Download

Research Article

The efficiency of various household processing for removing chlorpyrifos and cypermethrin in Chinese kale and Pakchoi

Phannika Tongjai1, Surat Hongsibsong2*, Ratana Sapbamrer3

1Faculty of Public Health, Chiang Mai University, 50200, Thailand;

2School of Health Sciences Research, Research Institute for Health Sciences, Chiang Mai University, Thailand;

3Department of Community Medicine, Faculty of Medicine, Chiang Mai University, Chiang Mai, 50200, Thailand

Abstract

The vegetables, Chinese kale and Pakchoi, which are popular among the Thai people, are found to have problems with residues of pesticide. The pesticide residues in both Kale and Pakchoi were chlorpyrifos and cypermethrin. This research was to study the efficiency of pesticide residue reduction in Chinese kale and Pakchoi samples by using various household wash processing. The process included washing with normal water, 0.10% NaCl, baking soda, water flowing, and blanching. Pesticide residues were extracted from Chinese kale and Pakchoi to determine the amount of chlorpyriphos and cypermethrin residue by using analytical tools such as Gas Chromatography—Flame Photometric Detector (FPD) and Gas Chromatography—Electron Capture Detector (ECD). The results showed that the household processes for reducing the chlorpyrifos residue in Chinese kale and Pakchoi were the following: residues were reduced by 52.70–65.41%, 58.33–62.14%, 59.46–80.52%, and 46.04–62.85% when washed with normal water, 0.10 % NaCl, baking soda, and water flowing through, respectively. Similarly, the household processes for reducing cypermethrin residue in Chinese kale and Pakchoi were the following: residues were reduced by 51.13–66.29%, 33.75–45.65%, 38.14–63.64%, and 44.88–61.63% when washed with normal water, 10% NaCl, baking soda, and water flowing through, respectively. Also, blanching reduced the chlorpyrifos residue by 37.96–50.44% and the cypermethrin residue by 47.86–52.42%. Therefore, while washing vegetables by soaking and dissolving substances, baking soda is the most effective when used for washing for at least 15 min to reduce the residue of pesticides. The consumers should be provided vegetables that are cleaned and have had a proper washing for removing pesticide residues and toxic residues.

Key words: Chlorpyrifos, Cypermethrin, Residue Reduction, Household Washing

*Corresponding author: Surat Hongsibsong, School of Health Science Research, Research Institute for Health Sciences, Chiang Mai University, Chiang Mai, 50200, Thailand. Email: [email protected]

Received: 21 April 2021; Accepted: 1 August 2021; Published: 25 August 2021

DOI: 10.15586/qas.v13i3.913

© 2021 Codon Publications

This is an Open Access article distributed under the terms of the Creative Commons Attribution-NonCommercial-ShareAlike 4.0 International (CC BY-NC-SA 4.0). License (http://creativecommons.org/licenses/by-nc-sa/4.0/)

Introduction

In Thailand, vegetables are considered as major constituents of diet, and it is recommended that 400 g of vegetables should be consumed per day. Although vegetables have many health benefits, toxic residue is a problem in the fruit and vegetable consumption chain. Several factors, mainly diseases, pests, and insects, are responsible for the loss of productivity of crops. Therefore, chemicals have been used to address these problems. Chinese kale and Pakchoi are the most popular vegetables, as they provide a better return on investment for farmers. To improve their yield and quality, insects and pests are controlled or eliminated. This results in farmers using pesticides beyond the recommended level, leading to high chemical residue in vegetables. Residues exceeding the maximum residue limits (MRL) were detected in vegetables in the farms, local markets, and the supermarket in Phayao Province in northern Thailand. The most commonly used OP (Organophosphate) pesticides are chlorpyrifos, malathion, monochrotophos, diazinon, omethoate, and dichrotophos (Sapbamrer & Hongsibsong, 2014). High content of synthetic pyrethroid residues was reported in several vegetables, including cabbage, Chinese kale, spinach, cauliflower, Chinese cabbage, Pakchoi, long beans, cucumber, and palm sugar. The highest percentage of Cypermethrin was detected in vegetable samples (75.8%) and fruit samples (95.3%) (Athulya et al., 2019). Several methods have been suggested to consumers for reducing residues in vegetables, such as using salt, baking soda, vinegar, potassium permanganate, and peeling. The most common method is rinsing by water and using household chemicals commonly available in the kitchen (Krol et al., 2000). Several studies have reported alternative methods for removing residues in vegetables. The boiling method was reported to be more effective than rinsing by water in removing the residue (Kumari, 2008). The washing method, which involves soaking vegetables in lemon juice, soaking them in 2% tamarind juice mixed with water for 5 min, followed by washing with water and steaming for 10 min, could remove the residues in the range of 41.81% to 100% (Kar et al. 2012). Previous studies report that residues can be removed from eggplant and cucumber, with an average removal efficiency of 95% after soaking them in water from washing rice for 5 min (Adachi & Okano, 2006). There are several common methods for removing residues in vegetables, such as washing with tap water, salt water, baking soda, and vinegar. The objective of this study was to determine the efficiency of various household processes for removing pesticide residues in vegetables and detecting their content by using the highly sensitive GC technique. The commonly pesticide detected in vegetable were chlorpyrifos and cypermethrin, and then we had applied both by spraying them on Chinese kale and Pakchoi, carefully following the dosing and timing suggestions on the manufacturer’s labels.

Materials and Methods

Experiment planning and Sample collection

This research was selected to perform a planting plot experiment with a plot size of 0.8 * 7 m, a gap of 0.5 m between rows of vegetables and a distance of 15 * 15 cm between plants. The sample vegetables were Chinese kale and Pakchoi. The vegetables, after 30 days of maturity, were sprayed with chlorpyrifos (Tiger 40% w/v, Sahaphon agricultural chemistry Partnership, Bangkok, Thailand), at the rate of 50 mL mixed with 20 L of water, and cypermethrin (Cypermethrin 35% w / v, My Formation Company, Nakhon Pathom, Thailand) at a rate of 20 mL mixed with 20 L of water.

Approximately 10 kg of Chinese kale and Pakchoi were collected following the regular intervals indicated on the label on the bottle. The experiment was designed to be in a real agricultural area. The nonsprayed samples were collected before spraying the pesticide as control samples in methods validation.

Chemical and reagent

Organic solvents such as acetonitrile, ethyl acetate, and dichloromethane of analytical grade were purchased from J.T. Baker (PA, USA). Sodium chloride (NaCl), sodium sulfate (Na2SO4), and magnesium sulfate (MgSO4) of AR grade were obtained from RCI Labscan Limited (Bangkok, Thailand).

Standard preparation

Stock standard solutions were prepared by dissolving the chemicals in ethyl acetate. Samples of five concentration levels of chlorpyrifos and cypermethrin were prepared as intermediate standard solution to maintain the variable of matrix in the construction of the calibration curve. The Intermediate and working standard solutions were prepared with ethyl acetate and stored at freezer –4ºC before using.

Analysis instruments

The cleaned extracts were analyzed by GC-FPD Model 7890B (Columns used DB-1701, 0.25 mm, 30 m length × 0.25 μm film thickness, Agilent J & W column, Agilent Technologies, USA) and GC-ECD Model 7890B (column using HP5, 0.25 mm × 30 m length × 0.25 μm film thickness, Agilent J & W column, Agilent Technologies, USA). GC data were analyzed by Chemstation software (Agilent, USA, A.10.02).

Sample preparation and processing treatments

Hundred grams each of Chinese kale and Pakchoi were used to assess the efficiency of pesticide removal by washing with normal water, 0.10% NaCl, baking soda, water flowing through, and blanching, as shown in Table 1. After washing, the vegetables were cut into small homogenous pieces for analysis. The percentage of pesticide reduction was calculated compared with the untreated control.

Table 1. Processing treatments

Sample group Washing Time (min) for processing treatments
Group 1 (Control) Unwashed
Group 2 Normal water 2 5 10 15 20 30
Group 3 0.10 % NaCl 2 5 10 15 20 30
Group 4 Baking soda 2 5 10 15 20 30
Group 5 Water flowing through 1 2 3 4 5 6
Group 6 Blanching 1 2 3 4 5 6

Sample extraction analysis

Chinese kale and Pakchoi 5 g before and after washing was homogenized, and 15 mL of mixed acetonitrile: dichloromethane (ratio 1:1) was added. It was shaken for 5 min, and the extraction was repeated two times. Then, 3 g of sodium chloride (NaCl) and magnesium sulfate (MgSO4) were added, and vortex-mixed for 30 s. The solution was transferred onto filter paper containing 3 g sodium sulfate (Na2SO4), filtered into a 100 mL round-bottom bottle, evaporated to dryness, then dissolved with 3 mL ethyl acetate in a test tube, near dryness under a stream of nitrogen, and we pipetted 1 mL ethyl acetate into a carbon tube GCB (150 mg, size 2 mL). The carbon tube was centrifuged at 1,300 rpm for 3 min. The supernatant was analyzed by GC-FPD and GC-ECD.

Statistical analysis

The processing treatments were replicated three times and the results are shown as mean ± SD. The removal rate of each treatment was calculated. All data were analyzed using SPSS Statistics version 23. Differences were also tested by ANOVA at a 0.95 confidence interval to detect any significant differences between the means.

Quality control

The quality control of chlorpyrifos and cypermethrin analysis is given in Table 2. The limit of detection (LOD) is 0.0010 mg/kg, and the limit of quantification (LOQ) is 0.0020 mg/kg. The relative standard deviation coefficient (%RSD) of chlorpyrifos is 6.45 % and %RSD of cypermethrin to 6.40%. The recoveries of chlorpyrifos and cypermethrin ranged from 100.78 to 108.40 % for low spike level (0.010 mg/kg), from 93.50 to 94.10 % for medium spike level (0.080 mg/kg), and from 74.40 to 100.55% for high spike level (0.320 mg/kg). The linear relative coefficient (r2) is 0.9989 for chlorpyrifos and 0.9991 for cypermethrin.

Table 2. Quality control of chlorpyrifos and cypermethrin for the analysis of various household processes

Detector Pesticide LOD
(mg/kg)
LOQ
(mg/kg)
%Recovery (n = 3) R2
RSD % low medium high
GC-FPD Chlorpyrifos 0.0010 0.0020 6.45 100.78 94.10 100.55 0.9989
GC-ECD Cypermethrin 0.0010 0.0020 6.40 108.40 93.50 74.40 0.9991

LOD = Limit of detection, LOQ = Limit of quantification, %RSD = percentage of relative standard deviation, R2 = correlation coefficient

Results and Discussions

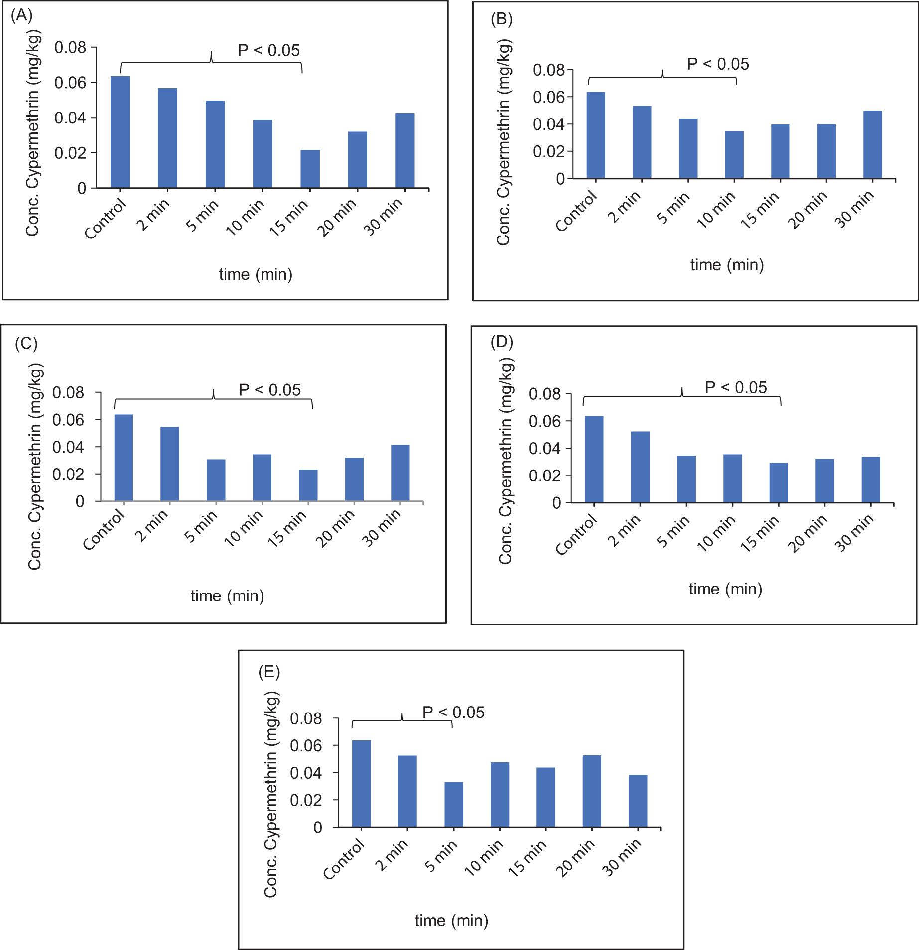
Chlorpyrifos and cypermethrin are pesticides that are commonly used to kill pests. It has been found that there is a large amount of pesticide residue in many types of vegetables consumed every day, such as Chinese kale and Pakchoi. Therefore, removing pesticide residues by household processing immediately before consumption is a good approach for consumers. The reduction in chlorpyrifos content after applying various household processes is shown in Figure 1. The best washing method was by using baking soda for 15 min, followed by 0.10 % NaCl for 10 min, normal water for 15 min, water flowing through for 2 min, and blanching for 2 min. The reduction of cypermethrin by various household processes is shown in Figure 2. Washing in water for 15 min was the most effective for removing cypermethrin. The concentration before washing was 0.0635 mg/kg. The best washing method was by using baking soda for 15 min, followed by 0.10 % NaCl for 10 min, normal water for 15 min, water flowing through for 4 min, and blanching for 2 min.

Figure 1. Effect of time on chlorpyrifos reduction by using various household processes. A = Normal water. B = 0.10 % NaCl. C = Baking Soda. D = Water flowing through. E = Blanching.

Figure 2. Effect of time on cypermethrin reduction by using various household processes. A = Normal water. B = 0.10 % NaCl. C = Baking Soda. D = Water flowing through. E = Blanching.

The efficiency of different household processing methods for removing chlorpyriphos and cypermethrin residues from vegetables is shown in Tables 3 and 4. Chlorpyrifos residues on raw, unwashed Chinese kale and Pakchoi were 0.088 and 0.064 mg/kg, respectively. After washing with normal water for 15 min, residue levels were reduced to 0.042 and 0.023 mg/kg, respectively, and the percent of removal was 52.70–65.41%. Washing with 0.10% NaCl for 10 minutes reduced the residue levels to 0.037 and 0.025 mg/kg, respectively, a percentage reduction of 58.33–62.14%. Washing in baking soda water for 15 min reduced the residue levels to 0.036 and 0.013 mg/kg, respectively, a percentage reduction of 59.46–80.52%. Washing with water flowing through for 2 min reduced the residue levels to 0.033 and 0.035 mg/kg, respectively, a percentage reduction of 46.04–62.85%. Blanching for 2 min reduced the residue levels to 0.044 and 0.040 mg/kg, respectively, a percentage reduction of 37.96–50.44%.

Table 3. The most efficient household processing method for the removal of chlorpyriphos residues from the vegetables

Household washing method Time washing (min) Chinese kale Pakchoi
Mean ± S.D. %Reduction Mean ± S.D. %Reduction
Unwashed   0.088 ± 0.0002a,x   0.065 ± 0.0018a,y  
Normal water 15 0.042 ± 0.0001a,b,c,e,x 52.70 0.023 ± 0.0031a,d,e,f,y 65.41
0.10% NaCl 10 0.037 ± 0.0001a,b,f,x 58.33 0.025 ± 0.0010a,d,e,f,y 62.14
Baking soda 15 0.036 ± 0.0035a,b,f,x 59.46 0.013 ± 0.0016a,b,c,e,f,y 80.52
Water flowing through 2 0.033 ± 0.0004 a,b,f,x 62.85 0.035 ± 0.0006a,b,c,d,y 46.04
Blanching 2 0.044 ± 0.0001a,c,d,e,x 50.44 0.040 ± 0.0030a,b,c,d,y 37.96

Mean ± S.D. = mg/kg ± S.D. Values given are the mean of three analyses. Mean ± S.D. within each household washing method having is significantly different at P<0.05.x,y within a row, means washing vegetables two type different in household washing method.a,b,c,d,e,f within a column, means having differ of each household washing method.

Table 4. The most efficient household processing for the removal of cypermethrin residues from vegetables

Household washing method Time washing (min) Chinese kale Pakchoi
Mean ± S.D. %Reduction Mean ± S.D. %Reduction
Unwashed   0.064 ± 0.0003a,x   0.036 ± 0.0010a,y  
Normal water 15 0.021 ± 0.0002a,c,d,e,f,x 66.29 0.018 ± 0.0035a,c,y 51.13
0.10% NaCl 10 0.035 ± 0.0019b,e,x 45.65 0.024 ± 0.0034a,b,f,y 33.75
Baking soda 15 0.023 ± 0.0041a,b,d,e,x 63.64 0.022 ± 0.0002a,y 38.14
Water flowing through 4 0.024 ± 0.0182a,b,c,f,x 61.63 0.020 ± 0.0012a,y 44.88
Blanching 2 0.033 ± 0.0026a,b,e,x 47.86 0.017 ± 0.0016a,c,y 52.42

Mean ± S.D. = mg/kg ± S.D. Values given are the mean of three analyses.Mean ± S.D. within each household washing method having is significantly different at P<0.05. x,y within a row, means washing vegetables two type different in household washing method.a,b,c,d,e,f within a column, means having differ of each household washing method.

Cypermethrin residues on the raw, unwashed Chinese kale and Pakchoi were 0.064 and 0.036 mg/kg, respectively. After washing with normal water for 15 min, the residue levels were 0.021 and 0.018 mg/kg, respectively, a percentage reduction of 51.13–66.29%. After washing with 0.10% NaCl for 10 min, the residue levels were 0.035 and 0.024 mg/kg, respectively, a percent reduction of 33.75–45.65%. After washing with baking soda water for 15 min, the residue levels were 0.023 and 0.022 mg/kg, respectively, a percent reduction of 38.14–63.64%. After washing with water flowing through for 4 min, the residue levels were 0.024 and 0.020 mg/kg, respectively, a percent reduction of 44.88–61.63%. Blanching for 2 min reduced the residue levels to 0.033 and 0.017 mg/kg, respectively, a percent reduction of 47.86–52.42%.

The most effective method for removing chlorpyrifos and cypermethrin pesticide residues will depend on the temperature and water solubility of the residues. The efficiency of the various household processing methods varies with pesticide residues in vegetables and fruit. For example, Ling et al. (2011) reported that washing cucumbers with 2% NaHCO3 removed trichlorfon, dimethoate, dichlorvos, fenitrothion, and chlorpyrifos residues by 73.20%, 58.70%, 96.40%, 51.10%, and 77.80%, respectively. The removal of residues of parathion, methyl parathion, malathion, fenitrothion, and chlorpyriphos in fruits washed with a 0.10% NaHCO3 solution was 73.10%, 77.40%, 86.80%, 57.00%, 86.40%, and 87.20%, respectively. Washing of Chinese kale with a 0.10% NaHCO3 solution removed methomyl and carbaryl residues by 43.19% and 91.24%, respectively (Satpathy et al., 2012). One study compared boiling water to tap water (Ta et al., 2018), and there was a significantly lower concentration of chlorpyriphos, indoxacarb, profenophos, and cypermethrin in cauliflower samples that were washed with boiling water, and indoxacarb (79%) and chlorpyriphos (67%) residues were efficiently removed.

The present study of removing chlorpyrifos and cypermethrin from Chinese kale and Pakchoi found water flowing through for 2 min reduced the chlorpyrifos residue by 62.85%. A previous study reported that washing kale with running water was the method that reduced the residue of profenophos in kale the most, and washing with baking soda for 15 min reduced it by 80.52% from Pakchoi (Wanwimonrak et al., 2015), which was the best method according to previous researchers (Korranee Ramad, 2016) because sodium bicarbonate can get rid of chemicals, insecticides, organophosphates, and organochlorine. In addition, soaking in clean water for 15 min reduced the amount of cypermethrin by 66.92% (Saravi et al., 2014) and had the best efficiency for Pakchoi, while blanching for 2 min reduced cypermethrin by 52.42%. Other researchers (Chandra Subhash et al., 2015) reported that blanching eggplant and okra samples could reduce chlorpyrifos, cypermethrin, and monocrotophos residues by 99.7%.

There are common household processes to modern techniques to help eliminate pesticides as cold plasma, ozone, high hydrostatic pressure, etc. Mohsen Gavahian et al., (2020) reported that cold plasma is a new technique that facilitates the decomposition of food contaminants and can decompose a variety of pesticides such as parathion, paraoxon, omethoate, dichlorvos, malathion, azoxystrobin, cyprodinil, fludioxonil, cypermethoate. and chlorpyrifos effectively.

Phan et al. (2018) reported the effectiveness of gliding arc discharge plasma in the degradation of pesticide residues sprayed on mangoes. They also explored the effects of this plasma treatment on some quality characteristics of mango at 5 min of plasma treatment with the carrier gas of argon that successfully reduced the level of cypermethrin and chlorpyrifos by 63% and 74%, respectively. The pesticide removal from vegetables by using ozone, a powerful oxidant, helps decompose organic matter or pollutants. Ozone was also reported as an effective sporicidal and was able to remove the residue at 60% to 99.9% (De Souza et al., 2018). The carrots dipped in ozonated water (10 ppm) at 14°C for 60 min showed the removal of 96% and 79.8% difenoconazole and linuron. (De Souza et al., 2018). The ultrasonic cleaning of cucumbers for 20 min removed around 50% to 85% of spiked organophosphorus pesticides, namely, dimethoate, trichlorfon, and fenitrothion (Liang et al., 2012). However, using ultrasonic waves to remove pesticides from the whole fruit or vegetable is less explored.

Various household residue removal methods could serve as an effective tool to reduce the risk of dietary exposure to residues. Washing is the most commonly used method and should be conducted in every kitchen. Our study results were consistent with previous studies and confirmed that pesticide residues could be easily removed by common household methods.

Conclusion

By washing vegetables and fruits immediately before consumption, chlorpyrifos and cypermethrin residues can be effectively reduced to a safe level. Among the household washing treatments, 15 min of baking soda washing was the most effective for reducing pesticide residues. However, other household washing treatments can also reduce the content of chlorpyrifos and cypermethrin. The methods discussed in the present study were straightforward, and consumers can use this technique in their kitchens to reduce their exposure to dietary pesticides.

Acknowledgments

The authors would like to thank the Research Institute for Health Sciences at Chiang Mai University for supporting this research.

REFERENCES

Adachi, A., Okano, T., 2006. Pesticide Residue Reduction in Selected Vegetables Using Rice-Bran. Journal of Health Science, 52, 320–323. 10.1248/jhs.52.320

Athulya, R., Kang, B. K., Sahoo, S. 2019. Effect of washing and boiling on pesticide residue reduction of diafenthiuron in Brinjal and cabbage. Journal of entomology and zoology studies, 7, 1511–1517.

Akoto, Osei, Addai-Mensah, Fredrick, Abavare, Eric K. K. (2016). Effects of per-household processes on the levels of chlorpyrifos residues in lettuce (Lactuca sativa). International Journal of Food Contamination, 3(1), 13. 10.1186/s40550-016-0037-3

Bajwa, U., Sandhu, K. S., 2014. Effect of handling and processing on pesticide residues in food-a review. Journal of Food Science and Technology, 51(2), 201–220. 10.1007/s13197-011-0499-5

Chandra, S., Kumar, M., Mahindrakar, A. N., Shinde, L., 2015. Effects of household processing on reduction of pesticide residues in brinjal and okra. International journal of advances in pharmacy, biology and chemistry, 4(1), 98–102.

Chauhan, R., Kumari, B., Rana, M. K., 2014. Effect of fruit and vegetable processing on reduction of synthetic pyrethroid residues. Reviews of Environmental Contamination and Toxicology, 229, 89–110. 10.1007/978-3-319-03777-6_5

Debbab, M., El Hajjaji, S., Aly, A. H., Abdelmalek, D., Zrineh, A., 2014. Cypermethrin residues in fresh vegetables: Detection by HPLC and LC-ESIMS and their effect on antioxidant activity. Journal of Materials and Environmental Science, 5, 2257–2264.

De Souza, L. P., Faroni, L. R. D. A., Heleno, F. F., Pinto, F. G., de Queiroz, M. E. L. R., Prates, L. H. F., 2018. Ozone treatment for pesticide removal from carrots: Optimization by response surface methodology. Food Chemistry, 243, 435–441. 10.1016/j.foodchem.2017.09.134

Gavahian, M., Tsai, M. J., Mousavi Khaneghah, A., 2020. The resistance of chlorpyrifos pesticide pollution against arc and dielectric barrier discharge plasma. Quality Assurance and Safety of Crops & Foods, 243, 435–441. 10.15586/qas.v12iSP1.807

Harinathareddy, A., Prasad, N. B. L., Devi, K. L., 2014. Effect of household processing methods on the removal of pesticide residue in tomato vegetable. Environment research and Development, 9, 5057.

Hongsibsong, S., Sapbamrer, R., 2018. Removal of organophosphorus pesticide residues in leaf and non-leaf vegetables by using ozone water. Chiang Mai Journal of Science, 45, 1759–1769.

Kar, A., Mandal, K., Singh, B., 2012. Decontamination of Chlorantraniliprole Residues on Cabbage and Cauliflower through Household Processing Methods. Bulletin of Environmental Contamination and Toxicology, 88, 501–506. 10.1007/s00128-012-0534-x

Klinhom, P., Halee, A., Methawiwat, S., 2008. The effectiveness of household chemicals in residue removal of methomyl and carbaryl pesticides on Chinese-kale. Agriculture and Natural Resources, 42(5), 136–143.

Krol, W. J., Arsenault, T. L., Pylypiw, H. M., Incorvia Mattina, M. J., 2000. Reduction of Pesticide Residues on Produce by Rinsing. Journal of Agricultural and Food Chemistry, 48(10), 4666–4670. 10.1021/jf0002894

Kumari, B., 2008. Effects of household processing on reduction of pesticide residues in vegetables. ARPN J Agric Biol Sci, 3.

Ling, Y., Wang, H., Yong, W., Zhang, F., Sun, L., Yang, M.-L., et al., 2011. The effects of washing and cooking on chlorpyrifos and its toxic metabolites in vegetables. Food Control, 22, 54–58. 10.1016/j.foodcont.2010.06.009

Liang, Y., Wang, W., Shen, Y., Liu, Y., Liu, X. J., 2012. Effects of home preparation on organophosphorus pesticide residues in raw cucumber. Food Chemistry, 133(3), 636–640. 10.1016/j.foodchem.2012.01.016

Mahdavi, V., Eslami, Z., Golmohammadi, G., Tajdar-Oranj, B., Keikavousi Behbahan, A., Mousavi Khaneghah, A., 2021. Simultaneous determination of multiple pesticide residues in Iranian saffron: A probabilistic health risk assessment. Journal of Food Composition and Analysis, 100. 10.1016/j.jfca.2021.103915

Pakvilai, N., Prapamontol, T., Thavornyutikarn, P., Mangklabruks, A., Chantara, S., Santasup, C., 2011. Residues of synthetic pyrethroid pesticides in vegetables, fruit, sediment and water from an intensive agricultural area (Fang district, Chiang Mai, Thailand) Sustainability Today, 167, 201–210. 10.2495/ST110181

Phan, K. T. K., Phan, H. T., Boonyawan, D., Intipunya, P., Brennan, C. S., Regenstein, J. M., et al., 2018. Non-thermal plasma for elimination of pesticide residues in mango. Innovative Food Science & Emerging Technologies, 48, 164–171. 10.1016/j.ifset.2018.06.009

Radwan, M. A., Abu-Elamayem, M. M., Shiboob, M. H., Abdel-Aal, A., 2005. Residual behaviour of profenofos on some field-grown vegetables and its removal using various washing solutions and household processing. Food Chem Toxicol, 43(4), 553–557. 10.1016/j.fct.2004.12.009

Sapbamrer, R., Hongsibsong, S., 2014. Organophosphorus Pesticide Residues in Vegetables From Farms, Markets, and a Supermarket Around Kwan Phayao Lake of Northern Thailand. Archives of Environmental Contamination and Toxicology, 67(1), 60–67. 10.1007/s00244-014-0014-x

Satpathy, G., Tyagi, Y. K., Gupta, R. K., 2012. Removal of Organophosphorus (OP) Pesticide Residues from Vegetables Using Washing Solutions and Boiling. Journal of Agricultural Science, 4(2). 10.5539/jas.v4n2p69

Satheannoppakao, W., Pradipasen, M., 2009. Fruit and vegetable consumption and its recommended intake associated with sociodemographic factors: Thailand National Health Examination Survey III. Public Health Nutrition, 12, 2192–2198. 10.1017/S1368980009005837

Ta, A., Ahlawat, S., Devi, S., 2018. Impact of Different Decontamination Processes on the Reduction of Pesticide Residues in Fruits and Vegetables. International Journal of Current Microbiology and Applied Sciences, 7, 869–876. 10.20546/ijcmas.2018.705.106

Wanwimolruk, S., Kanchanamayoon, O., Phopin, K., Prachayasittikul, V., 2015. Food safety in Thailand 2: Pesticide residues found in Chinese kale (Brassica oleracea), a commonly consumed vegetable in Asian countries. Science of the Total Environment, 532, 447–455. 10.1016/j.scitotenv.2015.04.114

Zhang, Z.-Y., Liu, X.-J., Hong, X.-Y., 2007. Effects of home preparation on pesticide residues in cabbage. Food Control, 18(12), 1484–1487. 10.1016/j.foodcont.2006.11.002