Download

RESEARCH ARTICLE

Impact of increasing atmospheric CO2 concentration on growth characteristics and yield in maize and rice

X. J. Xie*, R. Y. Li, L. D. Huang, and Y. X. Bao

Collaborative Innovation Center on Forecast Meteorological Disaster Warning and Assessment, Nanjing University of Information Science and Technology, Nanjing 210044, China P.R.;[email protected]

*Corresponding Author: X. J. Xie, [email protected]

Received: 13 November 2019 / Accepted: 20 March 2020 / Published: 9 June 2020

Abstract

To assess the effect of increasing atmospheric CO2 concentration ([CO2]) on growth and yield in maize and rice, an experiment was carried out in open top chambers (OTCs) at different atmospheric CO2 concentration treatments (550 μmol/mol, T1; 750 μmol/mol, T2 and a control, CK) in Nanjing, Jiangsu, China. Our results indicated that the plant height, leaf area index (LAI), Soil and Plant Analyzer Development (SPAD) and net photosynthesis (NPn) of the maize (Zhengdan 958) and rice (Huaidao 5) at three development stages under the increasing [CO2] followed the order of CK <T1<T2. The growth indexes of two crop cultivars showed no significant differences nor did they show significant differences at certain development stages among the three CO2 treatments. The growth durations of maize and rice were delayed due to the elevated [CO2] treatments individually, but the impact before jointing was slightly greater than that after jointing. The above-ground biomass in maize was increased by 6.70–10.10%, and the above-ground biomass in rice was increased by 8.98–13.74% (P < 0.05) under the elevated [CO2] treatments. Maize yields were increased by 5.26% and 11.45%, and rice yields were increased by 19.76% and 24.43% under the T1 and T2 treatments. Other yield components of two crop cultivars were enhanced accordingly under high [CO2] treatments. The kernels per spike and crop yield showed significant differences between two high [CO2] plots and CK (P < 0.05). However, there were no significant differences for other yield components (P > 0.05).

Keywords: Open top chambers (OTCs), growth characteristics, grain yield, Zea mays L., Oryza sativa L

 

1. Introduction

Increasing atmospheric carbon dioxide concentration ([CO2]) has become an important topic in science in the last 20 years because of its profound impact on crops (IPCC, 2013). Some studies about the effect of elevated [CO2] on crop growth, development, yield and quality by an artificial controlled- environment chamber have been carried out in the recent two decades (Ashish et al., 2017; Shu et al., 2012; Wang et al., 2016). Many researchers reported that crop growth rate, crop height, leaf number, leaf area index (LAI), net photosynthesis (NPn), water use efficiency (WUE) and grain yield increased significantly under elevated [CO2] treatments (Meng et al., 2014). For instance, Bishop et al. (2015) observed that increasing [CO2] concentration had a potentially positive impact on C3 (like rice, wheat and soybean) crop production, which stimulated NPn and then led to the enhancement of above-ground biomass and grain yield. Zhang et al. (2017) found that the height, the LAI and the chlorophyll content of spring wheat were promoted under 460 and 550 μmol/mol[CO2] concentrations. Some researchers have documented the fact that rice yield (24.00–34.00%) and yield components were enhanced under elevated [CO2] values of about 580 μmol/mol (Xie et al., 2015; Yang et al., 2006). However, there are obviously different responses to elevated [CO2] for C3 and C4 crops. For example, Leakey (2009) concluded that C4 cultivars benefited from increasing [CO2], while C3 cultivars had a direct enhancement in Npn by increasing carbon dioxide concentration. Manderscheid et al. (2012) found that 550 μmol/mol elevated [CO2] obviously enhanced the maize yield by 41.00% and the biomass by 24.00% in comparison to the reduced water supply ambient plots.

Maize (Zea mays L.) ranks third in terms of quantitative grain production, and rice (Oryza sativa L.) is ranked first in China. Maize and rice comprise approximately 20.00% and 40% of the total grain output, individually. Meanwhile, maize is one of the typical C4 crops and responds to elevated [CO2] by increasing their carbon assimilation rates like C3 cultivars, such as rice. Some previous reports were associated with growth and yields of maize and rice in the increasing [CO2] plots. For example, the responsiveness to nitrogen application for maize was raised under increasing [CO2] concentration treatments mainly by increasing the response of leaf area to nitrogen application rate, and increasing the amount of required nitrogen to get the maximum yields at the same time (Figueiredo et al., 2015). The above-ground biomass and plant height in summer maize were enhanced under increasing [CO2] concentration. Increasing 2°C night warming could counteract the positive effect on biomass and yield of summer maize produced by 550 μmol/mol [CO2] concentration (Jing et al., 2017). For rice, the yield was offset by increasing carbon dioxide concentration because of high temperature in a free-air CO2 enrichment (FACE) system (Bunce 2017). In another example, Npn values of Yongyou 2640 and Liangyou No. 2 were significantly enhanced by 52.00% under increasing [CO2] concentration. Many studies usually focused on the impact of increasing [CO2] on growth and yield of one crop, such as rice or maize. However, there were few studies about both crops of maize and rice under increasing [CO2] at the same time.

Maize and rice were planted in open top chambers (OTCs) during the development periods in our field experiment. The main objective in the present study was to know how the growth characteristics and yield components responded to the increasing [CO2] in two different kinds of crops. The two aims of the study were as follows: one was to compare and determine the impact of the increasing [CO2] on growth and physiological characteristics in maize and rice, and another was to compare the difference of maize and rice in yield and yield components under increasing [CO2].

2. Materials and methods

The field experiments were carried out at the Agro-Metrological Experimental Station (32.0o07rol 118o50rol 118al Experimental Station (32.0 at the Agro-ize and rice, anwas warm and also semi-humid. The average precipitation per year is 1,100 mm, and the average air temperature was 16.70°C from 2000 to 2014, which is 0.80°C warmer when compared to the 1990s, individually. The soil in the region is a Hapli-stagnic gleysol. The total organic C content is 9.28 g/kg, the total N content is 1.06 g/kg, available P content is 6.89 mg/kg and exchangeable K content is 125 mg/kg.

The used maize cultivar was Zhengdan958. Sowing was carried out on 20 June at a rate of 50 viable seed m-2 in rows spaced 30 cm in both study years. A total of 138.00 kg N/ha was broadcast and split-applied: 50.00% at seeding, 25.00% applied at jointing and 25.00% at booting. Phosphorus and potassium were applied during preplanting as calcium superphosphate and potassium chloride at a rate of 30 kg P/ha and 40 kg K/ha, respectively. The used rice cultivar was Huaidao 5. Sowing was carried out on 18th May. One seedling was transplanted in each plastic bucket (25 cm diameter, 28 cm height) on 20th June filled with 8.0 kg Hapli-stagnic gleysol during both study years. The soil was collected from the plough layer (~15 cm of the top layer) of a rice field in Pukou, Nanjing, China, that contained 9.28 g/kg organic C, 1.06 g/kg total N, 6.89 mg/kg available P and 125 mg/kg exchangeable K. A total of 5.44 g N/kg per bucket (CO(NH2)2) was split-applied: 50.00% applied at transplanting, 25.00% at jointing and 25.00% at booting. Phosphorus and potassium were applied after planting as calcium superphosphate and potassium chloride at a rate of 1.88 mg/kg and 4.63 mg/kg, respectively. Weeding was carried out by hand in order to remove weeds before crop sowing. Fungicides and pesticides were sprayed to kill diseases and pests when they needed.

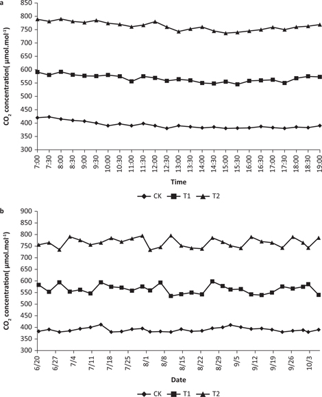
A total of nine open-top chambers (OTCs) were set up in the field according to Heagle (1973) and Krishnan et al. (2007). OTCs had metal constructions with transparent vertical side-walls and a frustum on top. An opening in the middle of the frustum allowed an air exchange in order to reduce temperature and humidity inside the chamber. CO2-enriched air was distributed from a circular tube, and air blowers ensured the uniform distribution of carbon dioxide within six chambers. The actual concentration of carbon dioxide within the OTCs was measured by using a F2000IAQ CO2 analyser (Control Technology Co. Ltd. China) and controlled by computer supported regulation of inlet valves. The experiments involved three treatments (550 μmol/mol [CO2] concentration, T1; 750 μmol/mol [CO2] concentration, T2; and environment carbon dioxide concentration as a control, CK). Rice plantation was said to be carried out from the transplanting date to the maturation date, while maize plantation was said to be conducted from the seeding date to the maturation date. Rice and maize were planted in the same OTC for one treatment. The time of elevated [CO2] was from 7:00 am to 19:00 pm in the daytime. Figure 1 showed the trends of diurnal mean CO2 concentration variation and mean CO2 concentration variation during the whole growing stages in rice and maize under three treatments in 2016.



Fig 1

Figure 1. Trends for diurnal mean [CO2] variation on 15 August (a) and mean [CO2] variation during the whole development periods (b) in two crop cultivars under different [CO2] treatments in 2016 (n = 3).

3. Sampling and analytical procedures

Sampling and measurements were done at jointing, flowering and maturing stages. The main morphological characteristics related to crop growth and development, including plant height, soil and plant analyser development (SPAD) and LAI, were measured. Plant heights were measured from surface soil to the leaf apex of the longest leaf for three replications during the jointing stage to the maturation stage.

The SPAD values were non-destructively measured on the fully expanded uppermost leaf with a SPAD-502 chlorophyll instrument (Instrument Co. Ltd.). The LAI was destructively measured using an LAI-2000 Plant Canopy Analyzer (Gene Co. Ltd., USA) and computed as the leaf area per land area. NPn was measured on the fully expanded uppermost leaf at the same growth stages as SPAD value. NPn was non-destructively measured in the clear morning from 9:30 to 11:30 using a LI-6400 portable photosynthetic system (Gene Co. Ltd., USA) under the conditions of light intensity of 1,000 μmol/m2/s, and chamber CO2 concentration of 380 μmol/mol. The LAI, SPAD and Pn values were collected by three replications.

Zhengdan958 and Huaidao 5 were harvested from each treatment and measured at their maturity. To measure the above-ground biomass, three rice buckets and 1 m2 maize plants for each treatment were collected, the soil was carefully washed away from roots by running water and roots were cut off. The stems, leaves and ears were oven-dried under 105 °C temperature for half an hour, and under 80 °C until a constant weight for crop above-ground biomass was obtained. Crop yields and their components were also determined by harvesting three buckets of rice and 1 m2 maize. Crops were air-dried for several weeks to get a constant weight, counted to the number of panicles. A 1,000-grain or 100-grain weight was determined by randomly weighing 1,000 or 100 grains. The yields were determined by weighing all grains for three replications.

4. Data analysis

Statistical analyses were performed by using SPSS12.0 (SPSS Inc., Chicago, IL, USA). Statistically significant differences were identified via LSD calculations at P = 0.05.

5. Results and discussion

[CO2] variation

The trends of diurnal mean CO2 concentration variation were displayed on 15th August, 2016 (see Figure 1a), which showed that the change of T1 was similar to that of T2. The error ranges in three treatments plots were almost from -40 μmol/mol to +10 μmol/mol. The minimum values appeared at 15:00 pm in the afternoon, and the maximum values appeared at 7:00 am in the early morning. The changes of mean [CO2] during the whole development period were seen in Figure 1b. It showed that the error ranges in three treatments during the whole growth stage was almost from -40 μmol/mol to +15 μmol/mol, and the change ranges under the increasing [CO2] treatments were much wider than those under the CK treatment. The main reason was that there was almost a 30 sec delay for the CO2 probe from responding to controlling according to our measurements.

The OTCs have been widely used in climate studies (Bussotti et al., 2007; Wan et al., 2014) because the construction costs of the OTCs systems are low compared with FACE and closed-top chambers (CTC). Also, the running costs of the system are low in contrast to FACE systems. The OTCs can provide a relatively good means to study the short-term and long-term responses of plants to climate change (Cai et al., 2016; Sadras et al., 2012).

Plant height

The elevated [CO2] increased the plant height of the Zhengdan958 and Huaidao 5 cultivars at different development stages. The order of plant height was CK<T1<T2 (Figure 2a and 2b). There was a considerable growth rate for two crop cultivars from the jointing stage to the flowering stage. However, there was a smaller growth rate from the flowering stage to the maturating period. In the T1 and T2 treatments, the maize heights were increased by 3.35% and 4.84%, and the rice heights were increased by 7.47% and 8.84% respectively. However, maize and rice heights had no obvious differences between elevated [CO2] plots and CK plot (P > 0.05).



Fig 2

Figure 2. Impact of increasing [CO2] on maize (a) and rice (b) plant height; the vertical bars indicate the standard error (n = 10) and different letters between the treatments in each growth stage indicate significant differences at P < 0.05.

Plant height is one of the important characteristics closely related to its yield (Tan et al., 1996), while environmental factors (e.g., air temperature, nitrogen or air CO2 concentration) would affect plant height. Xie et al. (2017) found that warming treatments reduced rice height, and there was a significant difference between the warming and CK treatments. Our study showed that the increasing [CO2] raised maize and rice heights, but no obvious differences were found between the elevated [CO2] and CK plots during the whole development stages (P < 0.5), which is similar to the work of Shaw et al. (2002) for grasslands.

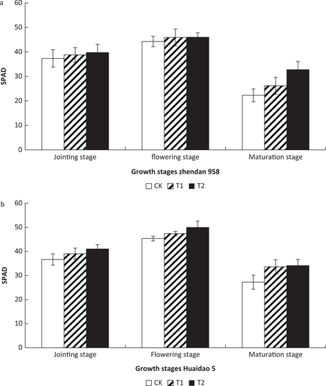
LAI values, SPAD values and NPn

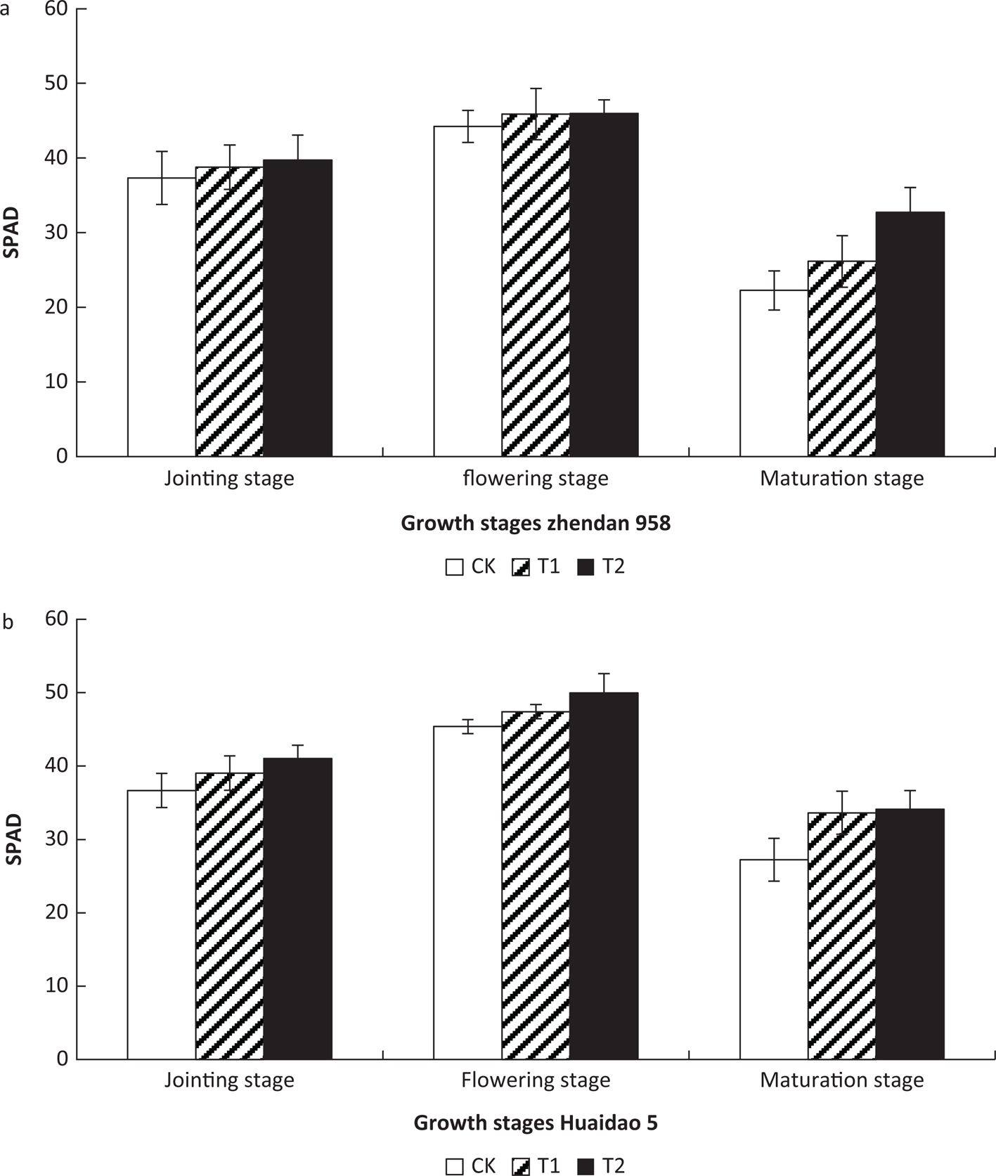
The elevated [CO2] treatments raised the LAI and SPAD in the Zhengdan 958 and Huaidao 5 (Figures 3 and 4). The LAI and SPAD were minimal at the maturing period and maximal at the flowering period. In the T1 and T2 treatments, the maize LAI was increased by 3.73% and 25.60% at the flowering stage, and the rice LAI was increased by 17.77% and 29.49% at the flowering stage, respectively. The maize SPAD was increased by 3.86% and 6.40% at the jointing stage, and the rice SPAD was increased by 6.46% and 11.91% at the jointing stage, respectively. The maize LAI had no significant differences between the elevated [CO2] treatments and CK at three development stages (P > 0.05). However, the rice LAI only had a significant difference at the flowering stages (P < 0.05). The maize and rice SPAD had no significant difference between the elevated [CO2] treatments and CK at three development stages (P > 0.05).



Fig 3

Figure 3. Impact of increasing [CO2] on maize (a) and rice (b) leaf area index (LAI) values; the vertical bars indicate the standard error (n = 3) and different letters between the treatments in each growth stage indicate significant differences at P < 0.05.



Fig 4

Figure 4. Impact of increasing [CO2] on maize (a) and rice (b) SPAD values; the vertical bars indicate the standard error (n = 5) and different letters between the treatments in each growth stage indicate significant differences at P < 0.05.

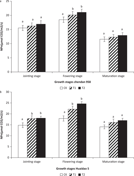
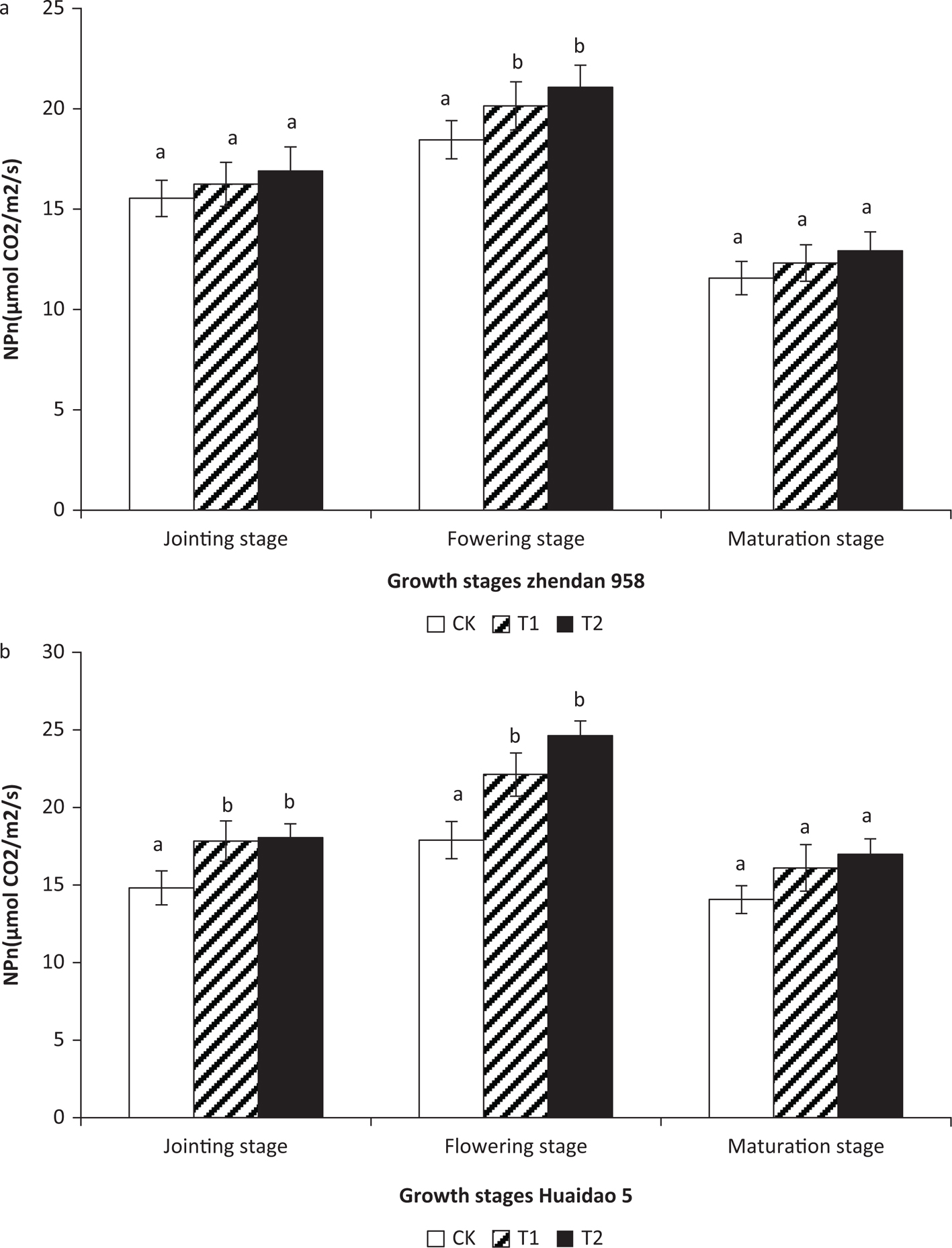
Similar to the LAI and SPAD, the NPn reached maximal at the flowering period and minimal at the maturation period. The increasing [CO2] raised the NPn in the Zhengdan 958 and Huaidao 5 cultivars in the order of T1>T2> CK during the growing stages (Figure 5). In the T1 and T2 treatments, the maize NPn was increased by 4.51–14.14% compared with CK, and rice NPn was increased by 14.51–37.62%, compared with CK. The maize NPn only had a significant difference between the elevated [CO2] treatments and CK at the flowering stage (P < 0.05).The rice NPn had a significant difference between the elevated [CO2] treatments and CK except at the maturation stage (P < 0.05).



Fig 5

Figure 5. Impact of increasing [CO2] on maize (a) and rice (b) net photosynthesis (NPn) values; the vertical bars indicate the standard error (n = 5) and different letters between the treatments in each growth stage indicate significant differences at P < 0.05.

Crop LAI determines its growth rates and photosynthetic capacities (Yao et al., 2007). Chlorophyll is an important pigment to help absorb, transfer and transform solar energy (Van et al., 2001). Thus, there is a close correlation between the LAI, SPAD and photosynthetic capability. Our study revealed that the LAI and SPAD of the Zhendan 958 and Huaidao 5 were clearly raised under the elevated [CO2] treatments, which further caused an increase of the maize and rice NPn. Previous studies indicated that rising CO2 concentration would increase chlorophyll content, leaf number and LAI in some small trees, grass and crops (Leadley and Drake, 1993; Oikawa et al., 2013). Allen et al. (2013) found that elevated [CO2] increased maize and sorghum Pn, reduced transpiration rate and increased WUE. Meng et al. (2014) concluded that elevated [CO2] and increasing precipitation significantly raised maize NPn and LAI (P < 0.01), and significant interactive effects on maize height (P < 0.05). Wang et al. (2018) reported that chlorophyll a, chlorophyll b, LAI and NPn in maize were raised in the increment of [CO2], respectively.

CO2 is one of the important raw materials for crop photosynthesis. C3 crops and C4 crops have two completely different biochemistry pathways in fixing CO2 by photosynthesis, thus their responses are different under elevated [CO2] treatments. Our study showed that the increases of the maize NPn were less than 14.14% in comparison to CK, but those of the rice NPn were larger than 14.51%. The maize NPn was lower than that for the rice NPn. Cure and Acock (1986) found NPn values of C3 crops were increased by 10.00–50.00% or more, but those of C4 crops were increased by less than10.00% or no changes under double [CO2] treatments in comparison to CK. Gao et al. (2012) reported that the NPn of summer soybean was raised by 40.80–52.30% under 550 μmol/mol[CO2] treatments. Wang et al. (2018) observed that the NPn of maize was elevated during the whole development stages under 450 μmol/mol and 550 μmol/mol [CO2] treatments. However, some researches indicated that NPn of certain crop cultivars would be reduced under long-time high [CO2] treatments, which was named as light adaptation. For instance, Hao et al. (2012) reported that the NPn of summer maize (Zhonghuang 13) was always reduced under long-time high [CO2] treatments. Liu et al. (2018) found that the NPn of rice cultivar (Nanjing 9180) was significantly reduced by 44.00%, 43.40% and 49.10% at the jointing, flowering and milking maturity periods, respectively at the [CO2] concentration of 600 μmol/mol compared with CK(P < 0.01). But our study indicated that light adaptation phenomenon did not occur in the Zhendan 958 and Huaidao 5 cultivars. Light acclimation phenomenon in the study may be caused by over-accumulation of carbohydrate.

Growing length and above-ground biomass

The [CO2] treatments affected rice and maize growth (see Tables 1 and 2). In the T1 and T2 treatments in 2015, the length of maize from the transplanting date to the joining date was delayed by 0.5 and 0.5 days, while the length from the jointing date to the maturation date was delayed by 1.0 and 1.5 days, and the total growing period was delayed by 1.5 s and 2.0 days, respectively. In the T1 and T2 treatments in 2016, the increase in maize length from the transplanting date to the jointing date was delayed by 0.5 and 1.0 days; the increase in maize length from the jointing date to the maturation date was delayed by 1.5 and 1.5 days, and the total growing period was postponed by 2.0 and 2.5 days, respectively. In the T1 and T2 treatments in 2015, the increase in rice length from the transplanting date to the joining date was delayed by 1.0 and 1.0 days, while the length from the jointing date to the maturation date was delayed by 1.5 and 2.0 days, and the total duration of length growth length was shortened by 2.5 and 3.0 days, individually. The increase in rice length from the transplanting date to the jointing date was delayed by 1.0 and 1.5 days in the T1 and T2 in 2016; the increase in rice length from the jointing date to the maturation date was delayed by 1.5 and 2.0 days and the total growing length was postponed by 2.5 and 3.5 days, respectively. The elevated [CO2] treatments increased the plant above-ground biomass. In the T1 and T2 plots, the maize biomass was enhanced by 6.70% and 9.42% in 2015 and by 8.39% and 10.10% in 2016. The maize above-ground biomass also had a significant difference between the increasing [CO2] treatments and CK in both years. The rice biomass was raised by 9.94%, 13.74% in 2015 and by 8.98%, 12.02% in 2016. The rice above-ground biomass had a significant difference between the increasing [CO2] and CK plots in both years (P < 0.05).

Table 1. Impact of increasing [CO2] on the maize growth stage and above-ground biomass at maturity in both years (n = 3).
Years Treatments Date of seeding (month/day) Date (days after transplanting) Above-ground biomass (g m-2)
Jointing Maturation
2015 CK 06-20 07-13 09-08 10,156.08a
T1 06-20 07-14 09-10 10,836.54b
T2 06-20 07-14 09-11 11,112.61b
2016 CK 06-20 07-15 09-10 9,986.75a
T1 06-20 07-15 09-12 10,824.16b
T2 06-20 07-16 09-14 10,995.90b
Note: Different lowercase letters in a row with indicate significant differences at the 5% level.

 

Table 2. Impact of increasing [CO2] on the rice growth stage and above-ground biomass at maturity in both years (n = 3).
Years Treatments Date of transplanting (month/day) Date (days after transplanting) Above-ground biomass (g per bucket)
Jointing Maturation
2015 CK 06-20 07-29 10-02 84.27a
T1 06-20 07-30 10-04 92.65b
T2 06-20 07-30 10-05 95.85b
2016 CK 06-20 07-29 10-04 83.20a
T1 06-20 07-30 10-06 90.67b
T2 06-20 07-31 10-08 93.20b
Note: Different lowercase letters in a row with indicate significant differences at the 5% level.

Some studies indicated crop growing length may be shortened, delayed or steady under elevated [CO2] treatments (Yang et al., 2010) which is similar under high-temperature treatments (Xie et al., 2017). For example, Lai et al. (2015) found that the heading and maturation stage of a super rice cultivar IIY084 arrived 1–3 days later for increasing [CO2] and increasing [CO2]+increasing temperature plots than in CK. Zhang et al. (2017) found that the growth and development of spring wheat were accelerated, and the whole growth period was shortened by 2–4 days under CO2 concentrations with 460 and 550 μmol/mol. Our study showed that the elevated [CO2] treatments postponed maize and rice growth duration, and impact before jointing was slightly smaller than that after jointing. Therefore, more field experiments should be carried on different maize and rice cultivars in order to understand the impact of increasing [CO2] on maize and rice growing length.

The [CO2] plots obviously enhanced maize and rice above-ground biomass here. Other researchers had published that the high [CO2] plots caused an enhancement in plant NPn, but a reduction in plant respiration rate (Long et al., 2006). Our study showed that the [CO2] treatments increased maize and rice NPn, which could be explained by the enhancement in above-ground biomass at maturation stage. Similarly, Manderscheid et al. (2012) found that the Pn and above-ground biomass of wheat were raised under 600 μmol/mol[CO2] treatments. Jiang et al. (2006) concluded that above-ground biomass of soybean was increased by 5.20–12.70%, 6.10–17.50% and 5.60–28.30% at seeding stage, flowering stage and filling stage under high [CO2] treatments, respectively.

Crop yield and their yield components

The maize grain yields were raised by 5.26% and 11.45% under the T1 and T2 treatments, individually (see Table 3). The [CO2] plots also enhanced kernels per spike, spikes number and 100-grain weight. Grain yield and kernels per spike had a significant difference between elevated [CO2] and CK treatments (P < 0.05). The rice grain yields were enhanced by 19.76% and 24.43% in the T1 and T2 plots compared with CK (see Table 4). Other yield components were raised in the elevated [CO2] plots. Compared with CK, the actual yield and grain filling rate had significant differences under the elevated [CO2] treatments (P < 0.05), but panicle number, grain number per panicle, grain filling rate and 1000-grain weight had no obvious differences (P > 0.05).

Table 3. Impact of increasing [CO2] on maize grain yield and its components at maturity in OTCs facilities (n = 3).
Treatments Spikes number (number/m2) Kernels per spike (number) 100-grain weight (g) Actual yield (g m-2)
CK 6.78 300.03a 30.96 6241.68a
T1 8.59 337.54b 33.15 6570.20b
T2 10.05 358.77b 36.31 6956.41b
Note: Different lowercase letters in a row with indicate significant differences at the 5% level.
OTC, open top chambers.

 

Table 4. Impact of increasing [CO2] on rice grain yield and its components at maturity in OTCs facilities (n = 3).
Treatments Spikes number (number per bucket) Kernels per spike (number) Grain filling rate (%) 1000- grain weight (g) Actual yield (gper bucket)
CK 13.45 152.00 88.34a 24.93 46.30a
T1 14.35 155.50 94.34b 25.33 55.45b
T2 15.41 164.50 97.84b 26.26 57.61b
Note: Different lowercase letters in a row with indicate significant differences at the 5% level.
OTC, open top chambers.

A past study showed that 850 μmol/mol [CO2] obviously raised the actual yield of wheat and rice by 40.00%, and maize yield by 15.00% compared with CK in a FACE system in Japan (Kimball et al., 2002). Liu et al. (2009) stated that 570 μmol/mol[CO2] elevated rice yield by 18.00–31.00% in a FACE system under different nitrogen plots in China. Moreover, Meng et al. (2015) observed that 550 μmol/mol[CO2]elevated the maize yield by 18.00% in the OTCs system. But, increasing air temperature associated with increasing [CO2] also affected on crop Pn, biomass and grain yield (Cheng et al., 2009; Shen et al., 2016). In order to accurately assess the response of crop growth and yield for potential climate change a complex impact research on crop growth and yield by increasing both [CO2] and air temperature is under way.

Crop yield is determined by the spikes numbers, grain filling and kernels per spike and grain weight. In our study, [CO2] plots elevated spikes numbers, kernels per spike, grain filling and grain weight in Zhendan 958 and huandao 5. Our results reflected the fact that the order of crop yield of maize and rice cultivars was CK<T1<T2. The kernels per spike and actual yield showed significant difference only between two [CO2]and CK treatments (P < 0.05). This indicated that the increase of kernels per spike could be one of the main reasons for increase of crop actual yield. However, the spikes number, grain weight and grain filling had no obvious differences among three treatments, which showed that it was not helpful for crop yield and yield components when [CO2] in the OTCs was enhanced from 550 μmol/mol to 750 μmol/mol. Similarly, Yang et al. (2006) reported that number of kernels per spike of rice was significantly raised by 8.00%, and was closely related with the increase of nitrogen fertilizer in the FACE system. Kim et al. (2003) observed that spikes number, kernels per spike, filled grain percentage and 1000-grain weight values in Geng dao were raised by 8.60%, 1.80%, 1.76% and 1.24% under high [CO2] treatments, individually. Xie et al. (2018) suggested that increased 1000-grain weight was the key factor for rice yield enhancement under increasing [CO2] plots. Sun et al. (2009) showed that 100-grain weight and kernels per spike of maize were elevated by 18.30% and 12.30% in OTCs system in comparison to CK.

6. Conclusion

Our results showed that the increasing [CO2] raised growth indexes of maize and rice at three development stages, resulting in the following order: CK<T1<T2. The height and SPAD values in two cultivars had no significant differences among three treatments (P > 0.05). The rice LAI and maize NPn had a significant difference among different [CO2] treatments at the flowering stage (P < 0.05). The increases in the maize NPn values were smaller than those for the rice NPn under the same [CO2] plots in comparison to the CK, which represented the fact that the impacts of the increasing [CO2] on rice is greater than that in maize. The increasing [CO2] delayed rice and maize growth duration in our study, and the impact before jointing stage was a bit lower than that after jointing stage.

Our study indicated the fact the [CO2] plots raised the above-ground biomass, the actual yield and the yield components in maize and rice. The increases of the above-ground biomass, the actual yield and the yield components in rice were greater for rice than those for maize. The kernels per spike and the actual yield showed a significant difference between two [CO2] treatments and CK (P < 0.05), while other yield components showed no obvious differences among three treatments (P > 0.05).

Acknowledgments

This study was supported by the special fund for meteorological scientific research issued in public interest (GYHY201506018). We also acknowledge the funding support provided by the priority academic development program for Jiangsu higher education institutions (PAPD).

Conflict of interest

The authors have declared no conflict of interest in this article.

Compliance with ethical standards

This article followed all ethical standards for a research without direct contact with human or animal subjects.

Funding

This study was supported by the special fund for meteorological scientific research issued in public interest (GYHY201506018) and the priority academic development program for Jiangsu higher education institutions (PAPD).

References

Allen, Jr. L.H., Kakani, V.G., Joseph, Vu, C.V. and Boote, K.J., 2011. Elevated CO2 increases water use efficiency by sustaining photosynthesis of water-limited maize and sorghum. Journal of Plant Physiology 168: 1909–1918. https://doi.org/10.1016/j.jplph.2011.05.005
Ashish, K.C., Rajeev, N.B., Madan, P.S., Divya, S., Sadhana, M. and Krishna, S.V. Jagadish., 2017. Elevated CO2 and heat stress interactions affect grain yield, quality and mineral nutrient composition in rice under field conditions. Field Crops Research 206: 149–157. https://doi.org/10.1016/j.fcr.2017.02.018
Bishop, K.A., Leakey, A.D.B. and Ainsworth, E.A., 2015. How seasonal temperature or water inputs affect the relative response of C3 crops to elevated [CO2]: a global analysis of open top chamber and free air CO2 enrichment studies. Food and Energy Security 3: 33–45. https://doi.org/10.1002/fes3.44
Bunce, J.A., 2014. Corn growth response to elevated CO2 varies with the amount of nitrogen applied. American Journal of Plant Sciences 5: 306–312. https://doi.org/10.4236/ajps.2014.53042
Bussotti, F., Desotgiu, R., Cascio, C., Strasser, R.J., Gerosa, G. and Marzuoli, R., 2007. Photosynthesis responses to ozone in young trees of three species with different sensitivities, in a 2-year open-top chamber experiment (Curno, Italy). Physiologia Plantarum 130: 122–135. https://doi.org/10.1111/j.1399-3054.2007.00894.x
Cai, C., Yin, X.Y., He, S.Q., Jiang, W.Y., Si, C.F., Struik, P.C., Luo, W.H., Li, G., Xie, Y.T., Xiong, Y. and Pan, G.X., 2016. Responses of wheat and rice to factorial combinations of ambient and elevated CO2 and temperature in FACE experiments. Global Change Biology 22: 856–874. https://doi.org/10.1111/gcb.13065
Cheng, W.G., Sakai, H., Yagi, K. and Hasegawa, T., 2009. Interactions of elevated [CO2] and night temperature on rice growth and yield. Agricultural and Forest Meteorology 149: 51–58. https://doi.org/10.1016/j.agrformet.2008.07.006
Cure, J.D. and Acock, B., 1986. Crop responses to carbon dioxide doubling: a literature survey. Agricultural and Forest Meteorology 38: 127–145. https://doi.org/10.1016/0168-1923(86)90054-7
Figueiredo, N., Carranca, C., Trindae, H., Pereira, J., Goufo, P., Coutinho, J., Marques, P., Maricato, R. and Varnenes, A.D., 2015. Elevated carbon dioxide and temperature effects on rice yield, leaf greenness and phenological stages duration. Paddy and Water Environment 13: 313–324. https://doi.org/10.1007/s10333-014-0447-x
Gao, J., Hao, X.Y., Ju. H., Li, Y.C. and Lin, E., 2012. Effect of elevated [CO2] on photosynthetic pigment contents and photosynthesis of summer soybean. Chinese Agricultural Science Bulletin 28: 47–52.
Hao, X.Y., Han, X., Lam, S.K., Wheeler, T., Ju, H., Wang, H.R., Li, Y.C. and Lin, E.D., 2012. Effects of fully open-air [CO2] elevation on leaf ultrastructure, photosynthesis, and yield of two soybean cultivars. Photosynthetica 50: 362–370. https://doi.org/10.1007/s11099-012-0043-5
Heagle, A.S., Body, D.E. and Heck W.W., 1973. An open-top field chamber to assess the impact of air pollution on plants. Journal of Environmental Quality 2: 365–368. https://doi.org/10.2134/jeq1973.00472425000200030014x
IPCC, 2013. Climate change 2013, the physical science basis, working group I contribution of to the fifth assessment report of the intergovernmental panel on climate change, summary for policymakers. In: Stocker, T.F., Qin, D., Plattner, G.K., Tignor, M.M.B., Allen, S.K., Boschung, J., Nauels A., Xia Y., Bex V. and Midgley, P.M. (eds.)., Cambridge: Cambridge University Press. pp. 9–16.
Jiang, Y.L., Yao, Y.G., Zhang, Q.G., Yue, W., Chen, T.P. and Fan, L.L., 2006. Changes of photosynthetic pigment contents in soybean under elevated atmospheric CO2 concentrations. Crop Research 2: 144–146.
Jing, L.Q., Zhao, X.Y., Zhou, N., Qian, X.Q., Wang, Y.X., Zhu, J.G., Wang, Y.L. and Yang, L.X., 2017. Effect of increasing atmospheric CO2 concentration on photosynthetic diurnal variation characteristics of hybrid rice: a FACE study. Acta Ecologica Sinica 37: 2033–2044. https://doi.org/10.5846/stxb201509261974
Kim, H.Y., Lieffering, M., Kobayashi, K., Okada, M., Mitchell, M.W. and Gumpertz, M., 2003. Effects of free air CO2 enrichment and nitrogen supply on the yield of temperate paddy rice crops. Field Crops Research 83: 261–270. https://doi.org/10.1016/S0378-4290(03)00076-5
Kimball, B.A., Kobayashi, K. and Bindi, M., 2002. Responses of agricultural crops to free air CO2 enrichment. Advances in Agronomy 77: 293–368. https://doi.org/10.1016/S0065-2113(02)77017-X
Krishnan, P., Swain, D.K., Bhaskar, B.C., Nayak, S.K. and Dash, R.N., 2007. Impact of elevated CO2 and temperature on rice yield and methods of adaptation as evaluated by crop simulation studies. Agriculture, Ecosystems and Environment 122: 233–242. https://doi.org/10.1016/j.agee.2007.01.019
Lai, S.K., Zhuang, S.T., Wu, Y.Z., Wang, Y.X., Zhu, J.G., Yang, L.X. and Wang, Y.L., 2015. Impact of elevated atmospheric CO2 concentration and temperature on growth and development of super rice. Chinese Journal of Ecology 34: 1253–1262.
Leadley, P.W. and Drake, B.G., 1993. Open top chambers for exposing plant canopies to elevated CO2 concentration and for measuring net gas exchange. Vegetatio 104–105: 3–15. https://doi.org/10.1007/BF00048141
Leakey, A.D.B., 2009. Rising atmospheric carbon dioxide concentration and the future of C4 crops for food and fuel. Proceedings of the Royal Society B-Biological Sciences 276: 2333–2343. https://doi.org/10.1098/rspb.2008.1517
Liu, C., Hu, Z.H., Chen, J., Liu, X.M., Yu, L.F., Sun, W.J. and Chen, S.T., 2018. Effects of elevated CO2 concentration levels on photosynthetic characteristics of rice. Ecology and Environmental Sciences 27: 246–254.
Liu, H.J., Yang, L.X., Huang, J.Y., Dong, G.C., Zhu, J.G., Liu, G. and Wang, Y.L., 2009. Effect of free air CO2 enrichment (FACE) on yield formation of Indica rice cultivar Yangdao 6. Journal of Agro-Environment Science 28: 299–304.
Long, S.P., Ainsworth, E.A., Leakey, A.D.B., Nösberger, J. and Ort, D.R., 2006. Food for thought: lower-than-expected crop yield stimulation with rising CO2 concentrations. Science 312: 1918–1921. https://doi.org/10.1126/science.1114722
Manderscheid, R., Erbs, M. and Weigel, H.J., 2012. Interactive effects of free-air CO2 enrichment and drought stress on maize growth. European Journal of Agronomy 43: 97–107. https://doi.org/10.1016/j.eja.2012.05.011
Meng, F.C., Zhang, J.H., Hao, C., Zhou, Z.M., Li, H., Liu, D., Wang, K. and Zhang, H., 2015. Effects of elevated CO2 and different irrigation on photosynthetic parameters and yield of maize in Northeast China (in Chinese). Acta Ecologica Sinica 35: 2126–2135. https://doi.org/10.5846/stxb201306041336
Meng, F.C., Zhang, J.H. and Yao. F.M., 2014. Interactive effects of elevated CO2 concentration and increasing precipitation on yield and growth development in maize. Chinese Journal of Plant Ecology 38: 1064–1073. https://doi.org/10.3724/SP.J.1258.2014.00100
Oikawa, S., Okada, M. and Hikosaka, K., 2013. Effects of elevated CO2 on leaf area dynamics in nodulating and non-nodulating soybean stands. Plant and Science 373: 627–639. https://doi.org/10.1007/s11104-013-1826-6
Sadras, V.O., Bubner, R. and Moran, M.A., 2012. A large-scale, open-top system to increase temperature in realistic vineyard conditions. Agricultural and Forest Meteorology 154–155: 187–194. https://doi.org/10.1016/j.agrformet.2011.11.005
Shaw, M.R., Zavaleta, E.S., Chiariello, N.R., Cleland, E.E., Mooney, H.A. and Field, C.B., 2002. Grassland responses to global environmental changes suppressed by elevated CO2. Science 298: 1987–1990. https://doi.org/10.1126/science.1075312
Shen, S.B., Zhang, D.H., Yang, K.F., Wang, Y.X., Zhu, J.G., Yang, L.X. and Y.L. Wang., 2016. Effect of elevated surface layer ozone concentration on grain quality of two rice cultivars-A FACE study. Chinese Journal of Eco-Agriculture 24: 231–242.
Shu, K.L., Chen, D.L., Rob, N. and Roger, A., 2012. Does phosphorus stimulate the effect of elevated [CO2] on growth and symbiotic nitrogen fixation of grain and pasture legumes? Crop and Pasture Science 63: 53–62. https://doi.org/10.1071/CP11296
Sun, J.W., Zhao, T.H., Fu, Y., Zhao, Y.X. and Shi, Y., 2009. Effects of elevated CO2 concentration on photo-physiological characteristics of maize leaves (in Chinese). Journal of Maize Sciences 17: 81–85.
Tan, Z.B., Shen, L.S., Kuang, H.C., Lu, C.F., Chen, Y., Zhou, K.D. and Zhu, L.H., 1996. Identification of QTLs for lengths of the top internodes and other traits in rice and analysis of their genetic effects. Acta Genetica Sinica 23: 439–446.
Van, D.A., Kropff, M.J. and Haverkort, A.J., 2001. Modeling temperature and radiation driven leaf area expansion in the contrasting crops potato and wheat. Field Crops Research 72: 119–142. https://doi.org/10.1016/S0378-4290(01)00169-1
Wan, Y.F., You S.C., Li, Y.E., Wang, B., Gao, Z.Q., Qin, X.B. and Liu, S., 2014. Applied effect of improved open-top chamber on simulation in situ of elevating air temperature and CO2 concentration in early rice field. Transactions of the Chinese Society of Agricultural Engineering 30: 123–130.
Wang, D.R., Bunce, J.A., Tomecek, M.B., Gealy, D., Mcclung, A., Mccouch, S.R. and Ziska, L.H., 2016. Evidence for divergence of response in Indica, Japonica and wild rice to high CO2 × temperature interaction. Global Change Biology 22: 2620–2632. https://doi.org/10.1111/gcb.13279
Wang, Q.L., Jin, K.P. and Cao, J.J., 2018. Effects of atmospheric CO2 concentration enhancement on photosynthetic physiological indexes and yield of Maize leaves. Journal of Shanxi Agricultural Sciences 46(12), 2051–2053, 2061.
Xie, X.J., Li, R.Y., Zhang, Y.H., Shen, S.H. and Bao, Y.X., 2018. Effect of elevated [CO2] on assimilation, allocation of nitrogen and phosphorus by maize (Zea Mays L.). Communications in Soil Science and Plant Analysis 49: 1–13. https://doi.org/10.1080/00103624.2018.1448413
Xie, L.Y., Sun, X., Zhao, H.L., Feng, Y.X. and Jiang, L., 2015. Responses of flag leaf photosynthetic pigments at late growth stage and rice yield components to elevated CO2 under FACE system. Chinese Journal of Eco-Agriculture 23: 425–431.
Xie, X.J., Zhang, Y.H., Wang, L., Yang, X.H., Yu, Q. and Bao, Y.X., 2017. Effect of asymmetric warming on rice (Oryza sativa) growth characteristics and yield components under a free air temperature increase apparatus. Indian Journal of Agricultural Sciences 87: 1384–1390.
Yang, L.X., Huang, J.Y., Yang, H.J., Dong, G.C., Liu, G., Zhu, J.G. and Wang, Y.L., 2006. Seasonal changes in the effects of free-air CO2 enrichment (FACE) on dry matter production and distribution of rice (Oryza sativa L.). Field Crops Research 98: 12–19. https://doi.org/10.1016/j.fcr.2005.11.003
Yang, L.X., Wang, Y.X., Zhu, J.G., Toshihiro, H. and Wang, Y.L., 2010. What have we learned from 10 years of free-air CO2 enrichment (FACE) experiments on rice Growth and development? Acta Ecologica Sinica 306: 1573–1585.
Yao, Y.C., Wang, S.H. and Kong, Y., 2007. Characteristics of photosynthesis mechanism in different peach species under low light intensity. Scientia Agricultural Sinica 40: 855–863.
Zhang, K., Wang, R.Y., Wang, H.L., Zhao, H., Qi, Y., Zhao, F.N., Chen, F. and Lei, J., 2017. Effects of elevated CO2 concentration on growth and yield of Spring wheat based on observational experiment in semi-arid area. Journal of Arid Meteorology 35: 306–312.