration to 0.12% further accelerated ripening but was accompanied by a markedly higher disease incidence, suggesting increased vulnerability to fungal infection. Excessively rapid ripening at higher TO concentrations may have compromised peel integrity and natural defense responses, thereby creating more favorable conditions for development of anthracnose. Overall, these results underscore the importance of optimizing TO concentration to achieve a balance between ripening promotion and effective -disease control.

Quality of mangoes treated with SM and TO during storage at room temperature

The quality of mangoes treated with SM and TO during storage at room temperature is demonstrated in Figures 4A4F. From Figure 4, it was observed that mangoes treated with SM+TO 0.08% exhibited lower weight loss, maintained greater firmness throughout the storage period, and showed a gradual increase in TSS and a gradual decrease in TA. In addition, color changes were less pronounced, and DI values were significantly lower than those of the control (P < 0.05). The control group, stored at room temperature, experienced rapid weight loss. On day 10 of storage, a weight loss of up to 7.5% was observed. In contrast, mangoes treated with SM+TO 0.08% retained their weight better, with a weight loss of only 1.1% on day 10 of storage (Figure 4A). The evaluation of firmness (Figure 4B), TSS (Figure 4C), and TA (Figure 4D) showed that mangoes in the control group ripened within 5–7 days during storage at room temperature. Firmness and TA decreased to 40–32 N and 0.1–0.4, respectively, while TSS increased to 18–19 °Brix. Mangoes ripened and spoiled quickly on days 7–10, with firmness dropping to 20 N on day 10. On the other hand, mangoes treated with SM+TO 0.08% began ripening within 24 h after treatment. However, after treatment, firmness remained consistent, decreasing from 45 N to 28 N over the 10-day storage period. TSS values increased gradually, making the mangoes sweeter, with TSS values similar to those of the control group by day 7 (18–19 °Brix). TA decreased gradually, reaching a value 0.21 higher than the control group on day 10 of storage.

Figure 4. (A) Weight loss, (B) firmness, (C) total soluble solids (TSS), (D) titratable acidity (TA), ∆E, and disease incidence of control mango and mangoes treated with SM+TO 0.08% during storage at 30±2°C for 10 days. Note: a−bDifferent superscript alphabets indicate significant differences among treatments (P < 0.05).

For change in color (∆E), mangoes treated with SM+TO 0.08% exhibited significantly lower changes in ∆E, compared to the control group (P < 0.05), with values ranging from 5 to 8 throughout the 10-day storage period (Figure 4E). In contrast, the control group showed an increase in ∆E, with values reaching 42–55 by day 5 and continuing to rise on day 10 of storage. Additionally, the effect of DI during storage showed that mangoes treated with SM+TO 0.08% were highly effective in inhibiting disease development on mango peel (Figure 4F). No disease was observed in the treated mangoes up to 7 days after treatment, with a DI of only 10% on day 10 of storage. In contrast, the control group showed disease incidence reaching nearly 50% on day 3, increasing to 100% by day 7 of storage.

Mechanism of ripening acceleration and antifungal activity of SM with TO

Figure 5 shows that mangoes treated with SM+TO 0.08% produced significantly higher levels of ethylene, CO2, TPC, and antioxidants than the control fruit (P < 0.05). At the same time, fungal growth on the peel was prevented, and H2O2 accumulation was markedly reduced compared to the control (P < 0.05). After the mangoes were treated with SM+TO 0.08%, ethylene gas was detected at levels ranging from 0.2 to 0.3 µmol/kg within the first 1–6 h, with the concentration increasing to 0.48 µmol/kg after 12 h, prior to gradually decrease at 18 and 24 h (Figure 5A). This increase in ethylene production was found to correlate with CO2 levels, which were associated with mangoes’ metabolism. The highest CO2 concentration, 55 µmol/kg, was recorded at 18 h (Figure 5B), consistent with the findings of Zhang et al. (2022), who reported that increased ethylene production in mangoes accelerates ripening and enhances surface metabolism. In contrast, the control group showed no detectable ethylene gas within first 12 h, with only a minimal amount (0.1 µmol/kg) detected at 24 h. Similarly, CO2 level was significantly lower in the control group, measuring only 10 µmol/kg at 24 h.

Figure 5. Changes in (A) ethylene, (B) CO2, (C) total phenolic content, (D) vitamin C equivalent antioxidant capacity (VCEAC), (E) hydrogen peroxide (H2O2) of control mangoes and mangoes treated with SM+TO 0.08% after treatment and storage at 30±2°C for 24 h, and (F) mold inhibition based on the control of Colletotrichum gloeosporioides inoculated on mangoes treated with SM+TO 0.08% during storage at 30±2°C for 10 days. Note: a−bDifferent superscript alphabets indicate significant differences among treatments (P < 0.05).

The TPC (Figure 5C) and VCEAC (Figure 5D) content of mangoes treated with SM+TO 0.08% were found to have significantly increased (700–850 mg GAE/g), compared to the control group (100–200 mg GAE/g), showing more than a six-fold increase. The VCEAC levels (23–27 mg/100 g) were also twice as high as those of the control group (15–16 mg/100 g). Furthermore, the results of H2O2 content (Figure 5E) showed that the treatment group exhibited increased antioxidant or antifungal activity, leading to a decrease in H2O2 levels from 2.1 to 1.4 mg/kg within 24 h after treatment. In contrast, the control group showed an increase in H2O2 levels from 2.8 to 3.2 mg/kg. Furthermore, mangoes treated with SM+TO 0.08% showed no spore germination of C. gloeosporioides on mango peel for more than 7 days after treatment, with slight mold growth observed but with an inhibition rate of over 92%, compared to the control group. In contrast, mycelial growth was observed in the control group starting on day 3 of storage, but the inhibition rate remained high at 79% on day 10 (Figure 5F).

The FTIR spectra (Figure 6) revealed 10 distinct peaks on the surface of control mangoes, whereas 12 peaks were detected on the surface of mangoes treated with SM+TO 0.08%. Additional peaks were attributed to mango ripening, particularly the peak at 1,105 cm–1, and to TO components deposited on the mango surface, indicating that the treatment resulted in chemical modifications associated with retention of TO. In all, 10 of the peaks were related to chemical features typically observed during mango ripening, corresponding to basic chemical groups. A broad band observed around 3,300 cm–1 was attributed to the stretching vibrations of intermolecular and intramolecular –OH bonds (Zhang et al., 2024). Both control and treated mangoes exhibited functional groups associated with water loss, which correlated with weight loss. Enhanced bands in the range of 2847–2915 cm–1 were attributed to –C–H stretching vibrations. The peak at 1,105 cm–1 in the treated mangoes represented the vibration of –C–C–, –C–O–, and –C–H– bonds, which were assigned to the pyranose ring structure commonly found in sugars. This confirmed that the ripening process was related to an increase in sugar groups on mango peel (Zhang et al., 2024). Additionally, functional group peaks related to SM and TO were observed. A carbonyl C=O stretching vibration at 1,640 cm–1 and a stretching vibration for carboxylate group at 1,464 cm–1 corresponded to the ester group, which is the main component of TO in aromatic compounds, including the flavors of mangoes (Qambrani et al., 2022). The bands at 500–400 cm–1 were attributed to C=O and S=O stretching, indicating the presence of main components of TO, such as citral and limonene, antimicrobial compounds found in TO (Bajaj et al., 2024).

Figure 6. The FTIR spectrum of the control group mangoes and the mangoes treated with SM+TO 0.08% after storage at 30±2°C for 10 days.

The surface morphology of mangoes in the control group after 10 days of storage (Figure 7A) was characterized by a highly porous texture, attributed to decay and water loss. In contrast, the surface of mangoes treated with SM+TO 0.08% appeared smoother, resembling a coated layer that minimized water loss and reduced weight loss, compared to the control mangoes. In addition, natural fungal spore germination (Figure 7C) and mycelial growth (Figure 7E) were observed on the mango surface, with spores and mycelia exhibiting normal structures and covering the peel. However, in mangoes treated with SM+TO 0.08%, the fungal spores appeared collapsed and deformed, preventing germination (Figure 7D). Moreover, only minimal mycelial growth with short hyphae was detected on the peel of treated mangoes (Figure 7F).

Figure 7. The SEM images of mango surfaces: (A) control and (B) SM+TO 0.08% treatment; (C) spores of natural mold on -control, and (D) treated mangoes; (E) mycelial structures on control, and (F) treated mangoes after storage at 30±2°C for 10 days.

Discussion

This experiment confirmed that the combined action of SM vapors containing TO was effective in accelerating mango ripening while maintaining good fruit quality. SM had previously been reported to facilitate ripening through both traditional and conventional methods, which induced physical and biochemical changes and contributed to the breakdown of cell wall components in fruit. In this study, mangoes subjected to SM treatment exhibited an increase in L* and b* values and a decrease in a* values after 15 min of exposure only. However, mangoes treated with SM alone had a shorter shelf life, indicating that SM is to be combined with other methods for effective application.

The addition of TO further enhanced the ripening effect while also providing antifungal benefits. Mangoes treated with SM+TO showed higher L* (brightness) and b* (yellowness) values compared to those treated with SM alone, with the highest values observed among all treatments. Additionally, a* values remained positive, indicating the absence of green coloration. The concentration of TO in the wood used for SM production was found to be a critical factor. Insufficient amounts (TO 0.04%) in wood failed to inhibit fungal growth, while excessive amounts (TO 0.12%) promoted the proliferation of opportunistic fungi already present on mangoes, leading to decay.

These findings were consistent with those of Chaidech and Matan (2023), who reported that excessive concentrations (300 µL) of cardamom oil resulted in a high disease incidence of 92% on stored rambutans by day 14. In contrast, applying only 30 µL of cardamom oil in a paper box effectively delayed mold incidence throughout the 14-day storage period. Similarly, in this study, the application of SM+TO 0.08% was found to accelerate mango ripening within 1 day and suppress disease development for up to 7 days. In addition, the use of SM+TO 0.08% was observed to prevent quality loss during storage at room temperature. Mango weight loss, firmness, and titratable acidity (TA) gradually decreased, while total soluble solids (TSS) increased over the 10-day storage period. This gradual change contributed to the maintenance of fruit integrity. The skin color of treated mangoes remained consistently yellow throughout the 10-day storage period, with stable ΔE values. The quality of mangoes subjected to ripening acceleration was superior to that of the control group, in which decay was observed alongside ripening by day 5 of storage. In addition, Yadav et al. (2022) reported that citrus essential oil, incorporated into a mango kernel seed starch-based edible coating, was found to increase acidity, TSS, textural properties, phenolic content, and sensory profiles, indicating improved fruit quality. In their study, the essential oil in vapor phase was also shown to extend effectively the storage life of the fruit while maintaining postharvest quality.

Mangoes exposed to SM vapors containing TO produced a significant amount of ethylene gas within 12 h post-treatment, triggering metabolic processes associated with ripening. Elevated CO2 levels were observed at 18 h, demonstrating that SM+TO 0.08% enhanced enzymatic activity related to ethylene production. The presence of ethylene gas was directly linked to accelerated ripening, consistent with the findings of Zhang et al. (2022). Consequently, ethylene production was enhanced, and metabolic pathways involved in ripening were stimulated by TO vapors. Saengwong-Ngam and Matan (2024) reported that when TO was heated to 50°C using a heat pad for 10 min and placed in a chamber containing green bananas, a rapid decrease in chlorophyll content was induced by increased respiration, resulting in elevated ethylene and CO2 levels. Furthermore, warm TO treatment was observed to induce ethylene production in a manner similar to acetylene treatment. The incorporation of TO into the wood used for SM generation also played a crucial role in promoting uniform ripening under ambient temperature conditions. Room temperature facilitated the slow evaporation of TO on the mango surface, contributing to consistent ripening throughout the 10-day storage period. The gradual release of TO under ambient conditions was found to be more effective compared to cold storage.

In this study, SM was applied, although it has long been used as a method to accelerate fruit ripening, because SM particles are reported to penetrate fruit peel and absorbed into the flesh (Nasir et al., 2024). Although this technique raised safety concerns because wood SM may contain PAHs, tertiary tar components formed by pyrolysis and biomass gasification that can exert toxic, mutagenic, and/or carcinogenic effects, the presence of PAHs in food depends on the type of food and the duration of exposure. Foods with high fat content are at greater risk of PAH contamination, whereas PAH levels generally decrease when food is positioned farther from the heat source. Cooking time may moderately increase PAH levels in some foods, although concentrations tend to decrease when cooking time is extended, as observed in barbecued foods smoked for 30–40 min (Rose et al., 2015).

In this study, SM was applied to mango, a low-fat fruit, for only 15 min. The SM source was positioned away from the fruit in the designed chamber. Previous studies reported that packaging surfaces made from coconut fiber containing essential oils were smoked for 60 min and then applied to dried fish. Under these experimental conditions, PAHs were detected in the treated fish at levels below the detection limit (Sinthupachee et al., 2023). Therefore, the use of SM+TO 0.08% was considered safe with respect to PAHs. Furthermore, because mangoes are peeled prior to consumption, the edible flesh is expected to be free from PAHs at levels that could pose a health risk.

For the antifungal function of SM+TO 0.08%, TO vapors not only promoted fruit ripening but also inhibited development of anthracnose. SM and TO formed a functional protective layer on the mango surface, enhancing fungal resistance, particularly because of key TO components, such as limonene and citral. In this study, TO was found to contain approximately 75% limonene. Limonene is confirmed to play a significant role in fungal resistance mechanism in fruits and vegetables (Owolabi et al., 2021) and is identified as a key factor in maintaining postharvest quality (Promwee and Matan, 2025). The antifungal activity of SM+TO 0.08% against fungal infection on mango surface was supported by previous reports indicating that limonene or citral, the major components of citrus fruit essential oil, interfered with the energy metabolism system and inhibited the glycolysis pathway of mold. Ergosterol content in cell membranes was reduced, while alterations in β-galactosidase activity, metal ion leakage, and relative conductivity confirmed membrane disruption, leading to the leakage of intracellular contents (Zhao et al., 2023).

In addition, d-limonene, the main fragrance of citrus peels, was reported to increase membrane permeability and cause structural damage, resulting in the failure of ion transshipment and generation of adenosine triphosphate (ATP), disruption of intracellular ion homeostasis, and leakage of proteins in yeast and mold, thereby altering cell morphology (Yu et al., 2022). However, it must be noted that based on these results, TO alone could not inhibit mold. This could be due to the low concentration of essential oil, which was insufficient to suppress fungal growth. A potential synergistic interaction between compounds in SM and the main components of TO is also considered a possible factor, which requires further investigation.

In addition, SM contained antimicrobial compounds, including formaldehyde, aldehydes, acids, and alcohols, which contributed to microbial inhibition. However, in this study, SM alone could not suppress development of anthracnose over 10 days and therefore had to be combined with TO. Furthermore, in this study, a clear reduction of fungal infection on mango surface was observed after exposure to SM+TO 0.08%. SEM images revealed that the mango surface appeared smoother after exposure, while natural spores present on the surface collapsed and turned morphologically abnormal, which inhibited subsequent mycelial growth. These findings indicated that the combined action of SM and TO inhibited spore germination, resulting in a lower disease incidence after 10 days of storage. In contrast, abundant spore germination and mycelial growth were observed on the surfaces of control mangoes. This mechanism contributed to the extension of mango shelf life under ambient storage conditions. These results were consistent with the reports of Yu et al. (2022), which -demonstrated that limonene possesses antifungal properties. Yeast cells were significantly deformed, exhibiting surface shrinkage and adherence. Interestingly, multiple cells aggregated into masses, with their surfaces enveloped in a transparent membrane.

A possible mechanism was proposed in which limonene, a volatile monoterpene, was able to interact with SM, which was confirmed to be linked to color changes in mango during ripening. Ethylene levels increased to 0.48 µmol/kg after 12 h; therefore, limonene was suggested to be associated with mango ripening, playing a significant role in accelerating the ripening process during the first 5 days and helping to prevent anthracnose until 10 days of storage. Limonene was previously reported to expand the pore size of the fruit peel microstructure, which was closely related to moisture migration from the flesh to the peel during ripening. This process resulted in reduced firmness and increased TSS. The enlarged pores of the peel caused exposure of the inner flesh to release of moisture. After exposure to TO vapors, carbohydrates were broken down with water molecules, leading to osmotic transfer that increased pore size and promoted moisture migration (Saengwong-Ngam and Matan, 2015). In this study, a peak at 1,105 cm–1 was observed in the FTIR spectrum, indicating mango ripening through sugar-related bonds. However, SEM images revealed that mangoes treated with SM+TO 0.08% exhibited a smoother, coated-like surface, which minimized water loss and reduced weight loss compared to the control. Accelerated ripening was observed within the first 5 days, resulting in a greater degree of ripening compared to the control. However, a thin film observed on mango peel appeared to moderate the process after 5 days. By day 10, firmness and titratable acidity gradually stabilized and decreased slowly, while TSS continued to increase at a slower and more consistent proportion compared to the rapid increase observed in the first 5 days. These findings indicated that although pore size was enlarged during the initial ripening stage, the formation of a thin film regulated water release and moderated the overall ripening process. Thus, the formation of this thin film, induced by TO vapors combined with SM, was considered critical for balancing pore size during ripening while reducing weight loss. Further investigation was suggested regarding the properties of this film.

In addition, the thin coating layer formed on mango peel was found to increase the TPC and antioxidant activity of fruit peel during accelerated ripening, which was associated with change in color from green to yellow. Chlorophyll was reported to degrade, while antioxidant capacity increased with ripening of the fruit. According to Palafox-Carlos et al. (2012), the antioxidant activity of phenolic acids increased during mango ripening. This suggests that these phenolic compounds could play an important role in antioxidant metabolism in mango fruit during ripening, thereby promoting health benefits to consumers. In this study, higher antioxidant levels were found in mango treated with TO vapors. Bioactive compounds from essential oil are considered to have contributed to accelerated ripening, producing yellow fruit with green tips. Therefore, the physical characteristics of mango pores, the formation of a thin film, and the presence of antioxidants are considered as key mechanisms driving accelerated ripening while controlling water loss. However, further experiments are required to confirm interactions between these compounds.

Additionally, SM was found to contain natural antimicrobial compounds, including aldehydes, ketones, acids, alcohols, esters, hydrocarbons, phenols, ethers, acetic acid, phenol, and carbonyls (Faisal et al., 2025), which acted as a protective barrier on the mango surface. These compounds contributed to microbial reduction, as observed through FTIR analysis, which revealed the presence of functional bonds originating from both SM and TO. The incorporation of SM with essential oils was shown to enhance antifungal efficacy. These findings were consistent with those of Kabploy et al. (2023), who reported that the combined effects of orange oil and SM treatment for 10 min in paper egg tray packaging effectively extended the shelf life of egg products. Furthermore, SM compounds were found to be easily modified on the surface of paper egg trays, demonstrating their potential in functionalizing implanted materials with antibacterial properties. Similarly, Sinthupachee et al. (2023) found that the application of Litsea cubeba oil combined with SM for 60 min completely inhibited the growth of spoilage molds and mold-related diseases on dried fish, thereby improving its organoleptic properties and enhancing consumer satisfaction.

The combined application of SM and TO 0.08% resulted in a reduction in chlorophyll content and an increase in carotenoid levels as well as a delay in the onset of anthracnose disease. This effect was correlated with an increase in TPC and antioxidant capacity (VCEAC) after treatment, which played a crucial role in inhibiting fungal spore germination and mycelial growth. This effect was particularly evident in controlling C. gloeosporioides, the causative agent of anthracnose, as demonstrated by the morphological changes observed in SEM analysis. The increased TPC and antioxidant capacity observed in the SM+TO 0.08% treatment group was attributed to higher levels of essential oil, which acted as a thin coating film on mango surface. Several bioactive compounds in the essential oil found on the mango surface were associated with both ripening and antifungal activity (Matan and Songsamoe, 2025), which played a crucial role in enhancing fungal resistance. A decrease in H2O2 content observed 24 h after treatment was found to be consistent with the increase in TPC and antioxidant activity, both of which were enhanced after treatment. Reduced H2O2 levels in treated mangoes was probably due to its involvement in antioxidant reactions, aligning with the findings of Phakawan et al. (2025).

The role of antioxidant enzymes present in essential oils on fruit surfaces has been widely recognized, as they are reported to prevent oxidative stress. These enzymes catalyze the conversion of H2O2 into oxygen and water, thereby reducing the probability of free radical formation. This mechanism was associated with antifungal activity and the prevention of cellular changes in mangoes. The findings confirmed that the H2O2 level in control mangoes increased due to the absence of antioxidant activity during the first 24 h. In contrast, a reduced H2O2 levels was observed in treated mangoes starting 1 h after treatment and continuing up to 24 h during storage at room temperature. These results confirmed that the active compounds in SM and TO at this concentration played a crucial role in antifungal activity and in preventing cellular changes in mangoes, even when stored at room temperature. Therefore, this mango ripening method effectively reduced postharvest losses because of decay during transportation. Additionally, it allowed mangoes to be transported under ambient conditions, minimizing the need for cold storage and extending marketability.

In this study, it was found that SM with TO 0.08% could accelerate mango ripening and maintain good fruit quality after 10 days of storage, making the mangoes suitable for marketing. This method was considered applicable at the industrial level because the existing fumigation chambers could be used, requiring only scale up to accommodate the desired number of mangoes per treatment, typically 300–400 fruits at a time. An advantage of this method was reduced transportation costs, as refrigeration was not required. In tropical countries such as Thailand, where the average annual temperature is around 30°C (Owolabi et al., 2021), refrigerated transport at 10–13°C is normally needed for 24–72 h during shipment from farms to markets. Using this method, transport could be carried out directly from the farm without refrigeration, improving cost-effectiveness. Furthermore, the minimal amount of required TO made the approach economically feasible.

Citrus essential oils could also be obtained from discarded peels, and their extraction and utilization were therefore considered highly beneficial. Regarding sensory quality, the use of only TO 0.08% was not found to affect sensory attributes. Previous studies also showed that citrus essential oils, including TO, were well accepted by consumers when applied to fruits (Phothisuwan et al., 2021). Future studies are recommended to analyze thin-film residues on mango peels and to measure volatile concentrations during transportation to optimize conditions for industrial application.

Conclusions

The combined application of SM vapors and TO 0.08% effectively accelerated mango ripening while preserving fruit quality. SM treatment alone induced ripening through physical and biochemical changes, but when combined with TO, it enhanced the ripening process and improved antifungal properties. The inclusion of TO in SM increased mango respiration, as indicated by ethylene production and CO2 levels measured at 12 and 18 h after treatment, respectively. This resulted in accelerated mango ripening, with lower TA and higher TSS during the first 5 days of storage at room temperature. This study demonstrated that the mangoes underwent consistent ripening, free from anthracnose disease, by enhancing the fruit’s antioxidant capacity and TPC on mango peel. Furthermore, the natural antimicrobial compounds in SM and TO, including limonene, aldehydes, ketones, and phenols, formed a protective barrier on mango skin, inhibiting fungal growth and extending shelf life. This approach also helped to prevent oxidative stress, maintain fruit quality, and enhance marketability by reducing the need for cold storage. Therefore, this method offers a cost-effective and sustainable approach for mango ripening and preservation during transportation. Further studies should focus on testing the gas composition that aids in preserving mangoes during transportation at room temperature.

Data Availability

Data available on request due to privacy or ethical restrictions.

AI Statement

During the writing/preparation of our manuscript, the author(s) used ChatGPT to check grammar. After using this tool/service, the author(s) reviewed and edited the content as needed and take(s) full responsibility for the content of the publication.

Ethical Approval

This study did not involve human or animal subjects. All microbiological experiments were conducted in accordance with the Institutional Biosafety Committee of Walailak University (Thailand) under protocol number WU-IBC-67-034. In addition, this study was reviewed and approved by the Ethics Committee in Human Research, Walailak University, based on the Declaration of Helsinki, with approval number WUEC-24-144-01.

Author Contributions

Narumol Matan: conceptualization, data curation, formal analysis, investigation, methodology, validation, resources, software, writing – original draft, writing – review & -editing, visualization, supervision, project administration, and fund acquisition. Katthayawan Khunjan: data curation, formal analysis, investigation methodology, validation, resources, and writing – review & editing.

Conflict of Interest

The authors declared no conflict of interest.

Funding

The present work was financially supported by the Research Center of Excellence in Innovation of Essential Oils and Bioactive Compounds, Walailak University, Thailand.

REFERENCES

Bajaj, K., Kumar, A., Gill, P.P.S., Jawandha, S.K., Arora, R., and Singh, A. 2024. Guar gum and essential oil-based composite coatings preserve antioxidant enzymes activity and postharvest quality of kinnow Mandarin. Food Bioscience 61: 104906. 10.1016/j.fbio.2024.104906

Chaidech, P., and Matan, N. 2023. Cardamom oil-infused paper box: enhancing rambutan fruit post-harvest disease control with reusable packaging. Food Science and Technology (LWT) 189: 115539. 10.1016/j.lwt.2023.115539

Droby, S., Wisniewski, M., and Benkeblia, N. 2011. Postharvest pathology of tropical and subtropical fruit and strategies for decay control, Chap. 6. In: Yahia, E.M. (ed.) Food Science, Technology and Nutrition, Postharvest Biology and Technology of Tropical and Subtropical Fruits. Woodhead, Cambridge, UK, pp. 194–224. 10.1533/9780857093622.194

Faisal, M., Desvita, H., Heriansyah, M.B., Abubakar, Y., Djuned, F.M., Mansur, D., Ramadhani, P., Ariani, N., Khoirunnisa Darmawan, A., Mustikarari, R., Answer, M., and Rizal, W.A. 2025. Chitosan-liquid smoke-based composite coating for extending the shelf life of cherry tomatoes. Case Studies in Chemical and Environmental Engineering 11: 101155. 10.1016/j.cscee.2025.101155

Jaimun, R., and Sangsuwan, J. 2019. Efficacy of chitosan-coated paper incorporated with vanillin and ethylene adsorbents on the control of anthracnose and the quality of Nam Dok Mai mango fruit. Packaging Technology & Science 32(8): 383–394. 10.1002/pts.2446

Kabploy, K., Sukmas, S., Phothisuwan, S., Sinthupachee, A., Kongchoosi, N., and Matan, N. 2023. Development of an antimicrobial fungal egg tray containing orange oil and smoke for eggs preservation at room temperature. Poultry Science 9: 102885. 10.1016/j.psj.2023.102885

Lee, Y.C., Yu, M.C., Tsay, J.S., Hou, C.Y., Huang, P.H., and Liang, Y.S. 2024. Investigation of different nanoemulsion coatings to prevent anthracnose and maintain quality parameters during storage of Irwin mango. Food Science and Technology (LWT) 205: 116501. 10.1016/j.lwt.2024.116501

Matan, N., and Songsamoe, S. 2025. The effect of corrugated box containing orange oil to delay ripening in green mango and its mechanism of action. Journal of Food Science and Technology 1–12. 10.1007/s13197-025-06229-8

Nasir, U., Ismail, A., Riaz, M., Razzaq, K., Ali, S., Hussain, A., Ameen, M., Saif, A., Aslam, F., Fernandes, C.A., and de Oliveira, C.A.F. 2024. Exploring fruit ripening methods: conventional, artificial, and novel approaches for quality and health. Food Control 165: 110626. 10.1016/j.foodcont.2024.110626

Owolabi, I.O., Songsamoe, S., and Matan, N. 2021. Combined impact of peppermint oil and lime oil on mangosteen (Garcinia Mangostana) fruit ripening and mold growth using closed system. Postharvest Biology and Technology 175: 111488. 10.1016/j.postharvbio.2021.111488

Palafox-Carlos, H., Yahia, E.M., and González-Aguilar, G.A. 2012. Identification and quantification of major phenolic compounds from mango (Mangifera indica, cv. Ataulfo) fruit by HPLC–DAD–MS/MS-ESI and their individual contribution to the antioxidant activity during ripening. Food Chemistry 135(1): 105–111. 10.1016/j.foodchem.2012.04.103

Phakawan, J., Thaisamak, P., Wannasawad, K., and Supapvanich, S. 2025. Chitosomes incorporated with sweet basil oil (Ocimum basilicum L.): protecting anthracnose and preserving the postharvest quality of ‘Nam Dok Mai’ mangoes. Postharvest Biology and Technology 219: 113252. 10.1016/j.postharvbio.2024.113252

Phothisuwan, S., Koomhin, P., Matan, N., and Matan, N. 2021. Quality maintenance of salacca fruit with a carnauba wax coating containing orange oil and detection of sensory perception improvement with electroencephalography to appraise brain responses. Food Science and Technology (LWT) 147: 111628. 10.1016/j.lwt.2021.111628

Promwee, A., and Matan, N. 2025. Revealing the mechanism underlying the use of pre-harvest nano-emulsion of citrus essential oil for reducing browning injury and maintaining postharvest quality of chili during cold storage. Postharvest Biology and Technology 219: 113274. 10.1016/j.postharvbio.2024.113274

Qambrani, S., Talpur, F.N., Panhwar, A.A., Afridi, H.I., Talpur, M.K., Khan, A., and Hab, S.A. 2022. Development of guar gum-based coating with castor oil for improved postharvest quality of fresh mangoes using response surface methodology. Applied Food Research 2(2): 100220. 10.1016/j.afres.2022.100220

Rose, M., Holland, J., Dowding, A., Petch, S.R., White, S., Fernandes, A., and Mortimer, D. 2015. Investigation into the formation of PAHs in foods prepared in the home to determine the effects of frying, grilling, barbecuing, toasting and roasting. Food and Chemical Toxicology 78: 1–9. 10.1016/j.fct.2014.12.018

Sabuz, A.A., Chowdhury, M.G.F., Molla, M.M., Khan, M.H.H., and Miaruddin, M. 2019. Effect of ethephon on ripening and postharvest quality of mango. Bangladesh Journal of Agricultural Research 44(3): 453–467. 10.3329/bjar.v44i3.43478

Saengwong-Ngam, R., and Matan, N. 2024. A novel technique for inducing ripening and controlling fungal growth in green bananas using warm tangerine oil vapor and its possible modes of action. Food Control 165: 110625. 10.1016/j.foodcont.2024.110625

Sinthupachee, A., Matan, N., and Matan, N. 2023. Development of smoke flavour-antimicrobial packaging from coconut fibre using Litsea cubeba essential oil and wood smoke for dried fish preservation and reduction of PAH. Food Control 148: 109629. 10.1016/j.foodcont.2023.109629

Sivakumar, D., Jiang, E., and Yahia, E.M. 2011. Maintaining mango (Mangifera indica L.) fruit quality during the export chain. Food Research International 44: 1254–1263. 10.1016/j.foodres.2010.11.022

Yadav, A., Kumar, N., Upadhyay, A., Singh, A., Anurag, R.K., and Pandiselvam, R. 2022. Effect of mango kernel seed starch-based active edible coating functionalized with lemongrass essential oil on the shelf-life of guava fruit. Quality Assurance and Safety of Crops & Foods 14(3): 103–115. 10.15586/qas.v14i3.1094

Yahia, E.M. 2011. Mango (Mangifera indica L.) Chap. 22. In: Yahia, E.M. (ed.) Food Science, Technology and Nutrition, Postharvest Biology and Technology of Tropical and Subtropical Fruits. Woodhead Publishing, Cambridge, UK, pp. 492–567e. 10.1533/9780857092885.492

Yasmin, A., Hossain, M.M., Hafiz, M.M.H., Rabeya, T., Imran, S., Sayed, S., Graber, A., and Hossain, A. 2025. Impact of different botanical extracts on the postharvest biochemical attributes and shelf life of mango (Mangifera indica L.). Quality Assurance and Safety of Crops & Foods 17(2): 75–85. 10.15586/qas.v17i2.1529

Yu, H., Lin, Z.X., Xiang, W.L., Huang, M., Tang, J., Lu, Y., Zhao, H., Zhange, Q., Rao, Y., and Liu, L. 2022. Antifungal activity and mechanism of D-limonene against foodborne opportunistic pathogen Candida tropicalis. Food Science and Technology (LWT) 159: 113144. 10.1016/j.lwt.2022.113144

Zhang, Y., Gao, Z., Hu, M., Pan, Y., Xu, X., and Zhang, Z. 2022. Delay of ripening and senescence in mango fruit by 6-benzylaminopurine is associated with inhibition of ethylene biosynthesis and membrane lipid catabolism. Postharvest Biology and Technology 185: 111797. 10.1016/j.postharvbio.2021.111797

Zhang, Y., Pu, Y., Jiang, H., Chen, L., Shen, C., Zhang, W., Cao, J., and Jiang, W. 2024. Improved sustained-release properties of ginger essential oil in a pickering emulsion system incorporated in sodium alginate film and delayed postharvest senescence of mango fruits. Food Chemistry 435: 137534. 10.1016/j.foodchem.2023.137534

Zhang, S., Tian, S., Jiang, J., Han, D., Yu, X., Wang, K., Li, D., Lu, D., Yu, A., and Zhang, Z. 2017. Determination of antioxidant capacity of diverse fruits by electron spin resonance (ESR) and UV–Vis spectrometries. Food Chemistry 221: 1221–1225. 10.1016/j.foodchem.2016.11.036

Zhao, F., Li, Q., Wu, H., Huang, J., and Ju, J. 2023. Synergistic antifungal mechanism of effective components from essential oil against Penicillium roqueforti. Engineering Microbiology 3(1): 100057. 10.1016/j.engmic.2022.100057